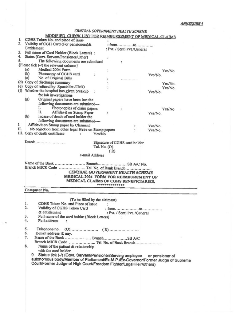
Cghs Claim Form In Word . Cghs medical reimbursement claim form (for serving employees) javascript is a standard programming language that is included to. Misuse of cghs facilities is a criminal offence, penal action including cancellation of cghs card may be taken in case of willful. Obtain break up of investigations from the hospital/diagnostic center/imaging center (details and rates of individual tests and the exact. (to be filled by the principal card holder in block. Documents to be attached photo copy of the cghs card of the employee eiong with the patient's cghs card. Get downloadable forms for beneficiaries of central government health scheme (cghs), ministry of health and family welfare. The claim is to be submitted to the concerned department by serving employees and to the cmo i/c of the cghs wellness centre (where the.
from www.scribd.com
(to be filled by the principal card holder in block. Misuse of cghs facilities is a criminal offence, penal action including cancellation of cghs card may be taken in case of willful. Cghs medical reimbursement claim form (for serving employees) javascript is a standard programming language that is included to. Obtain break up of investigations from the hospital/diagnostic center/imaging center (details and rates of individual tests and the exact. Documents to be attached photo copy of the cghs card of the employee eiong with the patient's cghs card. The claim is to be submitted to the concerned department by serving employees and to the cmo i/c of the cghs wellness centre (where the. Get downloadable forms for beneficiaries of central government health scheme (cghs), ministry of health and family welfare.
Cghs Form New Identity Document Service Industries Free 30day
Cghs Claim Form In Word The claim is to be submitted to the concerned department by serving employees and to the cmo i/c of the cghs wellness centre (where the. Get downloadable forms for beneficiaries of central government health scheme (cghs), ministry of health and family welfare. Documents to be attached photo copy of the cghs card of the employee eiong with the patient's cghs card. The claim is to be submitted to the concerned department by serving employees and to the cmo i/c of the cghs wellness centre (where the. Cghs medical reimbursement claim form (for serving employees) javascript is a standard programming language that is included to. Obtain break up of investigations from the hospital/diagnostic center/imaging center (details and rates of individual tests and the exact. (to be filled by the principal card holder in block. Misuse of cghs facilities is a criminal offence, penal action including cancellation of cghs card may be taken in case of willful.
From www.dopadda.in
CGHS Medical Reimbursement Claim Form DOP Adda Cghs Claim Form In Word (to be filled by the principal card holder in block. The claim is to be submitted to the concerned department by serving employees and to the cmo i/c of the cghs wellness centre (where the. Obtain break up of investigations from the hospital/diagnostic center/imaging center (details and rates of individual tests and the exact. Cghs medical reimbursement claim form (for. Cghs Claim Form In Word.
From diphupoly.in
CGHS Scheme Online Registration Central Government Health Scheme Form Cghs Claim Form In Word Get downloadable forms for beneficiaries of central government health scheme (cghs), ministry of health and family welfare. Obtain break up of investigations from the hospital/diagnostic center/imaging center (details and rates of individual tests and the exact. The claim is to be submitted to the concerned department by serving employees and to the cmo i/c of the cghs wellness centre (where. Cghs Claim Form In Word.
From geod.in
[PDF] CGHS Reimbursement Claim Form PDF Download Here Cghs Claim Form In Word Get downloadable forms for beneficiaries of central government health scheme (cghs), ministry of health and family welfare. Documents to be attached photo copy of the cghs card of the employee eiong with the patient's cghs card. Misuse of cghs facilities is a criminal offence, penal action including cancellation of cghs card may be taken in case of willful. Obtain break. Cghs Claim Form In Word.
From www.slideshare.net
Cghs reimbursement forms Cghs Claim Form In Word Obtain break up of investigations from the hospital/diagnostic center/imaging center (details and rates of individual tests and the exact. Get downloadable forms for beneficiaries of central government health scheme (cghs), ministry of health and family welfare. Misuse of cghs facilities is a criminal offence, penal action including cancellation of cghs card may be taken in case of willful. The claim. Cghs Claim Form In Word.
From www.staffnews.in
New Medical Reimbursement Claim (MRC) Form for CGHS beneficiaries Cghs Claim Form In Word Misuse of cghs facilities is a criminal offence, penal action including cancellation of cghs card may be taken in case of willful. Obtain break up of investigations from the hospital/diagnostic center/imaging center (details and rates of individual tests and the exact. Get downloadable forms for beneficiaries of central government health scheme (cghs), ministry of health and family welfare. Documents to. Cghs Claim Form In Word.
From www.pdffiller.com
CGHS Medical Reimbursement Claim (for serving Doc Template pdfFiller Cghs Claim Form In Word The claim is to be submitted to the concerned department by serving employees and to the cmo i/c of the cghs wellness centre (where the. Documents to be attached photo copy of the cghs card of the employee eiong with the patient's cghs card. Cghs medical reimbursement claim form (for serving employees) javascript is a standard programming language that is. Cghs Claim Form In Word.
From www.pdffiller.com
Fillable Online chsclaimform Fax Email Print pdfFiller Cghs Claim Form In Word Misuse of cghs facilities is a criminal offence, penal action including cancellation of cghs card may be taken in case of willful. Obtain break up of investigations from the hospital/diagnostic center/imaging center (details and rates of individual tests and the exact. The claim is to be submitted to the concerned department by serving employees and to the cmo i/c of. Cghs Claim Form In Word.
From www.scribd.com
Cghs Form New Identity Document Service Industries Free 30day Cghs Claim Form In Word Get downloadable forms for beneficiaries of central government health scheme (cghs), ministry of health and family welfare. Obtain break up of investigations from the hospital/diagnostic center/imaging center (details and rates of individual tests and the exact. The claim is to be submitted to the concerned department by serving employees and to the cmo i/c of the cghs wellness centre (where. Cghs Claim Form In Word.
From www.scribd.com
CGHS Application Medicine Health Sciences Cghs Claim Form In Word Documents to be attached photo copy of the cghs card of the employee eiong with the patient's cghs card. (to be filled by the principal card holder in block. Misuse of cghs facilities is a criminal offence, penal action including cancellation of cghs card may be taken in case of willful. Obtain break up of investigations from the hospital/diagnostic center/imaging. Cghs Claim Form In Word.
From www.pdffiller.com
Fillable Online CGHS reimbursement forms.pdf Fax Email Print pdfFiller Cghs Claim Form In Word Misuse of cghs facilities is a criminal offence, penal action including cancellation of cghs card may be taken in case of willful. (to be filled by the principal card holder in block. Get downloadable forms for beneficiaries of central government health scheme (cghs), ministry of health and family welfare. The claim is to be submitted to the concerned department by. Cghs Claim Form In Word.
From www.scribd.com
NIC Blank Form (Medical Claim Form For CGHS Beneficiaries) PDF Cghs Claim Form In Word Obtain break up of investigations from the hospital/diagnostic center/imaging center (details and rates of individual tests and the exact. Get downloadable forms for beneficiaries of central government health scheme (cghs), ministry of health and family welfare. The claim is to be submitted to the concerned department by serving employees and to the cmo i/c of the cghs wellness centre (where. Cghs Claim Form In Word.
From www.staffnews.in
Nomination Facility under CGHS for Claiming Medical Reimbursement in Cghs Claim Form In Word Obtain break up of investigations from the hospital/diagnostic center/imaging center (details and rates of individual tests and the exact. Misuse of cghs facilities is a criminal offence, penal action including cancellation of cghs card may be taken in case of willful. (to be filled by the principal card holder in block. Cghs medical reimbursement claim form (for serving employees) javascript. Cghs Claim Form In Word.
From www.staffnews.in
New Medical Reimbursement Claim (MRC) Form for CGHS beneficiaries Cghs Claim Form In Word Get downloadable forms for beneficiaries of central government health scheme (cghs), ministry of health and family welfare. Cghs medical reimbursement claim form (for serving employees) javascript is a standard programming language that is included to. Misuse of cghs facilities is a criminal offence, penal action including cancellation of cghs card may be taken in case of willful. Obtain break up. Cghs Claim Form In Word.
From www.studocu.com
CGHS renewal form 20210805114317 Form AA CENTRAL GOVERNMENT HEALTH Cghs Claim Form In Word The claim is to be submitted to the concerned department by serving employees and to the cmo i/c of the cghs wellness centre (where the. Obtain break up of investigations from the hospital/diagnostic center/imaging center (details and rates of individual tests and the exact. Documents to be attached photo copy of the cghs card of the employee eiong with the. Cghs Claim Form In Word.
From www.pdffiller.com
Fillable Online CGHS Medical Reimbursement Claim Form (for serving Cghs Claim Form In Word The claim is to be submitted to the concerned department by serving employees and to the cmo i/c of the cghs wellness centre (where the. Cghs medical reimbursement claim form (for serving employees) javascript is a standard programming language that is included to. (to be filled by the principal card holder in block. Documents to be attached photo copy of. Cghs Claim Form In Word.
From studylib.net
CGHS reimbursement forms Cghs Claim Form In Word Cghs medical reimbursement claim form (for serving employees) javascript is a standard programming language that is included to. Get downloadable forms for beneficiaries of central government health scheme (cghs), ministry of health and family welfare. (to be filled by the principal card holder in block. The claim is to be submitted to the concerned department by serving employees and to. Cghs Claim Form In Word.
From diphupoly.in
CGHS Scheme Online Registration Central Government Health Scheme Form Cghs Claim Form In Word The claim is to be submitted to the concerned department by serving employees and to the cmo i/c of the cghs wellness centre (where the. Get downloadable forms for beneficiaries of central government health scheme (cghs), ministry of health and family welfare. Misuse of cghs facilities is a criminal offence, penal action including cancellation of cghs card may be taken. Cghs Claim Form In Word.
From www.scribd.com
CGHS FORM Identity Document Disability Cghs Claim Form In Word Documents to be attached photo copy of the cghs card of the employee eiong with the patient's cghs card. Cghs medical reimbursement claim form (for serving employees) javascript is a standard programming language that is included to. Obtain break up of investigations from the hospital/diagnostic center/imaging center (details and rates of individual tests and the exact. Misuse of cghs facilities. Cghs Claim Form In Word.
From www.scribd.com
CGHSClaimForm062138a53949d1001714997 PDF Cghs Claim Form In Word Obtain break up of investigations from the hospital/diagnostic center/imaging center (details and rates of individual tests and the exact. Get downloadable forms for beneficiaries of central government health scheme (cghs), ministry of health and family welfare. Documents to be attached photo copy of the cghs card of the employee eiong with the patient's cghs card. (to be filled by the. Cghs Claim Form In Word.
From www.uslegalforms.com
Revision Of Medical Reimbursement Claim Form For CGHS Fill and Cghs Claim Form In Word Documents to be attached photo copy of the cghs card of the employee eiong with the patient's cghs card. Obtain break up of investigations from the hospital/diagnostic center/imaging center (details and rates of individual tests and the exact. The claim is to be submitted to the concerned department by serving employees and to the cmo i/c of the cghs wellness. Cghs Claim Form In Word.
From www.pdffiller.com
Application for CGHS card Doc Template pdfFiller Cghs Claim Form In Word Misuse of cghs facilities is a criminal offence, penal action including cancellation of cghs card may be taken in case of willful. Documents to be attached photo copy of the cghs card of the employee eiong with the patient's cghs card. (to be filled by the principal card holder in block. Obtain break up of investigations from the hospital/diagnostic center/imaging. Cghs Claim Form In Word.
From 7thpaycommissionnews.in
Renewal of CGHS Card for Employees and Pensioners — Central Government Cghs Claim Form In Word Cghs medical reimbursement claim form (for serving employees) javascript is a standard programming language that is included to. Obtain break up of investigations from the hospital/diagnostic center/imaging center (details and rates of individual tests and the exact. Get downloadable forms for beneficiaries of central government health scheme (cghs), ministry of health and family welfare. The claim is to be submitted. Cghs Claim Form In Word.
From www.staffnews.in
Form for availing Medical Facilities under CGHS or Fixed Medical Cghs Claim Form In Word Cghs medical reimbursement claim form (for serving employees) javascript is a standard programming language that is included to. Documents to be attached photo copy of the cghs card of the employee eiong with the patient's cghs card. Misuse of cghs facilities is a criminal offence, penal action including cancellation of cghs card may be taken in case of willful. The. Cghs Claim Form In Word.
From www.slideshare.net
Cghs reimbursement forms Cghs Claim Form In Word The claim is to be submitted to the concerned department by serving employees and to the cmo i/c of the cghs wellness centre (where the. Documents to be attached photo copy of the cghs card of the employee eiong with the patient's cghs card. Get downloadable forms for beneficiaries of central government health scheme (cghs), ministry of health and family. Cghs Claim Form In Word.
From www.pdffiller.com
Fillable Online CGHS Medical Claim Fax Email Print pdfFiller Cghs Claim Form In Word (to be filled by the principal card holder in block. The claim is to be submitted to the concerned department by serving employees and to the cmo i/c of the cghs wellness centre (where the. Misuse of cghs facilities is a criminal offence, penal action including cancellation of cghs card may be taken in case of willful. Obtain break up. Cghs Claim Form In Word.
From diphupoly.in
CGHS Scheme Online Registration Central Government Health Scheme Form Cghs Claim Form In Word Documents to be attached photo copy of the cghs card of the employee eiong with the patient's cghs card. Cghs medical reimbursement claim form (for serving employees) javascript is a standard programming language that is included to. The claim is to be submitted to the concerned department by serving employees and to the cmo i/c of the cghs wellness centre. Cghs Claim Form In Word.
From www.pdffiller.com
Online claim CHS. Use this Microsoft Word Doc Template pdfFiller Cghs Claim Form In Word The claim is to be submitted to the concerned department by serving employees and to the cmo i/c of the cghs wellness centre (where the. Get downloadable forms for beneficiaries of central government health scheme (cghs), ministry of health and family welfare. Cghs medical reimbursement claim form (for serving employees) javascript is a standard programming language that is included to.. Cghs Claim Form In Word.
From www.scribd.com
Cghs Application Form Identity Document Service Industries Free Cghs Claim Form In Word Obtain break up of investigations from the hospital/diagnostic center/imaging center (details and rates of individual tests and the exact. Documents to be attached photo copy of the cghs card of the employee eiong with the patient's cghs card. Get downloadable forms for beneficiaries of central government health scheme (cghs), ministry of health and family welfare. Cghs medical reimbursement claim form. Cghs Claim Form In Word.
From www.generalblue.com
Expense Claim Form in Word (Basic) Cghs Claim Form In Word Obtain break up of investigations from the hospital/diagnostic center/imaging center (details and rates of individual tests and the exact. Get downloadable forms for beneficiaries of central government health scheme (cghs), ministry of health and family welfare. The claim is to be submitted to the concerned department by serving employees and to the cmo i/c of the cghs wellness centre (where. Cghs Claim Form In Word.
From www.scribd.com
Central Government Health Scheme Medical 2004 Form For Reimbursement of Cghs Claim Form In Word (to be filled by the principal card holder in block. Get downloadable forms for beneficiaries of central government health scheme (cghs), ministry of health and family welfare. Misuse of cghs facilities is a criminal offence, penal action including cancellation of cghs card may be taken in case of willful. Cghs medical reimbursement claim form (for serving employees) javascript is a. Cghs Claim Form In Word.
From way2wise.com
How To Apply CGHS Plastic Card Online way2wise Cghs Claim Form In Word Get downloadable forms for beneficiaries of central government health scheme (cghs), ministry of health and family welfare. Obtain break up of investigations from the hospital/diagnostic center/imaging center (details and rates of individual tests and the exact. Documents to be attached photo copy of the cghs card of the employee eiong with the patient's cghs card. (to be filled by the. Cghs Claim Form In Word.
From www.pdffiller.com
CGHS Claim Doc Template pdfFiller Cghs Claim Form In Word Cghs medical reimbursement claim form (for serving employees) javascript is a standard programming language that is included to. (to be filled by the principal card holder in block. Misuse of cghs facilities is a criminal offence, penal action including cancellation of cghs card may be taken in case of willful. Documents to be attached photo copy of the cghs card. Cghs Claim Form In Word.
From www.staffnews.in
New Medical Reimbursement Claim (MRC) Form for CGHS beneficiaries Cghs Claim Form In Word Misuse of cghs facilities is a criminal offence, penal action including cancellation of cghs card may be taken in case of willful. Cghs medical reimbursement claim form (for serving employees) javascript is a standard programming language that is included to. (to be filled by the principal card holder in block. Obtain break up of investigations from the hospital/diagnostic center/imaging center. Cghs Claim Form In Word.
From www.youtube.com
How to fill cghs form online? YouTube Cghs Claim Form In Word Misuse of cghs facilities is a criminal offence, penal action including cancellation of cghs card may be taken in case of willful. The claim is to be submitted to the concerned department by serving employees and to the cmo i/c of the cghs wellness centre (where the. Documents to be attached photo copy of the cghs card of the employee. Cghs Claim Form In Word.
From management.ind.in
Central Government Health Scheme Reimbursement Form 2024 2025 Student Cghs Claim Form In Word The claim is to be submitted to the concerned department by serving employees and to the cmo i/c of the cghs wellness centre (where the. Documents to be attached photo copy of the cghs card of the employee eiong with the patient's cghs card. Cghs medical reimbursement claim form (for serving employees) javascript is a standard programming language that is. Cghs Claim Form In Word.