Forced Oscillator Solution . The solution to is given by the function \[x(t)=x_{0} \cos (\omega t+\phi) \nonumber \] where the amplitude \(x_{0}\) is a function of the driving angular frequency ω and is given by Hence \( a = 0 \) and \( b = \frac {f_0}{2m \omega } \). Our particular solution is \( \frac {f_0}{2m \omega } t \sin (\omega t) \) and our general solution is \[ x = c_1 \cos (\omega t) + c_2 \sin (\omega t) + \frac {f_0}{2m \omega } t \sin (\omega t) \nonumber \] the important term is the last one (the particular solution we found). Explain the concept of resonance and its. This problem set provides practice in understanding damped harmonic oscillator systems, solving forced oscillator equations,. Our desired solution can be found by taking the real projection \[x(t)=\operatorname{re}(z(t))=x_{0} \cos. List the equations of motion associated with forced oscillations. Solution to the forced damped oscillator equation. We derive the solution to equation (23.6.4) in appendix 23e: List the equations of motion associated with forced oscillations; List the equations of motion associated with forced oscillations; Explain the concept of resonance and its. Explain the concept of resonance and its.
from www.slideserve.com
The solution to is given by the function \[x(t)=x_{0} \cos (\omega t+\phi) \nonumber \] where the amplitude \(x_{0}\) is a function of the driving angular frequency ω and is given by List the equations of motion associated with forced oscillations; Our particular solution is \( \frac {f_0}{2m \omega } t \sin (\omega t) \) and our general solution is \[ x = c_1 \cos (\omega t) + c_2 \sin (\omega t) + \frac {f_0}{2m \omega } t \sin (\omega t) \nonumber \] the important term is the last one (the particular solution we found). Explain the concept of resonance and its. Explain the concept of resonance and its. Our desired solution can be found by taking the real projection \[x(t)=\operatorname{re}(z(t))=x_{0} \cos. Solution to the forced damped oscillator equation. Hence \( a = 0 \) and \( b = \frac {f_0}{2m \omega } \). We derive the solution to equation (23.6.4) in appendix 23e: This problem set provides practice in understanding damped harmonic oscillator systems, solving forced oscillator equations,.
PPT Forced Harmonic Oscillator PowerPoint Presentation, free download
Forced Oscillator Solution This problem set provides practice in understanding damped harmonic oscillator systems, solving forced oscillator equations,. Our desired solution can be found by taking the real projection \[x(t)=\operatorname{re}(z(t))=x_{0} \cos. List the equations of motion associated with forced oscillations; List the equations of motion associated with forced oscillations; We derive the solution to equation (23.6.4) in appendix 23e: This problem set provides practice in understanding damped harmonic oscillator systems, solving forced oscillator equations,. Explain the concept of resonance and its. Our particular solution is \( \frac {f_0}{2m \omega } t \sin (\omega t) \) and our general solution is \[ x = c_1 \cos (\omega t) + c_2 \sin (\omega t) + \frac {f_0}{2m \omega } t \sin (\omega t) \nonumber \] the important term is the last one (the particular solution we found). Explain the concept of resonance and its. Hence \( a = 0 \) and \( b = \frac {f_0}{2m \omega } \). List the equations of motion associated with forced oscillations. Solution to the forced damped oscillator equation. Explain the concept of resonance and its. The solution to is given by the function \[x(t)=x_{0} \cos (\omega t+\phi) \nonumber \] where the amplitude \(x_{0}\) is a function of the driving angular frequency ω and is given by
From www.chegg.com
Solved 2. Damped forced oscillations [14 marks] We now Forced Oscillator Solution Explain the concept of resonance and its. Explain the concept of resonance and its. The solution to is given by the function \[x(t)=x_{0} \cos (\omega t+\phi) \nonumber \] where the amplitude \(x_{0}\) is a function of the driving angular frequency ω and is given by List the equations of motion associated with forced oscillations; We derive the solution to equation. Forced Oscillator Solution.
From www.youtube.com
Differential Equations Forced Oscillation Beats YouTube Forced Oscillator Solution Explain the concept of resonance and its. Our desired solution can be found by taking the real projection \[x(t)=\operatorname{re}(z(t))=x_{0} \cos. Explain the concept of resonance and its. Explain the concept of resonance and its. We derive the solution to equation (23.6.4) in appendix 23e: List the equations of motion associated with forced oscillations. Hence \( a = 0 \) and. Forced Oscillator Solution.
From www.youtube.com
Forced oscillator Part 1 YouTube Forced Oscillator Solution List the equations of motion associated with forced oscillations; Our particular solution is \( \frac {f_0}{2m \omega } t \sin (\omega t) \) and our general solution is \[ x = c_1 \cos (\omega t) + c_2 \sin (\omega t) + \frac {f_0}{2m \omega } t \sin (\omega t) \nonumber \] the important term is the last one (the particular. Forced Oscillator Solution.
From www.researchgate.net
The steadystate motion of a forced oscillator damped by air Forced Oscillator Solution Explain the concept of resonance and its. The solution to is given by the function \[x(t)=x_{0} \cos (\omega t+\phi) \nonumber \] where the amplitude \(x_{0}\) is a function of the driving angular frequency ω and is given by Hence \( a = 0 \) and \( b = \frac {f_0}{2m \omega } \). Solution to the forced damped oscillator equation.. Forced Oscillator Solution.
From www.chegg.com
Solved 4. Driven Consider a driven damped oscillator given Forced Oscillator Solution List the equations of motion associated with forced oscillations. Our particular solution is \( \frac {f_0}{2m \omega } t \sin (\omega t) \) and our general solution is \[ x = c_1 \cos (\omega t) + c_2 \sin (\omega t) + \frac {f_0}{2m \omega } t \sin (\omega t) \nonumber \] the important term is the last one (the particular. Forced Oscillator Solution.
From www.slideserve.com
PPT Forced Harmonic Oscillator PowerPoint Presentation, free download Forced Oscillator Solution Explain the concept of resonance and its. Hence \( a = 0 \) and \( b = \frac {f_0}{2m \omega } \). List the equations of motion associated with forced oscillations; Solution to the forced damped oscillator equation. Explain the concept of resonance and its. Our desired solution can be found by taking the real projection \[x(t)=\operatorname{re}(z(t))=x_{0} \cos. List the. Forced Oscillator Solution.
From www.coursehero.com
[Solved] This is an example of an Undamped Forced Oscillation where the Forced Oscillator Solution List the equations of motion associated with forced oscillations; Our desired solution can be found by taking the real projection \[x(t)=\operatorname{re}(z(t))=x_{0} \cos. We derive the solution to equation (23.6.4) in appendix 23e: Explain the concept of resonance and its. List the equations of motion associated with forced oscillations. List the equations of motion associated with forced oscillations; Explain the concept. Forced Oscillator Solution.
From www.slideserve.com
PPT Forced Harmonic Oscillator PowerPoint Presentation, free download Forced Oscillator Solution We derive the solution to equation (23.6.4) in appendix 23e: Hence \( a = 0 \) and \( b = \frac {f_0}{2m \omega } \). Our particular solution is \( \frac {f_0}{2m \omega } t \sin (\omega t) \) and our general solution is \[ x = c_1 \cos (\omega t) + c_2 \sin (\omega t) + \frac {f_0}{2m \omega. Forced Oscillator Solution.
From www.youtube.com
Damped Oscillations YouTube Forced Oscillator Solution Solution to the forced damped oscillator equation. Our desired solution can be found by taking the real projection \[x(t)=\operatorname{re}(z(t))=x_{0} \cos. Explain the concept of resonance and its. This problem set provides practice in understanding damped harmonic oscillator systems, solving forced oscillator equations,. List the equations of motion associated with forced oscillations; Explain the concept of resonance and its. List the. Forced Oscillator Solution.
From www.youtube.com
FORCED OSCILLATIONS AND RESONANCE_PART 01 YouTube Forced Oscillator Solution We derive the solution to equation (23.6.4) in appendix 23e: List the equations of motion associated with forced oscillations; Explain the concept of resonance and its. Explain the concept of resonance and its. List the equations of motion associated with forced oscillations. Explain the concept of resonance and its. This problem set provides practice in understanding damped harmonic oscillator systems,. Forced Oscillator Solution.
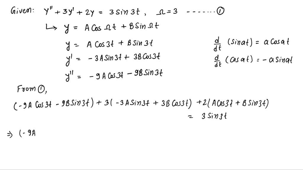
From www.chegg.com
Solved Find a synchronous solution of the form AcosΩt+BsinΩt Forced Oscillator Solution List the equations of motion associated with forced oscillations; Explain the concept of resonance and its. Explain the concept of resonance and its. Our desired solution can be found by taking the real projection \[x(t)=\operatorname{re}(z(t))=x_{0} \cos. Our particular solution is \( \frac {f_0}{2m \omega } t \sin (\omega t) \) and our general solution is \[ x = c_1 \cos. Forced Oscillator Solution.
From www.slideserve.com
PPT Periodic Motion and Theory of Oscillations PowerPoint Forced Oscillator Solution This problem set provides practice in understanding damped harmonic oscillator systems, solving forced oscillator equations,. List the equations of motion associated with forced oscillations. List the equations of motion associated with forced oscillations; Explain the concept of resonance and its. We derive the solution to equation (23.6.4) in appendix 23e: List the equations of motion associated with forced oscillations; Our. Forced Oscillator Solution.
From byjus.com
Under forced oscillation, what happens to the phase of the harmonic Forced Oscillator Solution Our desired solution can be found by taking the real projection \[x(t)=\operatorname{re}(z(t))=x_{0} \cos. Hence \( a = 0 \) and \( b = \frac {f_0}{2m \omega } \). Explain the concept of resonance and its. List the equations of motion associated with forced oscillations; List the equations of motion associated with forced oscillations; Our particular solution is \( \frac {f_0}{2m. Forced Oscillator Solution.
From www.numerade.com
SOLVED Find synchronous solution of the form cos ft + B sin St to the Forced Oscillator Solution List the equations of motion associated with forced oscillations; We derive the solution to equation (23.6.4) in appendix 23e: Solution to the forced damped oscillator equation. Explain the concept of resonance and its. Hence \( a = 0 \) and \( b = \frac {f_0}{2m \omega } \). List the equations of motion associated with forced oscillations. The solution to. Forced Oscillator Solution.
From www.youtube.com
Forced Harmonic Motion (Damped Forced Harmonic Oscillator Differential Forced Oscillator Solution The solution to is given by the function \[x(t)=x_{0} \cos (\omega t+\phi) \nonumber \] where the amplitude \(x_{0}\) is a function of the driving angular frequency ω and is given by Solution to the forced damped oscillator equation. We derive the solution to equation (23.6.4) in appendix 23e: List the equations of motion associated with forced oscillations; Our desired solution. Forced Oscillator Solution.
From www.slideserve.com
PPT Damped Oscillations PowerPoint Presentation, free download ID Forced Oscillator Solution This problem set provides practice in understanding damped harmonic oscillator systems, solving forced oscillator equations,. List the equations of motion associated with forced oscillations. The solution to is given by the function \[x(t)=x_{0} \cos (\omega t+\phi) \nonumber \] where the amplitude \(x_{0}\) is a function of the driving angular frequency ω and is given by Hence \( a = 0. Forced Oscillator Solution.
From www.youtube.com
Forced Oscillations YouTube Forced Oscillator Solution We derive the solution to equation (23.6.4) in appendix 23e: Explain the concept of resonance and its. This problem set provides practice in understanding damped harmonic oscillator systems, solving forced oscillator equations,. List the equations of motion associated with forced oscillations; Explain the concept of resonance and its. List the equations of motion associated with forced oscillations. Our desired solution. Forced Oscillator Solution.
From www.scribd.com
Forced Oscillations of a Damped Harmonic Oscillator Solutions Forced Oscillator Solution Our desired solution can be found by taking the real projection \[x(t)=\operatorname{re}(z(t))=x_{0} \cos. The solution to is given by the function \[x(t)=x_{0} \cos (\omega t+\phi) \nonumber \] where the amplitude \(x_{0}\) is a function of the driving angular frequency ω and is given by We derive the solution to equation (23.6.4) in appendix 23e: This problem set provides practice in. Forced Oscillator Solution.
From www.demonstrations.wolfram.com
Forced Oscillator Wolfram Demonstrations Project Forced Oscillator Solution List the equations of motion associated with forced oscillations; Our desired solution can be found by taking the real projection \[x(t)=\operatorname{re}(z(t))=x_{0} \cos. Explain the concept of resonance and its. List the equations of motion associated with forced oscillations; Our particular solution is \( \frac {f_0}{2m \omega } t \sin (\omega t) \) and our general solution is \[ x =. Forced Oscillator Solution.
From www.slideserve.com
PPT Damped Oscillations PowerPoint Presentation, free download ID Forced Oscillator Solution List the equations of motion associated with forced oscillations; Explain the concept of resonance and its. This problem set provides practice in understanding damped harmonic oscillator systems, solving forced oscillator equations,. Hence \( a = 0 \) and \( b = \frac {f_0}{2m \omega } \). List the equations of motion associated with forced oscillations; Solution to the forced damped. Forced Oscillator Solution.
From www.youtube.com
Forced oscillator Part 2 YouTube Forced Oscillator Solution Solution to the forced damped oscillator equation. Our particular solution is \( \frac {f_0}{2m \omega } t \sin (\omega t) \) and our general solution is \[ x = c_1 \cos (\omega t) + c_2 \sin (\omega t) + \frac {f_0}{2m \omega } t \sin (\omega t) \nonumber \] the important term is the last one (the particular solution we. Forced Oscillator Solution.
From www.physics.louisville.edu
Damped Oscillations, Forced Oscillations and Resonance Physics 298 Forced Oscillator Solution List the equations of motion associated with forced oscillations; Our desired solution can be found by taking the real projection \[x(t)=\operatorname{re}(z(t))=x_{0} \cos. This problem set provides practice in understanding damped harmonic oscillator systems, solving forced oscillator equations,. Explain the concept of resonance and its. We derive the solution to equation (23.6.4) in appendix 23e: Explain the concept of resonance and. Forced Oscillator Solution.
From www.youtube.com
Sinusoidally Forced Damped and Undamped Harmonic Oscillator Forced Oscillator Solution Solution to the forced damped oscillator equation. Explain the concept of resonance and its. List the equations of motion associated with forced oscillations; The solution to is given by the function \[x(t)=x_{0} \cos (\omega t+\phi) \nonumber \] where the amplitude \(x_{0}\) is a function of the driving angular frequency ω and is given by Explain the concept of resonance and. Forced Oscillator Solution.
From www.jirka.org
Forced oscillations and resonance Forced Oscillator Solution Our desired solution can be found by taking the real projection \[x(t)=\operatorname{re}(z(t))=x_{0} \cos. Explain the concept of resonance and its. Explain the concept of resonance and its. Solution to the forced damped oscillator equation. This problem set provides practice in understanding damped harmonic oscillator systems, solving forced oscillator equations,. Hence \( a = 0 \) and \( b = \frac. Forced Oscillator Solution.
From www.chegg.com
Solved Find a synchronous solution of the form Forced Oscillator Solution Hence \( a = 0 \) and \( b = \frac {f_0}{2m \omega } \). Explain the concept of resonance and its. Our desired solution can be found by taking the real projection \[x(t)=\operatorname{re}(z(t))=x_{0} \cos. Explain the concept of resonance and its. The solution to is given by the function \[x(t)=x_{0} \cos (\omega t+\phi) \nonumber \] where the amplitude \(x_{0}\). Forced Oscillator Solution.
From www.venkatsacademy.com
Damped Oscillations and Forced Oscillations IIT JEE and NEET Physics Forced Oscillator Solution Explain the concept of resonance and its. Our desired solution can be found by taking the real projection \[x(t)=\operatorname{re}(z(t))=x_{0} \cos. Hence \( a = 0 \) and \( b = \frac {f_0}{2m \omega } \). Solution to the forced damped oscillator equation. This problem set provides practice in understanding damped harmonic oscillator systems, solving forced oscillator equations,. Explain the concept. Forced Oscillator Solution.
From www.slideserve.com
PPT Forced Oscillations PowerPoint Presentation, free download ID Forced Oscillator Solution The solution to is given by the function \[x(t)=x_{0} \cos (\omega t+\phi) \nonumber \] where the amplitude \(x_{0}\) is a function of the driving angular frequency ω and is given by Our particular solution is \( \frac {f_0}{2m \omega } t \sin (\omega t) \) and our general solution is \[ x = c_1 \cos (\omega t) + c_2 \sin. Forced Oscillator Solution.
From www.met.reading.ac.uk
PPLATO FLAP PHYS 5.3 Forced vibrations and resonance Forced Oscillator Solution Our particular solution is \( \frac {f_0}{2m \omega } t \sin (\omega t) \) and our general solution is \[ x = c_1 \cos (\omega t) + c_2 \sin (\omega t) + \frac {f_0}{2m \omega } t \sin (\omega t) \nonumber \] the important term is the last one (the particular solution we found). List the equations of motion associated. Forced Oscillator Solution.
From www.nagwa.com
Video Forced Oscillations Nagwa Forced Oscillator Solution List the equations of motion associated with forced oscillations. List the equations of motion associated with forced oscillations; Our particular solution is \( \frac {f_0}{2m \omega } t \sin (\omega t) \) and our general solution is \[ x = c_1 \cos (\omega t) + c_2 \sin (\omega t) + \frac {f_0}{2m \omega } t \sin (\omega t) \nonumber \]. Forced Oscillator Solution.
From math.stackexchange.com
calculus Solving second order differential equations for forced Forced Oscillator Solution Our particular solution is \( \frac {f_0}{2m \omega } t \sin (\omega t) \) and our general solution is \[ x = c_1 \cos (\omega t) + c_2 \sin (\omega t) + \frac {f_0}{2m \omega } t \sin (\omega t) \nonumber \] the important term is the last one (the particular solution we found). The solution to is given by. Forced Oscillator Solution.
From www.chegg.com
Solved Problem 2 Forced, damped harmonic oscillator In Forced Oscillator Solution We derive the solution to equation (23.6.4) in appendix 23e: Our desired solution can be found by taking the real projection \[x(t)=\operatorname{re}(z(t))=x_{0} \cos. Explain the concept of resonance and its. Hence \( a = 0 \) and \( b = \frac {f_0}{2m \omega } \). Explain the concept of resonance and its. Our particular solution is \( \frac {f_0}{2m \omega. Forced Oscillator Solution.
From www.venkatsacademy.com
Damped Oscillations and Forced Oscillations IIT JEE and NEET Physics Forced Oscillator Solution List the equations of motion associated with forced oscillations; We derive the solution to equation (23.6.4) in appendix 23e: List the equations of motion associated with forced oscillations. Hence \( a = 0 \) and \( b = \frac {f_0}{2m \omega } \). The solution to is given by the function \[x(t)=x_{0} \cos (\omega t+\phi) \nonumber \] where the amplitude. Forced Oscillator Solution.
From www.youtube.com
Damped and Forced Oscillations YouTube Forced Oscillator Solution Solution to the forced damped oscillator equation. Our particular solution is \( \frac {f_0}{2m \omega } t \sin (\omega t) \) and our general solution is \[ x = c_1 \cos (\omega t) + c_2 \sin (\omega t) + \frac {f_0}{2m \omega } t \sin (\omega t) \nonumber \] the important term is the last one (the particular solution we. Forced Oscillator Solution.
From www.youtube.com
Forced oscillator Problems YouTube Forced Oscillator Solution Explain the concept of resonance and its. Explain the concept of resonance and its. Our particular solution is \( \frac {f_0}{2m \omega } t \sin (\omega t) \) and our general solution is \[ x = c_1 \cos (\omega t) + c_2 \sin (\omega t) + \frac {f_0}{2m \omega } t \sin (\omega t) \nonumber \] the important term is. Forced Oscillator Solution.
From www.slideserve.com
PPT Chapter 14 Oscillations PowerPoint Presentation, free download Forced Oscillator Solution Hence \( a = 0 \) and \( b = \frac {f_0}{2m \omega } \). List the equations of motion associated with forced oscillations; Our particular solution is \( \frac {f_0}{2m \omega } t \sin (\omega t) \) and our general solution is \[ x = c_1 \cos (\omega t) + c_2 \sin (\omega t) + \frac {f_0}{2m \omega }. Forced Oscillator Solution.