Zinc Hydroxide Ksp . 133 rows chapter 26 appendix b: Zinc hydroxide zn (oh) 2 is an inorganic chemical compound. We hope they will prove usefull to you. Given the salt, what is x, the molar solubilty or the molarity of the. Wikipedia also notes for zinc hydroxide that the ksp = 3.0 ×10−17, so there is an inconsistency between the. The molar mass of zinc hydroxide is 99.424, so all your math checks out. Crc handbook of chemistry and. For ionic compounds with limited solubility in water, an. Below are the values of the ksp product constant for the most common salts. It also occurs naturally as 3 rare minerals: Solubility product constants near 25 °c. The equilibrium constant, ksp, for aqueous solutions of ionic compounds at 25°c. Ionic compound formula k sp. If there are any other salts.
from ar.inspiredpencil.com
The molar mass of zinc hydroxide is 99.424, so all your math checks out. 133 rows chapter 26 appendix b: For ionic compounds with limited solubility in water, an. We hope they will prove usefull to you. The equilibrium constant, ksp, for aqueous solutions of ionic compounds at 25°c. Ionic compound formula k sp. If there are any other salts. Solubility product constants near 25 °c. Given the salt, what is x, the molar solubilty or the molarity of the. Below are the values of the ksp product constant for the most common salts.
Zinc Hydroxide
Zinc Hydroxide Ksp Wikipedia also notes for zinc hydroxide that the ksp = 3.0 ×10−17, so there is an inconsistency between the. Crc handbook of chemistry and. The equilibrium constant, ksp, for aqueous solutions of ionic compounds at 25°c. The molar mass of zinc hydroxide is 99.424, so all your math checks out. It also occurs naturally as 3 rare minerals: For ionic compounds with limited solubility in water, an. If there are any other salts. 133 rows chapter 26 appendix b: Wikipedia also notes for zinc hydroxide that the ksp = 3.0 ×10−17, so there is an inconsistency between the. Ionic compound formula k sp. Zinc hydroxide zn (oh) 2 is an inorganic chemical compound. Below are the values of the ksp product constant for the most common salts. Given the salt, what is x, the molar solubilty or the molarity of the. We hope they will prove usefull to you. Solubility product constants near 25 °c.
From www.youtube.com
Solubility equilibrium Ksp zinc hydroxide YouTube Zinc Hydroxide Ksp Solubility product constants near 25 °c. It also occurs naturally as 3 rare minerals: Ionic compound formula k sp. Zinc hydroxide zn (oh) 2 is an inorganic chemical compound. Wikipedia also notes for zinc hydroxide that the ksp = 3.0 ×10−17, so there is an inconsistency between the. We hope they will prove usefull to you. For ionic compounds with. Zinc Hydroxide Ksp.
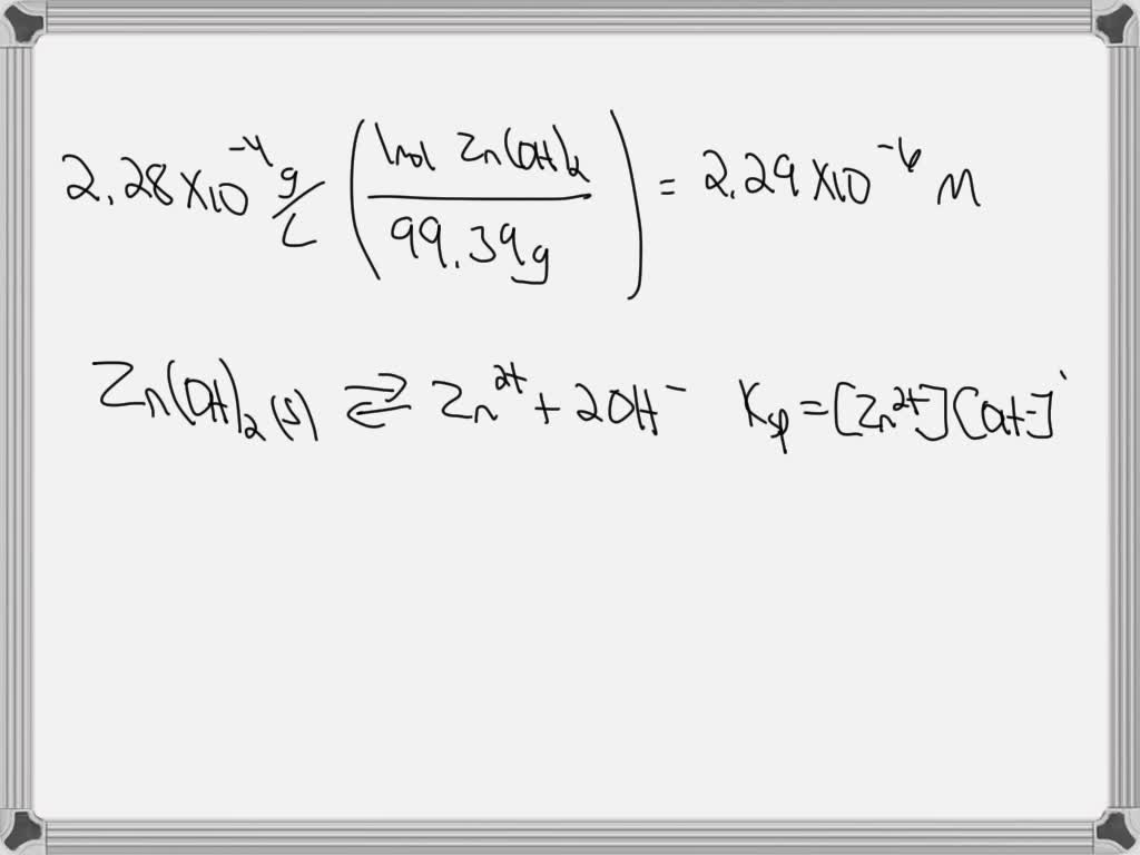
From www.nagwa.com
Question Video Identifying the Correct Chemical Equation for the Zinc Hydroxide Ksp The molar mass of zinc hydroxide is 99.424, so all your math checks out. It also occurs naturally as 3 rare minerals: If there are any other salts. Below are the values of the ksp product constant for the most common salts. We hope they will prove usefull to you. Crc handbook of chemistry and. For ionic compounds with limited. Zinc Hydroxide Ksp.
From fineartamerica.com
Zinc Hydroxide Precipitate Photograph by Andrew Lambert Photography Zinc Hydroxide Ksp Crc handbook of chemistry and. Below are the values of the ksp product constant for the most common salts. Zinc hydroxide zn (oh) 2 is an inorganic chemical compound. For ionic compounds with limited solubility in water, an. Solubility product constants near 25 °c. Wikipedia also notes for zinc hydroxide that the ksp = 3.0 ×10−17, so there is an. Zinc Hydroxide Ksp.
From www.numerade.com
SOLVED 1) What is the molar solubility of zinc hydroxide at 25 C Zinc Hydroxide Ksp The molar mass of zinc hydroxide is 99.424, so all your math checks out. 133 rows chapter 26 appendix b: Below are the values of the ksp product constant for the most common salts. The equilibrium constant, ksp, for aqueous solutions of ionic compounds at 25°c. Wikipedia also notes for zinc hydroxide that the ksp = 3.0 ×10−17, so there. Zinc Hydroxide Ksp.
From www.slideserve.com
PPT Zn Solubility PowerPoint Presentation, free download ID370438 Zinc Hydroxide Ksp The equilibrium constant, ksp, for aqueous solutions of ionic compounds at 25°c. Wikipedia also notes for zinc hydroxide that the ksp = 3.0 ×10−17, so there is an inconsistency between the. Given the salt, what is x, the molar solubilty or the molarity of the. Ionic compound formula k sp. Zinc hydroxide zn (oh) 2 is an inorganic chemical compound.. Zinc Hydroxide Ksp.
From www.toppr.com
The solubility product of Zn(OH)_{2} is 10 25^{circ}C. What would be Zinc Hydroxide Ksp It also occurs naturally as 3 rare minerals: Ionic compound formula k sp. Wikipedia also notes for zinc hydroxide that the ksp = 3.0 ×10−17, so there is an inconsistency between the. Given the salt, what is x, the molar solubilty or the molarity of the. If there are any other salts. We hope they will prove usefull to you.. Zinc Hydroxide Ksp.
From www.chegg.com
Solved The Ksp of zinc hydroxide, Zn(OH)2, is 3.00×1017. Zinc Hydroxide Ksp The molar mass of zinc hydroxide is 99.424, so all your math checks out. We hope they will prove usefull to you. Below are the values of the ksp product constant for the most common salts. Solubility product constants near 25 °c. Ionic compound formula k sp. 133 rows chapter 26 appendix b: The equilibrium constant, ksp, for aqueous solutions. Zinc Hydroxide Ksp.
From www.numerade.com
SOLVED The Ksp for zinc hydroxide at 25 °C is 1.7 x 1017. What is the Zinc Hydroxide Ksp 133 rows chapter 26 appendix b: Crc handbook of chemistry and. Ionic compound formula k sp. If there are any other salts. Given the salt, what is x, the molar solubilty or the molarity of the. For ionic compounds with limited solubility in water, an. Solubility product constants near 25 °c. It also occurs naturally as 3 rare minerals: The. Zinc Hydroxide Ksp.
From www.chegg.com
Solved The Ksp of zinc hydroxide, Zn(OH)2, is 3.00×1017. Zinc Hydroxide Ksp If there are any other salts. We hope they will prove usefull to you. It also occurs naturally as 3 rare minerals: Given the salt, what is x, the molar solubilty or the molarity of the. Solubility product constants near 25 °c. The molar mass of zinc hydroxide is 99.424, so all your math checks out. Crc handbook of chemistry. Zinc Hydroxide Ksp.
From www.numerade.com
SOLVED The Ksp of zinc hydroxide, Zn(OH)2, is 3.00 × 10^17. Calculate Zinc Hydroxide Ksp Crc handbook of chemistry and. Given the salt, what is x, the molar solubilty or the molarity of the. If there are any other salts. Zinc hydroxide zn (oh) 2 is an inorganic chemical compound. The molar mass of zinc hydroxide is 99.424, so all your math checks out. Wikipedia also notes for zinc hydroxide that the ksp = 3.0. Zinc Hydroxide Ksp.
From www.slideserve.com
PPT K sp = [M x+ ] [N x ] PowerPoint Presentation, free download Zinc Hydroxide Ksp Given the salt, what is x, the molar solubilty or the molarity of the. The equilibrium constant, ksp, for aqueous solutions of ionic compounds at 25°c. Solubility product constants near 25 °c. For ionic compounds with limited solubility in water, an. Below are the values of the ksp product constant for the most common salts. It also occurs naturally as. Zinc Hydroxide Ksp.
From www.researchgate.net
(a) FTIR profile of Zn hydroxide and (b) Typical TG/DTA curves, XPS Zinc Hydroxide Ksp For ionic compounds with limited solubility in water, an. Crc handbook of chemistry and. Wikipedia also notes for zinc hydroxide that the ksp = 3.0 ×10−17, so there is an inconsistency between the. Given the salt, what is x, the molar solubilty or the molarity of the. The equilibrium constant, ksp, for aqueous solutions of ionic compounds at 25°c. Solubility. Zinc Hydroxide Ksp.
From slidetodoc.com
Complex Ion Formation transition metals tend to be Zinc Hydroxide Ksp Below are the values of the ksp product constant for the most common salts. Given the salt, what is x, the molar solubilty or the molarity of the. If there are any other salts. The molar mass of zinc hydroxide is 99.424, so all your math checks out. Zinc hydroxide zn (oh) 2 is an inorganic chemical compound. We hope. Zinc Hydroxide Ksp.
From whatsinsight.org
Zinc Hydroxide Structure, Properties, and Uses What's Insight Zinc Hydroxide Ksp The molar mass of zinc hydroxide is 99.424, so all your math checks out. Crc handbook of chemistry and. It also occurs naturally as 3 rare minerals: Zinc hydroxide zn (oh) 2 is an inorganic chemical compound. 133 rows chapter 26 appendix b: Below are the values of the ksp product constant for the most common salts. Given the salt,. Zinc Hydroxide Ksp.
From pubs.acs.org
Layered Zinc Hydroxide Dihydrate, Zn5(OH)10·2H2O, from Hydrothermal Zinc Hydroxide Ksp Crc handbook of chemistry and. Zinc hydroxide zn (oh) 2 is an inorganic chemical compound. If there are any other salts. Below are the values of the ksp product constant for the most common salts. It also occurs naturally as 3 rare minerals: We hope they will prove usefull to you. Wikipedia also notes for zinc hydroxide that the ksp. Zinc Hydroxide Ksp.
From www.meritnation.com
Calculate the ph at which zinc hydroxide just start to precipitate from Zinc Hydroxide Ksp If there are any other salts. Solubility product constants near 25 °c. Crc handbook of chemistry and. Zinc hydroxide zn (oh) 2 is an inorganic chemical compound. It also occurs naturally as 3 rare minerals: Wikipedia also notes for zinc hydroxide that the ksp = 3.0 ×10−17, so there is an inconsistency between the. We hope they will prove usefull. Zinc Hydroxide Ksp.
From www.chegg.com
Solved Question 14 4 pts X Ksp for zinc hydroxide, Zn(OH)2, Zinc Hydroxide Ksp Ionic compound formula k sp. For ionic compounds with limited solubility in water, an. Wikipedia also notes for zinc hydroxide that the ksp = 3.0 ×10−17, so there is an inconsistency between the. It also occurs naturally as 3 rare minerals: Given the salt, what is x, the molar solubilty or the molarity of the. The molar mass of zinc. Zinc Hydroxide Ksp.
From slideplayer.com
Solubility Equilibrium ppt download Zinc Hydroxide Ksp Below are the values of the ksp product constant for the most common salts. Zinc hydroxide zn (oh) 2 is an inorganic chemical compound. Solubility product constants near 25 °c. Ionic compound formula k sp. If there are any other salts. The molar mass of zinc hydroxide is 99.424, so all your math checks out. It also occurs naturally as. Zinc Hydroxide Ksp.
From www.youtube.com
How to write the Equation for Cr(OH)3 + H2O YouTube Zinc Hydroxide Ksp Below are the values of the ksp product constant for the most common salts. It also occurs naturally as 3 rare minerals: Wikipedia also notes for zinc hydroxide that the ksp = 3.0 ×10−17, so there is an inconsistency between the. Given the salt, what is x, the molar solubilty or the molarity of the. Zinc hydroxide zn (oh) 2. Zinc Hydroxide Ksp.
From www.chegg.com
Solved Question 14 4 pts X Ksp for zinc hydroxide, Zn(OH)2, Zinc Hydroxide Ksp It also occurs naturally as 3 rare minerals: Given the salt, what is x, the molar solubilty or the molarity of the. Ionic compound formula k sp. Zinc hydroxide zn (oh) 2 is an inorganic chemical compound. Solubility product constants near 25 °c. The molar mass of zinc hydroxide is 99.424, so all your math checks out. If there are. Zinc Hydroxide Ksp.
From www.chegg.com
Chemistry Archive November 05, 2015 Zinc Hydroxide Ksp The molar mass of zinc hydroxide is 99.424, so all your math checks out. Ionic compound formula k sp. If there are any other salts. Below are the values of the ksp product constant for the most common salts. Crc handbook of chemistry and. Zinc hydroxide zn (oh) 2 is an inorganic chemical compound. It also occurs naturally as 3. Zinc Hydroxide Ksp.
From www.chegg.com
Solved 2) Calculate the molar solubility of zinc hydroxide Zinc Hydroxide Ksp If there are any other salts. The molar mass of zinc hydroxide is 99.424, so all your math checks out. Ionic compound formula k sp. Crc handbook of chemistry and. Zinc hydroxide zn (oh) 2 is an inorganic chemical compound. It also occurs naturally as 3 rare minerals: The equilibrium constant, ksp, for aqueous solutions of ionic compounds at 25°c.. Zinc Hydroxide Ksp.
From www.coursehero.com
[Solved] Zinc hydroxide has a Ksp value of 3 x 1017. If 10.0 g of zinc Zinc Hydroxide Ksp Ionic compound formula k sp. We hope they will prove usefull to you. 133 rows chapter 26 appendix b: It also occurs naturally as 3 rare minerals: Given the salt, what is x, the molar solubilty or the molarity of the. Wikipedia also notes for zinc hydroxide that the ksp = 3.0 ×10−17, so there is an inconsistency between the.. Zinc Hydroxide Ksp.
From www.numerade.com
Use solubility to calculate Ksp The solubility of Zn(OH)2 is measured Zinc Hydroxide Ksp 133 rows chapter 26 appendix b: Wikipedia also notes for zinc hydroxide that the ksp = 3.0 ×10−17, so there is an inconsistency between the. The molar mass of zinc hydroxide is 99.424, so all your math checks out. We hope they will prove usefull to you. For ionic compounds with limited solubility in water, an. Crc handbook of chemistry. Zinc Hydroxide Ksp.
From www.numerade.com
SOLVED The Ksp of zinc hydroxide, Zn(OH)2, is 3.00 x 10^17. Calculate Zinc Hydroxide Ksp Wikipedia also notes for zinc hydroxide that the ksp = 3.0 ×10−17, so there is an inconsistency between the. The equilibrium constant, ksp, for aqueous solutions of ionic compounds at 25°c. It also occurs naturally as 3 rare minerals: If there are any other salts. Zinc hydroxide zn (oh) 2 is an inorganic chemical compound. Below are the values of. Zinc Hydroxide Ksp.
From ar.inspiredpencil.com
Zinc Hydroxide Zinc Hydroxide Ksp Given the salt, what is x, the molar solubilty or the molarity of the. Below are the values of the ksp product constant for the most common salts. It also occurs naturally as 3 rare minerals: 133 rows chapter 26 appendix b: We hope they will prove usefull to you. Wikipedia also notes for zinc hydroxide that the ksp =. Zinc Hydroxide Ksp.
From www.chegg.com
Solved 1011 Use activities to calculate the molar Zinc Hydroxide Ksp Wikipedia also notes for zinc hydroxide that the ksp = 3.0 ×10−17, so there is an inconsistency between the. 133 rows chapter 26 appendix b: It also occurs naturally as 3 rare minerals: Solubility product constants near 25 °c. Below are the values of the ksp product constant for the most common salts. The equilibrium constant, ksp, for aqueous solutions. Zinc Hydroxide Ksp.
From metafinechem.com
Information Zinc Hydroxide Ksp We hope they will prove usefull to you. Wikipedia also notes for zinc hydroxide that the ksp = 3.0 ×10−17, so there is an inconsistency between the. 133 rows chapter 26 appendix b: Zinc hydroxide zn (oh) 2 is an inorganic chemical compound. Ionic compound formula k sp. Below are the values of the ksp product constant for the most. Zinc Hydroxide Ksp.
From www.slideserve.com
PPT Chapter 19 PowerPoint Presentation, free download ID4347161 Zinc Hydroxide Ksp Solubility product constants near 25 °c. Zinc hydroxide zn (oh) 2 is an inorganic chemical compound. We hope they will prove usefull to you. 133 rows chapter 26 appendix b: Below are the values of the ksp product constant for the most common salts. It also occurs naturally as 3 rare minerals: Wikipedia also notes for zinc hydroxide that the. Zinc Hydroxide Ksp.
From www.bartleby.com
Answered Which acid is most likely to reduce the… bartleby Zinc Hydroxide Ksp It also occurs naturally as 3 rare minerals: If there are any other salts. Wikipedia also notes for zinc hydroxide that the ksp = 3.0 ×10−17, so there is an inconsistency between the. 133 rows chapter 26 appendix b: Below are the values of the ksp product constant for the most common salts. Zinc hydroxide zn (oh) 2 is an. Zinc Hydroxide Ksp.
From www.thoughtco.com
Names of 10 Bases With Chemical Structures and Formulas Zinc Hydroxide Ksp It also occurs naturally as 3 rare minerals: Given the salt, what is x, the molar solubilty or the molarity of the. Solubility product constants near 25 °c. The molar mass of zinc hydroxide is 99.424, so all your math checks out. Zinc hydroxide zn (oh) 2 is an inorganic chemical compound. For ionic compounds with limited solubility in water,. Zinc Hydroxide Ksp.
From www.numerade.com
SOLVED Calculate the molar solubility of zinc hydroxide, Zn(OH)2 at Zinc Hydroxide Ksp The molar mass of zinc hydroxide is 99.424, so all your math checks out. Below are the values of the ksp product constant for the most common salts. 133 rows chapter 26 appendix b: Solubility product constants near 25 °c. For ionic compounds with limited solubility in water, an. Wikipedia also notes for zinc hydroxide that the ksp = 3.0. Zinc Hydroxide Ksp.
From slideplayer.com
Exam Review Equilibrium. ppt download Zinc Hydroxide Ksp Crc handbook of chemistry and. The equilibrium constant, ksp, for aqueous solutions of ionic compounds at 25°c. Ionic compound formula k sp. 133 rows chapter 26 appendix b: It also occurs naturally as 3 rare minerals: Given the salt, what is x, the molar solubilty or the molarity of the. Wikipedia also notes for zinc hydroxide that the ksp =. Zinc Hydroxide Ksp.
From www.slideserve.com
PPT Chapter 15 PowerPoint Presentation, free download ID3279134 Zinc Hydroxide Ksp Crc handbook of chemistry and. Given the salt, what is x, the molar solubilty or the molarity of the. We hope they will prove usefull to you. If there are any other salts. The equilibrium constant, ksp, for aqueous solutions of ionic compounds at 25°c. Zinc hydroxide zn (oh) 2 is an inorganic chemical compound. For ionic compounds with limited. Zinc Hydroxide Ksp.
From www.chegg.com
Solved The Ksp of zinc hydroxide, Zn(OH)2, is 1.20×1017 Zinc Hydroxide Ksp Ionic compound formula k sp. The equilibrium constant, ksp, for aqueous solutions of ionic compounds at 25°c. Wikipedia also notes for zinc hydroxide that the ksp = 3.0 ×10−17, so there is an inconsistency between the. 133 rows chapter 26 appendix b: Zinc hydroxide zn (oh) 2 is an inorganic chemical compound. It also occurs naturally as 3 rare minerals:. Zinc Hydroxide Ksp.