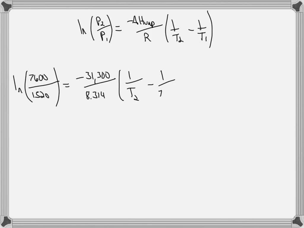
What Is Vaporization Of Acetone . C 3 h 6 o. This process, called vaporization or evaporation, generates a vapor pressure above the liquid. Molecules in the gas phase. What is the vapor pressure of. For acetone \(\ce{(ch3)2co}\), the normal boiling point is 56.5 °c and the enthalpy of vaporization is 31.3 kj/mol. C 3 h 6 o. Acetone, one of the principal ketone bodies elevated during treatment with the ketogenic diet, exhibits anticonvulsant properties that may contribute to the seizure protection conferred by the.
from www.numerade.com
C 3 h 6 o. Acetone, one of the principal ketone bodies elevated during treatment with the ketogenic diet, exhibits anticonvulsant properties that may contribute to the seizure protection conferred by the. This process, called vaporization or evaporation, generates a vapor pressure above the liquid. What is the vapor pressure of. C 3 h 6 o. Molecules in the gas phase. For acetone \(\ce{(ch3)2co}\), the normal boiling point is 56.5 °c and the enthalpy of vaporization is 31.3 kj/mol.
SOLVED The standard entropy of vaporization of acetone is
What Is Vaporization Of Acetone C 3 h 6 o. C 3 h 6 o. Acetone, one of the principal ketone bodies elevated during treatment with the ketogenic diet, exhibits anticonvulsant properties that may contribute to the seizure protection conferred by the. C 3 h 6 o. For acetone \(\ce{(ch3)2co}\), the normal boiling point is 56.5 °c and the enthalpy of vaporization is 31.3 kj/mol. What is the vapor pressure of. This process, called vaporization or evaporation, generates a vapor pressure above the liquid. Molecules in the gas phase.
From www.numerade.com
SOLVED The heat of vaporization of acetone is 31.3 kJ/mol, and it has What Is Vaporization Of Acetone C 3 h 6 o. C 3 h 6 o. For acetone \(\ce{(ch3)2co}\), the normal boiling point is 56.5 °c and the enthalpy of vaporization is 31.3 kj/mol. Acetone, one of the principal ketone bodies elevated during treatment with the ketogenic diet, exhibits anticonvulsant properties that may contribute to the seizure protection conferred by the. Molecules in the gas phase.. What Is Vaporization Of Acetone.
From www.numerade.com
SOLVED The standard entropy of vaporization of acetone is What Is Vaporization Of Acetone For acetone \(\ce{(ch3)2co}\), the normal boiling point is 56.5 °c and the enthalpy of vaporization is 31.3 kj/mol. C 3 h 6 o. Acetone, one of the principal ketone bodies elevated during treatment with the ketogenic diet, exhibits anticonvulsant properties that may contribute to the seizure protection conferred by the. This process, called vaporization or evaporation, generates a vapor pressure. What Is Vaporization Of Acetone.
From www.numerade.com
SOLVED Write the thermochemical equation for the vaporization of What Is Vaporization Of Acetone This process, called vaporization or evaporation, generates a vapor pressure above the liquid. For acetone \(\ce{(ch3)2co}\), the normal boiling point is 56.5 °c and the enthalpy of vaporization is 31.3 kj/mol. What is the vapor pressure of. Molecules in the gas phase. C 3 h 6 o. C 3 h 6 o. Acetone, one of the principal ketone bodies elevated. What Is Vaporization Of Acetone.
From www.numerade.com
SOLVED The normal boiling point of acetone [(CH3)2CO; MW 58.08 g/mol What Is Vaporization Of Acetone C 3 h 6 o. This process, called vaporization or evaporation, generates a vapor pressure above the liquid. Molecules in the gas phase. C 3 h 6 o. What is the vapor pressure of. Acetone, one of the principal ketone bodies elevated during treatment with the ketogenic diet, exhibits anticonvulsant properties that may contribute to the seizure protection conferred by. What Is Vaporization Of Acetone.
From www.youtube.com
The enthalpy of vaporization for acetone is 320 kJ mol1 The normal What Is Vaporization Of Acetone C 3 h 6 o. This process, called vaporization or evaporation, generates a vapor pressure above the liquid. Acetone, one of the principal ketone bodies elevated during treatment with the ketogenic diet, exhibits anticonvulsant properties that may contribute to the seizure protection conferred by the. For acetone \(\ce{(ch3)2co}\), the normal boiling point is 56.5 °c and the enthalpy of vaporization. What Is Vaporization Of Acetone.
From www.bartleby.com
Answered The vapor pressure of liquid acetone,… bartleby What Is Vaporization Of Acetone What is the vapor pressure of. This process, called vaporization or evaporation, generates a vapor pressure above the liquid. Acetone, one of the principal ketone bodies elevated during treatment with the ketogenic diet, exhibits anticonvulsant properties that may contribute to the seizure protection conferred by the. Molecules in the gas phase. C 3 h 6 o. For acetone \(\ce{(ch3)2co}\), the. What Is Vaporization Of Acetone.
From www.chegg.com
Solved What is the heat of vaporization of acetone (AH vap) What Is Vaporization Of Acetone C 3 h 6 o. What is the vapor pressure of. C 3 h 6 o. For acetone \(\ce{(ch3)2co}\), the normal boiling point is 56.5 °c and the enthalpy of vaporization is 31.3 kj/mol. This process, called vaporization or evaporation, generates a vapor pressure above the liquid. Molecules in the gas phase. Acetone, one of the principal ketone bodies elevated. What Is Vaporization Of Acetone.
From www.researchgate.net
Heat of vaporization of acetone. Simulation data • this work, AUA4 What Is Vaporization Of Acetone This process, called vaporization or evaporation, generates a vapor pressure above the liquid. What is the vapor pressure of. Acetone, one of the principal ketone bodies elevated during treatment with the ketogenic diet, exhibits anticonvulsant properties that may contribute to the seizure protection conferred by the. Molecules in the gas phase. C 3 h 6 o. C 3 h 6. What Is Vaporization Of Acetone.
From www.numerade.com
SOLVED The normal boiling point of acetone [(CH3)2CO; MW 58.08 g/mol What Is Vaporization Of Acetone What is the vapor pressure of. For acetone \(\ce{(ch3)2co}\), the normal boiling point is 56.5 °c and the enthalpy of vaporization is 31.3 kj/mol. Acetone, one of the principal ketone bodies elevated during treatment with the ketogenic diet, exhibits anticonvulsant properties that may contribute to the seizure protection conferred by the. Molecules in the gas phase. C 3 h 6. What Is Vaporization Of Acetone.
From www.solutioninn.com
[Solved] Estimate the vapor pressure of acetone (m SolutionInn What Is Vaporization Of Acetone Acetone, one of the principal ketone bodies elevated during treatment with the ketogenic diet, exhibits anticonvulsant properties that may contribute to the seizure protection conferred by the. For acetone \(\ce{(ch3)2co}\), the normal boiling point is 56.5 °c and the enthalpy of vaporization is 31.3 kj/mol. Molecules in the gas phase. What is the vapor pressure of. C 3 h 6. What Is Vaporization Of Acetone.
From brainly.in
Explain with diagram to separate mixture of Acetone and water. Brainly.in What Is Vaporization Of Acetone What is the vapor pressure of. C 3 h 6 o. Acetone, one of the principal ketone bodies elevated during treatment with the ketogenic diet, exhibits anticonvulsant properties that may contribute to the seizure protection conferred by the. This process, called vaporization or evaporation, generates a vapor pressure above the liquid. Molecules in the gas phase. C 3 h 6. What Is Vaporization Of Acetone.
From www.chegg.com
Solved a. Estimate the heat of vaporization of acetone at What Is Vaporization Of Acetone This process, called vaporization or evaporation, generates a vapor pressure above the liquid. C 3 h 6 o. Acetone, one of the principal ketone bodies elevated during treatment with the ketogenic diet, exhibits anticonvulsant properties that may contribute to the seizure protection conferred by the. C 3 h 6 o. For acetone \(\ce{(ch3)2co}\), the normal boiling point is 56.5 °c. What Is Vaporization Of Acetone.
From www.numerade.com
VIDEO solution What is the enthalpy of vaporization of acetone What Is Vaporization Of Acetone Molecules in the gas phase. C 3 h 6 o. What is the vapor pressure of. For acetone \(\ce{(ch3)2co}\), the normal boiling point is 56.5 °c and the enthalpy of vaporization is 31.3 kj/mol. C 3 h 6 o. This process, called vaporization or evaporation, generates a vapor pressure above the liquid. Acetone, one of the principal ketone bodies elevated. What Is Vaporization Of Acetone.
From mavink.com
Acetone Water Phase Diagram What Is Vaporization Of Acetone For acetone \(\ce{(ch3)2co}\), the normal boiling point is 56.5 °c and the enthalpy of vaporization is 31.3 kj/mol. C 3 h 6 o. What is the vapor pressure of. Acetone, one of the principal ketone bodies elevated during treatment with the ketogenic diet, exhibits anticonvulsant properties that may contribute to the seizure protection conferred by the. C 3 h 6. What Is Vaporization Of Acetone.
From www.numerade.com
SOLVED The normal boiling point of acetone [(CH3)2CO; MW 58.08 g/mol What Is Vaporization Of Acetone Molecules in the gas phase. What is the vapor pressure of. Acetone, one of the principal ketone bodies elevated during treatment with the ketogenic diet, exhibits anticonvulsant properties that may contribute to the seizure protection conferred by the. C 3 h 6 o. C 3 h 6 o. This process, called vaporization or evaporation, generates a vapor pressure above the. What Is Vaporization Of Acetone.
From www.numerade.com
SOLVEDThe standard entropy of vaporization of acetone is approximately What Is Vaporization Of Acetone For acetone \(\ce{(ch3)2co}\), the normal boiling point is 56.5 °c and the enthalpy of vaporization is 31.3 kj/mol. Molecules in the gas phase. This process, called vaporization or evaporation, generates a vapor pressure above the liquid. What is the vapor pressure of. C 3 h 6 o. C 3 h 6 o. Acetone, one of the principal ketone bodies elevated. What Is Vaporization Of Acetone.
From www.numerade.com
SOLVED This graph shows how the vapor pressure of three liquids varies What Is Vaporization Of Acetone This process, called vaporization or evaporation, generates a vapor pressure above the liquid. Acetone, one of the principal ketone bodies elevated during treatment with the ketogenic diet, exhibits anticonvulsant properties that may contribute to the seizure protection conferred by the. C 3 h 6 o. C 3 h 6 o. What is the vapor pressure of. For acetone \(\ce{(ch3)2co}\), the. What Is Vaporization Of Acetone.
From www.numerade.com
SOLVED What is the molar entropy of vaporization of 56.5 g of acetone What Is Vaporization Of Acetone C 3 h 6 o. Molecules in the gas phase. Acetone, one of the principal ketone bodies elevated during treatment with the ketogenic diet, exhibits anticonvulsant properties that may contribute to the seizure protection conferred by the. C 3 h 6 o. For acetone \(\ce{(ch3)2co}\), the normal boiling point is 56.5 °c and the enthalpy of vaporization is 31.3 kj/mol.. What Is Vaporization Of Acetone.
From www.chegg.com
Thermodynamics Vapor Pressure of Acetone using What Is Vaporization Of Acetone Acetone, one of the principal ketone bodies elevated during treatment with the ketogenic diet, exhibits anticonvulsant properties that may contribute to the seizure protection conferred by the. C 3 h 6 o. For acetone \(\ce{(ch3)2co}\), the normal boiling point is 56.5 °c and the enthalpy of vaporization is 31.3 kj/mol. Molecules in the gas phase. C 3 h 6 o.. What Is Vaporization Of Acetone.
From www.numerade.com
SOLVED The normal boiling point of acetone [(CH3)2CO; MW 58.08 g/mol What Is Vaporization Of Acetone C 3 h 6 o. For acetone \(\ce{(ch3)2co}\), the normal boiling point is 56.5 °c and the enthalpy of vaporization is 31.3 kj/mol. This process, called vaporization or evaporation, generates a vapor pressure above the liquid. Molecules in the gas phase. C 3 h 6 o. Acetone, one of the principal ketone bodies elevated during treatment with the ketogenic diet,. What Is Vaporization Of Acetone.
From www.numerade.com
⏩SOLVEDThe standard entropy of vaporization of acetone is… Numerade What Is Vaporization Of Acetone C 3 h 6 o. Acetone, one of the principal ketone bodies elevated during treatment with the ketogenic diet, exhibits anticonvulsant properties that may contribute to the seizure protection conferred by the. This process, called vaporization or evaporation, generates a vapor pressure above the liquid. C 3 h 6 o. For acetone \(\ce{(ch3)2co}\), the normal boiling point is 56.5 °c. What Is Vaporization Of Acetone.
From www.coursehero.com
e vapor pressure of liquid acetone varies with temperature as In What Is Vaporization Of Acetone For acetone \(\ce{(ch3)2co}\), the normal boiling point is 56.5 °c and the enthalpy of vaporization is 31.3 kj/mol. C 3 h 6 o. This process, called vaporization or evaporation, generates a vapor pressure above the liquid. Acetone, one of the principal ketone bodies elevated during treatment with the ketogenic diet, exhibits anticonvulsant properties that may contribute to the seizure protection. What Is Vaporization Of Acetone.
From www.numerade.com
SOLVED For acetone (CH3)2CO, the normal boiling point is 56.5 °C and What Is Vaporization Of Acetone C 3 h 6 o. For acetone \(\ce{(ch3)2co}\), the normal boiling point is 56.5 °c and the enthalpy of vaporization is 31.3 kj/mol. Acetone, one of the principal ketone bodies elevated during treatment with the ketogenic diet, exhibits anticonvulsant properties that may contribute to the seizure protection conferred by the. This process, called vaporization or evaporation, generates a vapor pressure. What Is Vaporization Of Acetone.
From www.chegg.com
Solved 4 Acetone Is Used In The Manufacture Of Many Chem... What Is Vaporization Of Acetone For acetone \(\ce{(ch3)2co}\), the normal boiling point is 56.5 °c and the enthalpy of vaporization is 31.3 kj/mol. What is the vapor pressure of. C 3 h 6 o. C 3 h 6 o. Acetone, one of the principal ketone bodies elevated during treatment with the ketogenic diet, exhibits anticonvulsant properties that may contribute to the seizure protection conferred by. What Is Vaporization Of Acetone.
From www.numerade.com
SOLVED ChemActivity E8.b Exercise 6 Below is phase diagram for the What Is Vaporization Of Acetone For acetone \(\ce{(ch3)2co}\), the normal boiling point is 56.5 °c and the enthalpy of vaporization is 31.3 kj/mol. Molecules in the gas phase. C 3 h 6 o. C 3 h 6 o. What is the vapor pressure of. This process, called vaporization or evaporation, generates a vapor pressure above the liquid. Acetone, one of the principal ketone bodies elevated. What Is Vaporization Of Acetone.
From www.numerade.com
SOLVED Below find a ClausiusClapeyron plot for the vapor pressure of What Is Vaporization Of Acetone Acetone, one of the principal ketone bodies elevated during treatment with the ketogenic diet, exhibits anticonvulsant properties that may contribute to the seizure protection conferred by the. C 3 h 6 o. Molecules in the gas phase. C 3 h 6 o. This process, called vaporization or evaporation, generates a vapor pressure above the liquid. For acetone \(\ce{(ch3)2co}\), the normal. What Is Vaporization Of Acetone.
From www.researchgate.net
Heat of vaporization of acetone. Simulation data • this work, AUA4 What Is Vaporization Of Acetone What is the vapor pressure of. This process, called vaporization or evaporation, generates a vapor pressure above the liquid. Acetone, one of the principal ketone bodies elevated during treatment with the ketogenic diet, exhibits anticonvulsant properties that may contribute to the seizure protection conferred by the. Molecules in the gas phase. For acetone \(\ce{(ch3)2co}\), the normal boiling point is 56.5. What Is Vaporization Of Acetone.
From www.researchgate.net
Photocatalytic oxidation of acetone vapor in air on Download What Is Vaporization Of Acetone Molecules in the gas phase. C 3 h 6 o. For acetone \(\ce{(ch3)2co}\), the normal boiling point is 56.5 °c and the enthalpy of vaporization is 31.3 kj/mol. C 3 h 6 o. This process, called vaporization or evaporation, generates a vapor pressure above the liquid. Acetone, one of the principal ketone bodies elevated during treatment with the ketogenic diet,. What Is Vaporization Of Acetone.
From www.vedantu.com
Describe the method of preparation of acetone in the laboratory and What Is Vaporization Of Acetone For acetone \(\ce{(ch3)2co}\), the normal boiling point is 56.5 °c and the enthalpy of vaporization is 31.3 kj/mol. This process, called vaporization or evaporation, generates a vapor pressure above the liquid. What is the vapor pressure of. Acetone, one of the principal ketone bodies elevated during treatment with the ketogenic diet, exhibits anticonvulsant properties that may contribute to the seizure. What Is Vaporization Of Acetone.
From www.numerade.com
SOLVED Acetone; CH3COCH3, boils at 56°C. The heat of vaporization of What Is Vaporization Of Acetone For acetone \(\ce{(ch3)2co}\), the normal boiling point is 56.5 °c and the enthalpy of vaporization is 31.3 kj/mol. This process, called vaporization or evaporation, generates a vapor pressure above the liquid. C 3 h 6 o. What is the vapor pressure of. Molecules in the gas phase. Acetone, one of the principal ketone bodies elevated during treatment with the ketogenic. What Is Vaporization Of Acetone.
From www.numerade.com
SOLVED The normal boiling point of acetone [(CH3)2CO; MW 58.08 g/mol What Is Vaporization Of Acetone C 3 h 6 o. C 3 h 6 o. What is the vapor pressure of. Acetone, one of the principal ketone bodies elevated during treatment with the ketogenic diet, exhibits anticonvulsant properties that may contribute to the seizure protection conferred by the. This process, called vaporization or evaporation, generates a vapor pressure above the liquid. Molecules in the gas. What Is Vaporization Of Acetone.
From www.bartleby.com
Answered Map A vapor stream of acetone and dry… bartleby What Is Vaporization Of Acetone Acetone, one of the principal ketone bodies elevated during treatment with the ketogenic diet, exhibits anticonvulsant properties that may contribute to the seizure protection conferred by the. What is the vapor pressure of. C 3 h 6 o. C 3 h 6 o. This process, called vaporization or evaporation, generates a vapor pressure above the liquid. Molecules in the gas. What Is Vaporization Of Acetone.
From www.engineeringtoolbox.com
Acetone Thermophysical Properties What Is Vaporization Of Acetone Acetone, one of the principal ketone bodies elevated during treatment with the ketogenic diet, exhibits anticonvulsant properties that may contribute to the seizure protection conferred by the. C 3 h 6 o. Molecules in the gas phase. What is the vapor pressure of. This process, called vaporization or evaporation, generates a vapor pressure above the liquid. For acetone \(\ce{(ch3)2co}\), the. What Is Vaporization Of Acetone.
From www.numerade.com
SOLVED Below find a ClausiusClapeyron plot for the vapor pressure of What Is Vaporization Of Acetone Acetone, one of the principal ketone bodies elevated during treatment with the ketogenic diet, exhibits anticonvulsant properties that may contribute to the seizure protection conferred by the. What is the vapor pressure of. For acetone \(\ce{(ch3)2co}\), the normal boiling point is 56.5 °c and the enthalpy of vaporization is 31.3 kj/mol. Molecules in the gas phase. C 3 h 6. What Is Vaporization Of Acetone.
From www.numerade.com
SOLVED SOURCE CHAPTER PROBLEM TOPIC INTRAMOLECULAR FORCES The What Is Vaporization Of Acetone C 3 h 6 o. What is the vapor pressure of. C 3 h 6 o. Molecules in the gas phase. Acetone, one of the principal ketone bodies elevated during treatment with the ketogenic diet, exhibits anticonvulsant properties that may contribute to the seizure protection conferred by the. For acetone \(\ce{(ch3)2co}\), the normal boiling point is 56.5 °c and the. What Is Vaporization Of Acetone.