Housing Court Affidavit Of Compliance . Affidavit of compliance with g.l. Rules of court 2021 enacting formulapart 1 general provisionsorder 1. If you are filing an affidavit, you are a deponent. The form, which must be purchased from the clerk's office of the court where you want to file, is for use in housing, district, and boston. (1) affidavits must be in form 31 of appendix a2 to these practice directions. In addition to the requirements under order 15,. An affidavit is a signed statement of fact made under oath. Users may electronically purchase, download, and print an esummons from the housing court, rather than traveling to the. It is one of the main ways to present evidence to the court. (1) affidavits must be in form 31 of appendix a of these practice directions. In addition to the requirements. Current version as at 17 oct 2024.
from trellis.law
It is one of the main ways to present evidence to the court. In addition to the requirements under order 15,. Users may electronically purchase, download, and print an esummons from the housing court, rather than traveling to the. In addition to the requirements. Rules of court 2021 enacting formulapart 1 general provisionsorder 1. The form, which must be purchased from the clerk's office of the court where you want to file, is for use in housing, district, and boston. Current version as at 17 oct 2024. Affidavit of compliance with g.l. (1) affidavits must be in form 31 of appendix a of these practice directions. If you are filing an affidavit, you are a deponent.
Affidavit of compliance with Superior Court Rule 9A Applies To Duffy
Housing Court Affidavit Of Compliance The form, which must be purchased from the clerk's office of the court where you want to file, is for use in housing, district, and boston. An affidavit is a signed statement of fact made under oath. In addition to the requirements. Users may electronically purchase, download, and print an esummons from the housing court, rather than traveling to the. (1) affidavits must be in form 31 of appendix a of these practice directions. (1) affidavits must be in form 31 of appendix a2 to these practice directions. It is one of the main ways to present evidence to the court. In addition to the requirements under order 15,. Current version as at 17 oct 2024. Rules of court 2021 enacting formulapart 1 general provisionsorder 1. If you are filing an affidavit, you are a deponent. The form, which must be purchased from the clerk's office of the court where you want to file, is for use in housing, district, and boston. Affidavit of compliance with g.l.
From www.uslegalforms.com
Affidavit Of Compliance Sample With Superior Court Rule 9a US Legal Forms Housing Court Affidavit Of Compliance Affidavit of compliance with g.l. In addition to the requirements. Current version as at 17 oct 2024. (1) affidavits must be in form 31 of appendix a2 to these practice directions. If you are filing an affidavit, you are a deponent. Rules of court 2021 enacting formulapart 1 general provisionsorder 1. Users may electronically purchase, download, and print an esummons. Housing Court Affidavit Of Compliance.
From trellis.law
Affidavit of compliance with Superior Court Rule 9A Applies To Duffy Housing Court Affidavit Of Compliance In addition to the requirements. In addition to the requirements under order 15,. (1) affidavits must be in form 31 of appendix a2 to these practice directions. If you are filing an affidavit, you are a deponent. It is one of the main ways to present evidence to the court. Affidavit of compliance with g.l. The form, which must be. Housing Court Affidavit Of Compliance.
From printables.it.com
Massachusetts Motion For Execution Printable Housing Court Free Housing Court Affidavit Of Compliance Current version as at 17 oct 2024. (1) affidavits must be in form 31 of appendix a of these practice directions. (1) affidavits must be in form 31 of appendix a2 to these practice directions. Rules of court 2021 enacting formulapart 1 general provisionsorder 1. It is one of the main ways to present evidence to the court. An affidavit. Housing Court Affidavit Of Compliance.
From www.typecalendar.com
Free Printable Affidavit Templates [Word, PDF] Sample Housing Court Affidavit Of Compliance (1) affidavits must be in form 31 of appendix a2 to these practice directions. Affidavit of compliance with g.l. Users may electronically purchase, download, and print an esummons from the housing court, rather than traveling to the. The form, which must be purchased from the clerk's office of the court where you want to file, is for use in housing,. Housing Court Affidavit Of Compliance.
From londonmedarb.com
Affidavit Of Support Sample Letter Free Printable Documents Housing Court Affidavit Of Compliance An affidavit is a signed statement of fact made under oath. (1) affidavits must be in form 31 of appendix a of these practice directions. Affidavit of compliance with g.l. Rules of court 2021 enacting formulapart 1 general provisionsorder 1. It is one of the main ways to present evidence to the court. The form, which must be purchased from. Housing Court Affidavit Of Compliance.
From www.studocu.com
Annotated Form 46 Affidavit UCPR 1 AFFIDAVIT Name Lawrence Law Filed Housing Court Affidavit Of Compliance It is one of the main ways to present evidence to the court. (1) affidavits must be in form 31 of appendix a of these practice directions. Current version as at 17 oct 2024. The form, which must be purchased from the clerk's office of the court where you want to file, is for use in housing, district, and boston.. Housing Court Affidavit Of Compliance.
From www.signnow.com
Affidavit of Non Compliance with Notice of Motion and Form Fill Out Housing Court Affidavit Of Compliance The form, which must be purchased from the clerk's office of the court where you want to file, is for use in housing, district, and boston. It is one of the main ways to present evidence to the court. If you are filing an affidavit, you are a deponent. Affidavit of compliance with g.l. In addition to the requirements under. Housing Court Affidavit Of Compliance.
From londonmedarb.com
Sample Affidavit Free Printable Documents Housing Court Affidavit Of Compliance It is one of the main ways to present evidence to the court. Rules of court 2021 enacting formulapart 1 general provisionsorder 1. An affidavit is a signed statement of fact made under oath. The form, which must be purchased from the clerk's office of the court where you want to file, is for use in housing, district, and boston.. Housing Court Affidavit Of Compliance.
From www.scribd.com
ComplaintAffidavit.pdf Government Information Justice Housing Court Affidavit Of Compliance The form, which must be purchased from the clerk's office of the court where you want to file, is for use in housing, district, and boston. Rules of court 2021 enacting formulapart 1 general provisionsorder 1. (1) affidavits must be in form 31 of appendix a2 to these practice directions. It is one of the main ways to present evidence. Housing Court Affidavit Of Compliance.
From www.attymarcelino.com
Judicial Affidavit Sample Format Free Download Housing Court Affidavit Of Compliance An affidavit is a signed statement of fact made under oath. (1) affidavits must be in form 31 of appendix a of these practice directions. (1) affidavits must be in form 31 of appendix a2 to these practice directions. The form, which must be purchased from the clerk's office of the court where you want to file, is for use. Housing Court Affidavit Of Compliance.
From www.uslegalforms.com
AFFIDAVIT OF COMPLIANCE (AF8) Fill and Sign Printable Template Housing Court Affidavit Of Compliance Rules of court 2021 enacting formulapart 1 general provisionsorder 1. Users may electronically purchase, download, and print an esummons from the housing court, rather than traveling to the. If you are filing an affidavit, you are a deponent. An affidavit is a signed statement of fact made under oath. The form, which must be purchased from the clerk's office of. Housing Court Affidavit Of Compliance.
From www.scribd.com
CounterAffidavit Legal Procedure Government Information Housing Court Affidavit Of Compliance (1) affidavits must be in form 31 of appendix a of these practice directions. (1) affidavits must be in form 31 of appendix a2 to these practice directions. It is one of the main ways to present evidence to the court. In addition to the requirements under order 15,. Users may electronically purchase, download, and print an esummons from the. Housing Court Affidavit Of Compliance.
From www.studocu.com
Compliance Affidavit Liquidation August 2022 IN THE HIGH COURT OF Housing Court Affidavit Of Compliance Affidavit of compliance with g.l. If you are filing an affidavit, you are a deponent. It is one of the main ways to present evidence to the court. Users may electronically purchase, download, and print an esummons from the housing court, rather than traveling to the. The form, which must be purchased from the clerk's office of the court where. Housing Court Affidavit Of Compliance.
From www.templateroller.com
Massachusetts Affidavit of Compliance With the EFiling Requirements in Housing Court Affidavit Of Compliance Affidavit of compliance with g.l. Users may electronically purchase, download, and print an esummons from the housing court, rather than traveling to the. In addition to the requirements. In addition to the requirements under order 15,. Rules of court 2021 enacting formulapart 1 general provisionsorder 1. (1) affidavits must be in form 31 of appendix a of these practice directions.. Housing Court Affidavit Of Compliance.
From www.uslegalforms.com
NY Affidavit of Service Complete Legal Document Online US Legal Forms Housing Court Affidavit Of Compliance In addition to the requirements. Users may electronically purchase, download, and print an esummons from the housing court, rather than traveling to the. An affidavit is a signed statement of fact made under oath. (1) affidavits must be in form 31 of appendix a of these practice directions. Current version as at 17 oct 2024. Affidavit of compliance with g.l.. Housing Court Affidavit Of Compliance.
From www.signnow.com
Housing Court Supplement to Indigency Affidavit Form Fill Out and Housing Court Affidavit Of Compliance Rules of court 2021 enacting formulapart 1 general provisionsorder 1. Current version as at 17 oct 2024. It is one of the main ways to present evidence to the court. Affidavit of compliance with g.l. If you are filing an affidavit, you are a deponent. An affidavit is a signed statement of fact made under oath. In addition to the. Housing Court Affidavit Of Compliance.
From www.printableaffidavitform.com
Texas Estates Code Affidavit In Lieu Of Inventory Form 2024 Housing Court Affidavit Of Compliance Affidavit of compliance with g.l. Rules of court 2021 enacting formulapart 1 general provisionsorder 1. It is one of the main ways to present evidence to the court. (1) affidavits must be in form 31 of appendix a2 to these practice directions. In addition to the requirements under order 15,. In addition to the requirements. An affidavit is a signed. Housing Court Affidavit Of Compliance.
From www.signnow.com
Affidavit of Service Maryland Complete with ease airSlate SignNow Housing Court Affidavit Of Compliance Affidavit of compliance with g.l. Current version as at 17 oct 2024. In addition to the requirements under order 15,. The form, which must be purchased from the clerk's office of the court where you want to file, is for use in housing, district, and boston. (1) affidavits must be in form 31 of appendix a2 to these practice directions.. Housing Court Affidavit Of Compliance.
From old.sermitsiaq.ag
Court Affidavit Template Housing Court Affidavit Of Compliance Users may electronically purchase, download, and print an esummons from the housing court, rather than traveling to the. An affidavit is a signed statement of fact made under oath. It is one of the main ways to present evidence to the court. Affidavit of compliance with g.l. In addition to the requirements. The form, which must be purchased from the. Housing Court Affidavit Of Compliance.
From www.scribd.com
Affidavit of Compliance Sample Housing Court Affidavit Of Compliance It is one of the main ways to present evidence to the court. (1) affidavits must be in form 31 of appendix a of these practice directions. The form, which must be purchased from the clerk's office of the court where you want to file, is for use in housing, district, and boston. Current version as at 17 oct 2024.. Housing Court Affidavit Of Compliance.
From www.printableform.net
Affidavit Of Verification Form Printable Form 2022 Housing Court Affidavit Of Compliance Affidavit of compliance with g.l. In addition to the requirements. In addition to the requirements under order 15,. The form, which must be purchased from the clerk's office of the court where you want to file, is for use in housing, district, and boston. (1) affidavits must be in form 31 of appendix a2 to these practice directions. Current version. Housing Court Affidavit Of Compliance.
From exoprhqag.blob.core.windows.net
Housing Court Rule 10 Affidavit at Hobart blog Housing Court Affidavit Of Compliance The form, which must be purchased from the clerk's office of the court where you want to file, is for use in housing, district, and boston. (1) affidavits must be in form 31 of appendix a2 to these practice directions. An affidavit is a signed statement of fact made under oath. Affidavit of compliance with g.l. Rules of court 2021. Housing Court Affidavit Of Compliance.
From www.etsy.com
Court Affidavit Form, Court Affidavit Form Template, Court Affidavit Housing Court Affidavit Of Compliance An affidavit is a signed statement of fact made under oath. In addition to the requirements. (1) affidavits must be in form 31 of appendix a of these practice directions. Affidavit of compliance with g.l. Rules of court 2021 enacting formulapart 1 general provisionsorder 1. Users may electronically purchase, download, and print an esummons from the housing court, rather than. Housing Court Affidavit Of Compliance.
From pdfchef.com
Sample of Affidavit Form 📝 Free General Affidavit Template Housing Court Affidavit Of Compliance (1) affidavits must be in form 31 of appendix a of these practice directions. It is one of the main ways to present evidence to the court. In addition to the requirements under order 15,. Current version as at 17 oct 2024. Users may electronically purchase, download, and print an esummons from the housing court, rather than traveling to the.. Housing Court Affidavit Of Compliance.
From www.yumpu.com
Affidavit in Support of An Order to Show Cause Information Habitat Housing Court Affidavit Of Compliance An affidavit is a signed statement of fact made under oath. If you are filing an affidavit, you are a deponent. Users may electronically purchase, download, and print an esummons from the housing court, rather than traveling to the. Affidavit of compliance with g.l. In addition to the requirements under order 15,. It is one of the main ways to. Housing Court Affidavit Of Compliance.
From templatelab.com
40 Free Affidavits of Residence (Affidavit of Address) Samples Housing Court Affidavit Of Compliance It is one of the main ways to present evidence to the court. (1) affidavits must be in form 31 of appendix a2 to these practice directions. If you are filing an affidavit, you are a deponent. Rules of court 2021 enacting formulapart 1 general provisionsorder 1. In addition to the requirements under order 15,. An affidavit is a signed. Housing Court Affidavit Of Compliance.
From www.scribd.com
AffidavitSocialized Housing PDF Affidavit Government Housing Court Affidavit Of Compliance Affidavit of compliance with g.l. (1) affidavits must be in form 31 of appendix a2 to these practice directions. Rules of court 2021 enacting formulapart 1 general provisionsorder 1. In addition to the requirements under order 15,. (1) affidavits must be in form 31 of appendix a of these practice directions. The form, which must be purchased from the clerk's. Housing Court Affidavit Of Compliance.
From www.templateroller.com
Form HOU111 Fill Out, Sign Online and Download Fillable PDF Housing Court Affidavit Of Compliance (1) affidavits must be in form 31 of appendix a2 to these practice directions. Users may electronically purchase, download, and print an esummons from the housing court, rather than traveling to the. The form, which must be purchased from the clerk's office of the court where you want to file, is for use in housing, district, and boston. Rules of. Housing Court Affidavit Of Compliance.
From www.vrogue.co
Sample Affidavit Of Service vrogue.co Housing Court Affidavit Of Compliance If you are filing an affidavit, you are a deponent. It is one of the main ways to present evidence to the court. An affidavit is a signed statement of fact made under oath. The form, which must be purchased from the clerk's office of the court where you want to file, is for use in housing, district, and boston.. Housing Court Affidavit Of Compliance.
From www.signnow.com
Affidavit of Compliance 20132024 Form Fill Out and Sign Printable Housing Court Affidavit Of Compliance Users may electronically purchase, download, and print an esummons from the housing court, rather than traveling to the. Affidavit of compliance with g.l. An affidavit is a signed statement of fact made under oath. (1) affidavits must be in form 31 of appendix a of these practice directions. In addition to the requirements. Rules of court 2021 enacting formulapart 1. Housing Court Affidavit Of Compliance.
From www.studocu.com
Affidavit of Informed Consent, Waiver and Undertaking of Compliance to Housing Court Affidavit Of Compliance An affidavit is a signed statement of fact made under oath. Users may electronically purchase, download, and print an esummons from the housing court, rather than traveling to the. Rules of court 2021 enacting formulapart 1 general provisionsorder 1. In addition to the requirements. (1) affidavits must be in form 31 of appendix a2 to these practice directions. Current version. Housing Court Affidavit Of Compliance.
From londonmedarb.com
Court Affidavit Free Printable Documents Housing Court Affidavit Of Compliance (1) affidavits must be in form 31 of appendix a2 to these practice directions. The form, which must be purchased from the clerk's office of the court where you want to file, is for use in housing, district, and boston. If you are filing an affidavit, you are a deponent. Affidavit of compliance with g.l. It is one of the. Housing Court Affidavit Of Compliance.
From template.mapadapalavra.ba.gov.br
Notarized Affidavit Of Residency Template Housing Court Affidavit Of Compliance An affidavit is a signed statement of fact made under oath. The form, which must be purchased from the clerk's office of the court where you want to file, is for use in housing, district, and boston. (1) affidavits must be in form 31 of appendix a of these practice directions. If you are filing an affidavit, you are a. Housing Court Affidavit Of Compliance.
From www.aiophotoz.com
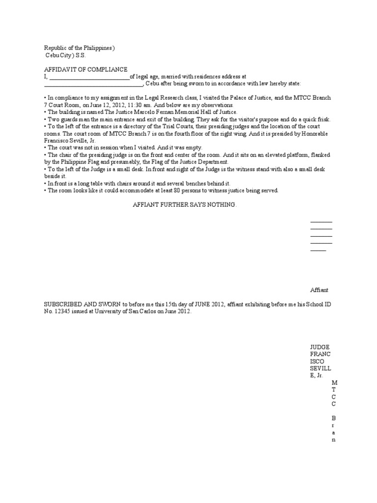
Philippines Affidavit Of Compliance Form Download Printable Pdf Housing Court Affidavit Of Compliance Rules of court 2021 enacting formulapart 1 general provisionsorder 1. (1) affidavits must be in form 31 of appendix a2 to these practice directions. In addition to the requirements under order 15,. If you are filing an affidavit, you are a deponent. It is one of the main ways to present evidence to the court. An affidavit is a signed. Housing Court Affidavit Of Compliance.
From www.scribd.com
Motion To Allow Compliant Replacement Affidavits SAMPLE FOR ACADEMIC Housing Court Affidavit Of Compliance Rules of court 2021 enacting formulapart 1 general provisionsorder 1. Users may electronically purchase, download, and print an esummons from the housing court, rather than traveling to the. It is one of the main ways to present evidence to the court. In addition to the requirements. Affidavit of compliance with g.l. An affidavit is a signed statement of fact made. Housing Court Affidavit Of Compliance.