What Does Rm Mean In Linear Algebra . T ( u + v )= t ( u )+ t ( v ) t ( cu )= ct ( u ) for all. (1) t(x+ y) = t(x) + t(y) for all x;y 2rn (2) t(cx) = ct(x) for all x 2rn and c2r.  a linear transformation $t$ between two vector spaces $\mathbb{r}^n$ and $\mathbb{r}^m$, written $t:. A function $t:\r^n \to \r^m$ is called a linear transformation if. A linear transformation is a function t:    — determine if a linear transformation is onto or one to one.    — this section has introduced vectors, linear combinations, and their connection to linear systems. Rn ↦ rm be a linear transformation. A linear transformation is a transformation t : There are two operations we can.  n a matrix a 2 rm is a rectangular array of real numbers with m rows and n columns.  linear transformation from $\r^n$ to $\r^m$. R n → r m satisfying.    — the span of a set of vectors \ (\mathbf v_1,\mathbf v_2,\ldots,\mathbf v_n\) is the set of all linear combinations.
        
         
         
        from www.englishsakshi.com 
     
        
        Rn ↦ rm be a linear transformation.  linear transformation from $\r^n$ to $\r^m$.  n a matrix a 2 rm is a rectangular array of real numbers with m rows and n columns. A linear transformation is a function t:    — determine if a linear transformation is onto or one to one.  a linear transformation $t$ between two vector spaces $\mathbb{r}^n$ and $\mathbb{r}^m$, written $t:. There are two operations we can. A function $t:\r^n \to \r^m$ is called a linear transformation if. R n → r m satisfying. A linear transformation is a transformation t :
    
    	
            
	
		 
	 
         
    Linear Equations Definition, Formula, Examples & Solutions 
    What Does Rm Mean In Linear Algebra   linear transformation from $\r^n$ to $\r^m$. Rn ↦ rm be a linear transformation. There are two operations we can.  linear transformation from $\r^n$ to $\r^m$. T ( u + v )= t ( u )+ t ( v ) t ( cu )= ct ( u ) for all. (1) t(x+ y) = t(x) + t(y) for all x;y 2rn (2) t(cx) = ct(x) for all x 2rn and c2r. A linear transformation is a transformation t :  a linear transformation $t$ between two vector spaces $\mathbb{r}^n$ and $\mathbb{r}^m$, written $t:. A function $t:\r^n \to \r^m$ is called a linear transformation if. A linear transformation is a function t:    — this section has introduced vectors, linear combinations, and their connection to linear systems.    — the span of a set of vectors \ (\mathbf v_1,\mathbf v_2,\ldots,\mathbf v_n\) is the set of all linear combinations.  n a matrix a 2 rm is a rectangular array of real numbers with m rows and n columns.    — determine if a linear transformation is onto or one to one. R n → r m satisfying.
            
	
		 
	 
         
 
    
         
        From www.youtube.com 
                    Linear Algebra Example Span Questions YouTube What Does Rm Mean In Linear Algebra   n a matrix a 2 rm is a rectangular array of real numbers with m rows and n columns. Rn ↦ rm be a linear transformation. R n → r m satisfying.  a linear transformation $t$ between two vector spaces $\mathbb{r}^n$ and $\mathbb{r}^m$, written $t:.    — the span of a set of vectors \ (\mathbf v_1,\mathbf v_2,\ldots,\mathbf. What Does Rm Mean In Linear Algebra.
     
    
         
        From www.cuemath.com 
                    Linear Equations Definition, Formula, Solutions & ExamplesCuemath What Does Rm Mean In Linear Algebra  T ( u + v )= t ( u )+ t ( v ) t ( cu )= ct ( u ) for all. A function $t:\r^n \to \r^m$ is called a linear transformation if.    — determine if a linear transformation is onto or one to one.    — the span of a set of vectors \ (\mathbf v_1,\mathbf. What Does Rm Mean In Linear Algebra.
     
    
         
        From www.slideserve.com 
                    PPT Linear Equations PowerPoint Presentation, free download ID6397242 What Does Rm Mean In Linear Algebra  R n → r m satisfying.  linear transformation from $\r^n$ to $\r^m$. T ( u + v )= t ( u )+ t ( v ) t ( cu )= ct ( u ) for all.    — the span of a set of vectors \ (\mathbf v_1,\mathbf v_2,\ldots,\mathbf v_n\) is the set of all linear combinations. Rn ↦. What Does Rm Mean In Linear Algebra.
     
    
         
        From www2.seas.gwu.edu 
                    Linear Algebra What Does Rm Mean In Linear Algebra   linear transformation from $\r^n$ to $\r^m$.  a linear transformation $t$ between two vector spaces $\mathbb{r}^n$ and $\mathbb{r}^m$, written $t:.    — the span of a set of vectors \ (\mathbf v_1,\mathbf v_2,\ldots,\mathbf v_n\) is the set of all linear combinations. A linear transformation is a function t: T ( u + v )= t ( u )+ t. What Does Rm Mean In Linear Algebra.
     
    
         
        From www.englishsakshi.com 
                    Linear Equations Definition, Formula, Examples & Solutions What Does Rm Mean In Linear Algebra     — this section has introduced vectors, linear combinations, and their connection to linear systems. A linear transformation is a function t: Rn ↦ rm be a linear transformation. T ( u + v )= t ( u )+ t ( v ) t ( cu )= ct ( u ) for all. There are two operations we can. A. What Does Rm Mean In Linear Algebra.
     
    
         
        From www.slideshare.net 
                    Linear Equation What Does Rm Mean In Linear Algebra   n a matrix a 2 rm is a rectangular array of real numbers with m rows and n columns.    — this section has introduced vectors, linear combinations, and their connection to linear systems.    — determine if a linear transformation is onto or one to one.  linear transformation from $\r^n$ to $\r^m$. A linear transformation is a. What Does Rm Mean In Linear Algebra.
     
    
         
        From studylib.net 
                    MATH 307 Linear Transformations from Rn to Rm What Does Rm Mean In Linear Algebra     — determine if a linear transformation is onto or one to one.    — this section has introduced vectors, linear combinations, and their connection to linear systems. A linear transformation is a transformation t : A linear transformation is a function t:  a linear transformation $t$ between two vector spaces $\mathbb{r}^n$ and $\mathbb{r}^m$, written $t:. A function $t:\r^n. What Does Rm Mean In Linear Algebra.
     
    
         
        From www.studocu.com 
                    Linear algebra1 2 good Introduction to Linear Mappings Let T Rn → Rm be a vector mapping What Does Rm Mean In Linear Algebra  A function $t:\r^n \to \r^m$ is called a linear transformation if.  a linear transformation $t$ between two vector spaces $\mathbb{r}^n$ and $\mathbb{r}^m$, written $t:. (1) t(x+ y) = t(x) + t(y) for all x;y 2rn (2) t(cx) = ct(x) for all x 2rn and c2r. Rn ↦ rm be a linear transformation. There are two operations we can. . What Does Rm Mean In Linear Algebra.
     
    
         
        From msmat.blogspot.com 
                    Middle School Maths linear function What Does Rm Mean In Linear Algebra  R n → r m satisfying. A linear transformation is a function t: A linear transformation is a transformation t :  linear transformation from $\r^n$ to $\r^m$.    — this section has introduced vectors, linear combinations, and their connection to linear systems. A function $t:\r^n \to \r^m$ is called a linear transformation if.    — determine if a linear. What Does Rm Mean In Linear Algebra.
     
    
         
        From www.chegg.com 
                    Solved The linear transformation T Rn → Rm is defined by What Does Rm Mean In Linear Algebra   a linear transformation $t$ between two vector spaces $\mathbb{r}^n$ and $\mathbb{r}^m$, written $t:.    — this section has introduced vectors, linear combinations, and their connection to linear systems. A linear transformation is a function t: (1) t(x+ y) = t(x) + t(y) for all x;y 2rn (2) t(cx) = ct(x) for all x 2rn and c2r. A linear transformation. What Does Rm Mean In Linear Algebra.
     
    
         
        From 9to5science.com 
                    [Solved] What does this theorem in linear algebra 9to5Science What Does Rm Mean In Linear Algebra  There are two operations we can. A linear transformation is a transformation t :  n a matrix a 2 rm is a rectangular array of real numbers with m rows and n columns.    — this section has introduced vectors, linear combinations, and their connection to linear systems. Rn ↦ rm be a linear transformation. (1) t(x+ y) =. What Does Rm Mean In Linear Algebra.
     
    
         
        From www.youtube.com 
                    Linear Algebra Example Problems Linear Transformations YouTube What Does Rm Mean In Linear Algebra   linear transformation from $\r^n$ to $\r^m$. T ( u + v )= t ( u )+ t ( v ) t ( cu )= ct ( u ) for all. A linear transformation is a function t: (1) t(x+ y) = t(x) + t(y) for all x;y 2rn (2) t(cx) = ct(x) for all x 2rn and c2r. . What Does Rm Mean In Linear Algebra.
     
    
         
        From theopendictionary.com 
                    Linear algebra Meaning of Linear algebra Definition of Linear algebra Example of Linear What Does Rm Mean In Linear Algebra  T ( u + v )= t ( u )+ t ( v ) t ( cu )= ct ( u ) for all.    — determine if a linear transformation is onto or one to one. A function $t:\r^n \to \r^m$ is called a linear transformation if. A linear transformation is a function t: A linear transformation is a. What Does Rm Mean In Linear Algebra.
     
    
         
        From www.youtube.com 
                    Multivariable Functions Lecture 1 Part 2 Functions from Rn to Rm YouTube What Does Rm Mean In Linear Algebra  Rn ↦ rm be a linear transformation. R n → r m satisfying. (1) t(x+ y) = t(x) + t(y) for all x;y 2rn (2) t(cx) = ct(x) for all x 2rn and c2r. A linear transformation is a function t:    — the span of a set of vectors \ (\mathbf v_1,\mathbf v_2,\ldots,\mathbf v_n\) is the set of all. What Does Rm Mean In Linear Algebra.
     
    
         
        From www.youtube.com 
                    Linear Equations in Linear Algebra Vector Equations Span YouTube What Does Rm Mean In Linear Algebra  Rn ↦ rm be a linear transformation. There are two operations we can. A linear transformation is a transformation t :    — this section has introduced vectors, linear combinations, and their connection to linear systems.  a linear transformation $t$ between two vector spaces $\mathbb{r}^n$ and $\mathbb{r}^m$, written $t:. T ( u + v )= t ( u )+. What Does Rm Mean In Linear Algebra.
     
    
         
        From www.slideshare.net 
                    Linear Equations Ppt What Does Rm Mean In Linear Algebra  There are two operations we can.  n a matrix a 2 rm is a rectangular array of real numbers with m rows and n columns.    — this section has introduced vectors, linear combinations, and their connection to linear systems.  a linear transformation $t$ between two vector spaces $\mathbb{r}^n$ and $\mathbb{r}^m$, written $t:. A linear transformation is a. What Does Rm Mean In Linear Algebra.
     
    
         
        From thirdspacelearning.com 
                    Linear Equations GCSE Maths Steps, Examples & Worksheet What Does Rm Mean In Linear Algebra     — the span of a set of vectors \ (\mathbf v_1,\mathbf v_2,\ldots,\mathbf v_n\) is the set of all linear combinations. (1) t(x+ y) = t(x) + t(y) for all x;y 2rn (2) t(cx) = ct(x) for all x 2rn and c2r.    — determine if a linear transformation is onto or one to one. A function $t:\r^n \to \r^m$. What Does Rm Mean In Linear Algebra.
     
    
         
        From www.studocu.com 
                    Linear Algebra Unit 3 LINEAR TRANSFORMATIONS . f A → B defined by fbc) y . A rn → Rm What Does Rm Mean In Linear Algebra  There are two operations we can.    — the span of a set of vectors \ (\mathbf v_1,\mathbf v_2,\ldots,\mathbf v_n\) is the set of all linear combinations.  n a matrix a 2 rm is a rectangular array of real numbers with m rows and n columns.    — this section has introduced vectors, linear combinations, and their connection to. What Does Rm Mean In Linear Algebra.
     
    
         
        From study.com 
                    What is a Linear Function? Definition & Examples Video & Lesson Transcript What Does Rm Mean In Linear Algebra  A function $t:\r^n \to \r^m$ is called a linear transformation if.  n a matrix a 2 rm is a rectangular array of real numbers with m rows and n columns. There are two operations we can. (1) t(x+ y) = t(x) + t(y) for all x;y 2rn (2) t(cx) = ct(x) for all x 2rn and c2r.  a. What Does Rm Mean In Linear Algebra.
     
    
         
        From www.youtube.com 
                    Mathematics Symbols Linear Algebra Symbols YouTube What Does Rm Mean In Linear Algebra  R n → r m satisfying.  n a matrix a 2 rm is a rectangular array of real numbers with m rows and n columns.    — determine if a linear transformation is onto or one to one.    — this section has introduced vectors, linear combinations, and their connection to linear systems. A function $t:\r^n \to \r^m$ is. What Does Rm Mean In Linear Algebra.
     
    
         
        From mungfali.com 
                    Linear Algebra Concept Map What Does Rm Mean In Linear Algebra   a linear transformation $t$ between two vector spaces $\mathbb{r}^n$ and $\mathbb{r}^m$, written $t:. T ( u + v )= t ( u )+ t ( v ) t ( cu )= ct ( u ) for all. (1) t(x+ y) = t(x) + t(y) for all x;y 2rn (2) t(cx) = ct(x) for all x 2rn and c2r. Rn. What Does Rm Mean In Linear Algebra.
     
    
         
        From www.toppersbulletin.com 
                    Linear Algebra Symbols Toppers Bulletin What Does Rm Mean In Linear Algebra     — this section has introduced vectors, linear combinations, and their connection to linear systems. T ( u + v )= t ( u )+ t ( v ) t ( cu )= ct ( u ) for all.    — the span of a set of vectors \ (\mathbf v_1,\mathbf v_2,\ldots,\mathbf v_n\) is the set of all linear combinations.. What Does Rm Mean In Linear Algebra.
     
    
         
        From github.com 
                    GitHub DearJohnsonny/Notes4LinearAlgebra What Does Rm Mean In Linear Algebra  R n → r m satisfying. A function $t:\r^n \to \r^m$ is called a linear transformation if.  n a matrix a 2 rm is a rectangular array of real numbers with m rows and n columns. T ( u + v )= t ( u )+ t ( v ) t ( cu )= ct ( u ) for. What Does Rm Mean In Linear Algebra.
     
    
         
        From math.stackexchange.com 
                    linear algebra What does the notation [\boldsymbol{A} \boldsymbol{B} ] mean (line through What Does Rm Mean In Linear Algebra     — the span of a set of vectors \ (\mathbf v_1,\mathbf v_2,\ldots,\mathbf v_n\) is the set of all linear combinations. R n → r m satisfying. Rn ↦ rm be a linear transformation.  a linear transformation $t$ between two vector spaces $\mathbb{r}^n$ and $\mathbb{r}^m$, written $t:.    — this section has introduced vectors, linear combinations, and their connection. What Does Rm Mean In Linear Algebra.
     
    
         
        From www.youtube.com 
                    Linear Algebra Example Problems Onto Linear Transformations YouTube What Does Rm Mean In Linear Algebra   a linear transformation $t$ between two vector spaces $\mathbb{r}^n$ and $\mathbb{r}^m$, written $t:. T ( u + v )= t ( u )+ t ( v ) t ( cu )= ct ( u ) for all. Rn ↦ rm be a linear transformation. A linear transformation is a function t:    — this section has introduced vectors, linear. What Does Rm Mean In Linear Algebra.
     
    
         
        From www.slideserve.com 
                    PPT Chap. 6 Linear Transformations PowerPoint Presentation, free download ID6373605 What Does Rm Mean In Linear Algebra     — this section has introduced vectors, linear combinations, and their connection to linear systems. A linear transformation is a transformation t : T ( u + v )= t ( u )+ t ( v ) t ( cu )= ct ( u ) for all. R n → r m satisfying. (1) t(x+ y) = t(x) + t(y). What Does Rm Mean In Linear Algebra.
     
    
         
        From www.slideserve.com 
                    PPT MAT 2401 Linear Algebra PowerPoint Presentation, free download ID5571553 What Does Rm Mean In Linear Algebra  A linear transformation is a transformation t : (1) t(x+ y) = t(x) + t(y) for all x;y 2rn (2) t(cx) = ct(x) for all x 2rn and c2r. A linear transformation is a function t: Rn ↦ rm be a linear transformation.  linear transformation from $\r^n$ to $\r^m$.  a linear transformation $t$ between two vector spaces $\mathbb{r}^n$. What Does Rm Mean In Linear Algebra.
     
    
         
        From medium.com 
                    Linear Algebra 101 — Part 7 when symmetric by Sho Nakagome sho.jp Medium What Does Rm Mean In Linear Algebra  A linear transformation is a transformation t :    — determine if a linear transformation is onto or one to one.    — the span of a set of vectors \ (\mathbf v_1,\mathbf v_2,\ldots,\mathbf v_n\) is the set of all linear combinations. R n → r m satisfying. (1) t(x+ y) = t(x) + t(y) for all x;y 2rn (2). What Does Rm Mean In Linear Algebra.
     
    
         
        From www.chegg.com 
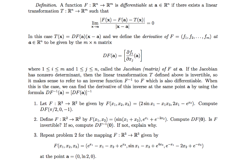
                    Solved Definition. A function F R" Rm is differentiable at a What Does Rm Mean In Linear Algebra   a linear transformation $t$ between two vector spaces $\mathbb{r}^n$ and $\mathbb{r}^m$, written $t:. A function $t:\r^n \to \r^m$ is called a linear transformation if.  n a matrix a 2 rm is a rectangular array of real numbers with m rows and n columns.    — this section has introduced vectors, linear combinations, and their connection to linear systems.. What Does Rm Mean In Linear Algebra.
     
    
         
        From www.showme.com 
                    Linear Algebra Sec4.6 Examples_01 Linear Algebra ShowMe What Does Rm Mean In Linear Algebra  There are two operations we can. A function $t:\r^n \to \r^m$ is called a linear transformation if. (1) t(x+ y) = t(x) + t(y) for all x;y 2rn (2) t(cx) = ct(x) for all x 2rn and c2r.    — the span of a set of vectors \ (\mathbf v_1,\mathbf v_2,\ldots,\mathbf v_n\) is the set of all linear combinations. R. What Does Rm Mean In Linear Algebra.
     
    
         
        From www.youtube.com 
                    Linear Algebra 14 Is R^2 a subspace of R^3 YouTube What Does Rm Mean In Linear Algebra   n a matrix a 2 rm is a rectangular array of real numbers with m rows and n columns. Rn ↦ rm be a linear transformation. A function $t:\r^n \to \r^m$ is called a linear transformation if. R n → r m satisfying. (1) t(x+ y) = t(x) + t(y) for all x;y 2rn (2) t(cx) = ct(x) for. What Does Rm Mean In Linear Algebra.
     
    
         
        From www.youtube.com 
                    Labtube(Linear Algebra) Equations for Planes in R^3 YouTube What Does Rm Mean In Linear Algebra  T ( u + v )= t ( u )+ t ( v ) t ( cu )= ct ( u ) for all. (1) t(x+ y) = t(x) + t(y) for all x;y 2rn (2) t(cx) = ct(x) for all x 2rn and c2r. Rn ↦ rm be a linear transformation.    — the span of a set of. What Does Rm Mean In Linear Algebra.
     
    
         
        From www.youtube.com 
                    Linear Algebra Example Problems Finding "A" of a Linear Transformation 1 YouTube What Does Rm Mean In Linear Algebra   a linear transformation $t$ between two vector spaces $\mathbb{r}^n$ and $\mathbb{r}^m$, written $t:.    — the span of a set of vectors \ (\mathbf v_1,\mathbf v_2,\ldots,\mathbf v_n\) is the set of all linear combinations.    — determine if a linear transformation is onto or one to one. Rn ↦ rm be a linear transformation. (1) t(x+ y) = t(x). What Does Rm Mean In Linear Algebra.
     
    
         
        From www.youtube.com 
                    Subspaces of Rn Linear Algebra Griti YouTube What Does Rm Mean In Linear Algebra   n a matrix a 2 rm is a rectangular array of real numbers with m rows and n columns. R n → r m satisfying. T ( u + v )= t ( u )+ t ( v ) t ( cu )= ct ( u ) for all. A linear transformation is a transformation t :    —. What Does Rm Mean In Linear Algebra.
     
    
         
        From www.youtube.com 
                    Linear Algebra 145, Basis and Dimension YouTube What Does Rm Mean In Linear Algebra  T ( u + v )= t ( u )+ t ( v ) t ( cu )= ct ( u ) for all.    — this section has introduced vectors, linear combinations, and their connection to linear systems. A function $t:\r^n \to \r^m$ is called a linear transformation if. A linear transformation is a function t:  n a. What Does Rm Mean In Linear Algebra.