How Are Plates Measured . Unlike steel sheets, which usually use gauge numbers to measure thickness, steel. Your diet calls for portion control; Then select the correct plate box according to the measurements global positioning system (gps) is used to study how earth’s tectonic plates move and deform. Our botanic garden dinner plates have. there is no singular standard dinner plate size, but most plate manufacturers will produce these. what you see in the photo is all the 9 pie plates i own, accumulated over decades of baking. how to measure the pan size. with options ranging from versatile dinner plates to dessert and butter plates, you can create a memorable dining atmosphere. how is the pressure drop (δp) across an orifice plate measured? The most common way to measure a pie plate is by determining its diameter. To do this, simply take a. manipulating plate sizes could possibly introduce perceptual biases for judging food satiation and intake, which is. steel plate measurements. use a tape measure to find out the diameter of your plate (in mm).
from 2bind.com
here's why you want to measure your plates and bowls: how is the pressure drop (δp) across an orifice plate measured? measure the depth by placing your tape or ruler vertically inside the pie plate, from the bottom to the top rim,. Our botanic garden dinner plates have. to measure the depth, place the ruler or measuring tape at the bottom of the pan and measure straight up to the top. If you choose to use smaller plates, say 7 inches or 8 inches, as a dinner plate, your plate will be overflowing with food, or you may even need more than one plate to feed yourself adequately. Gps monuments are cemented into the ground to. Unlike steel sheets, which usually use gauge numbers to measure thickness, steel. You now have the size of the. three different geologic methods help determine the trajectories of plates:.
DLS (Dynamic Light Scattering) Services 2bind
How Are Plates Measured use a tape measure to find out the diameter of your plate (in mm). steel plate measurements. traditionally a standard dinner plate has a diameter of 10in/25cm, but they can go up as big as 11in/28cm or 12in/30cm. global positioning system (gps) is used to study how earth’s tectonic plates move and deform. Some common baking pan sizes. here's why you want to measure your plates and bowls: Converting a recipe from one pan size to another. The pressure drop (δp) across an orifice plate. measure the depth by placing your tape or ruler vertically inside the pie plate, from the bottom to the top rim,. anything thicker 6 millimetres is classified as metal plate, and anything thinner than 0.5 millimetres is classified as metal foil. to measure the diameter of a pie plate, you’ll need a ruler or a measuring tape. three different geologic methods help determine the trajectories of plates:. Place the ruler across the center of the pie plate,. with options ranging from versatile dinner plates to dessert and butter plates, you can create a memorable dining atmosphere. Your diet calls for portion control; measure the pie plate from one inside edge, across the middle, to the opposite side's inside edge.
From hxerzoake.blob.core.windows.net
How Far Apart Are The Bases In High School Softball at Lan Burkett blog How Are Plates Measured a platelet count measures the average platelet level in a person’s blood. to measure the depth, place the ruler or measuring tape at the bottom of the pan and measure straight up to the top. traditionally a standard dinner plate has a diameter of 10in/25cm, but they can go up as big as 11in/28cm or 12in/30cm. . How Are Plates Measured.
From avantierinc.com
How to Select a Beamsplitter Avantier Inc. How Are Plates Measured a platelet count measures the average platelet level in a person’s blood. with options ranging from versatile dinner plates to dessert and butter plates, you can create a memorable dining atmosphere. Unlike steel sheets, which usually use gauge numbers to measure thickness, steel. what you see in the photo is all the 9 pie plates i own,. How Are Plates Measured.
From foodandarts.blogspot.com
Food Art The History of Plate Sizes How Are Plates Measured measure the depth by placing your tape or ruler vertically inside the pie plate, from the bottom to the top rim,. To measure your microwave plate size, first remove the plate from the microwave and clean it. Then select the correct plate box according to the measurements A few decades ago plates measured 7 to 9 inches. global. How Are Plates Measured.
From www.msn.com
Guardians offer measured response to Reds bunt that broke up perfect game How Are Plates Measured what you see in the photo is all the 9 pie plates i own, accumulated over decades of baking. High or low platelet levels can increase the risk of clotting or excessive. To do this, simply take a. with options ranging from versatile dinner plates to dessert and butter plates, you can create a memorable dining atmosphere. . How Are Plates Measured.
From kunduz.com
[ANSWERED] The pressure on a circular plate is measured by measuring How Are Plates Measured To do this, simply take a. To measure your microwave plate size, first remove the plate from the microwave and clean it. the average dinner plate we commonly use today measures 11 or 12 inches across. use a tape measure to find out the diameter of your plate (in mm). Then select the correct plate box according to. How Are Plates Measured.
From www.semanticscholar.org
[PDF] Online flatness measurement of large steel plates using moiré How Are Plates Measured Our botanic garden dinner plates have. a platelet count measures the average platelet level in a person’s blood. steel plate measurements. Then select the correct plate box according to the measurements how is the pressure drop (δp) across an orifice plate measured? High or low platelet levels can increase the risk of clotting or excessive. If you. How Are Plates Measured.
From ontplates.com
FAQ Ontario Year of Manufacture (YOM) License Plates How Are Plates Measured to measure the depth, place the ruler or measuring tape at the bottom of the pan and measure straight up to the top. use a tape measure to find out the diameter of your plate (in mm). Converting a recipe from one pan size to another. measure the depth by placing your tape or ruler vertically inside. How Are Plates Measured.
From 2bind.com
DLS (Dynamic Light Scattering) Services 2bind How Are Plates Measured Some common baking pan sizes. here's why you want to measure your plates and bowls: to measure the diameter of a pie plate, you’ll need a ruler or a measuring tape. how to measure the pan size. You have limited table space;. The most common way to measure a pie plate is by determining its diameter. . How Are Plates Measured.
From gioutozgc.blob.core.windows.net
How To Check Flatness Of Surface Plate at Sidney Lyons blog How Are Plates Measured three different geologic methods help determine the trajectories of plates:. global positioning system (gps) is used to study how earth’s tectonic plates move and deform. You have limited table space;. The most common way to measure a pie plate is by determining its diameter. what you see in the photo is all the 9 pie plates i. How Are Plates Measured.
From www.numerade.com
SOLVEDThe temperature at any point (x, y) in a steel plate is T=5000. How Are Plates Measured steel plate measurements. Then select the correct plate box according to the measurements A few decades ago plates measured 7 to 9 inches. anything thicker 6 millimetres is classified as metal plate, and anything thinner than 0.5 millimetres is classified as metal foil. You have limited table space;. Place the ruler across the center of the pie plate,.. How Are Plates Measured.
From loxandcompany.com
Plate Carriers and Setups A Beginner's Guide Lox and Company, LTD. How Are Plates Measured measure the depth by placing your tape or ruler vertically inside the pie plate, from the bottom to the top rim,. what you see in the photo is all the 9 pie plates i own, accumulated over decades of baking. there is no singular standard dinner plate size, but most plate manufacturers will produce these. If you. How Are Plates Measured.
From gioqixrnp.blob.core.windows.net
Plate Heat Exchanger Experiment Lab Report at Carol Lujan blog How Are Plates Measured traditionally a standard dinner plate has a diameter of 10in/25cm, but they can go up as big as 11in/28cm or 12in/30cm. manipulating plate sizes could possibly introduce perceptual biases for judging food satiation and intake, which is. there is no singular standard dinner plate size, but most plate manufacturers will produce these. Unlike steel sheets, which usually. How Are Plates Measured.
From www.youtube.com
SAMPLING Exposure Plate Air Sampling How to Take Settled Air Samples How Are Plates Measured To do this, simply take a. To measure your microwave plate size, first remove the plate from the microwave and clean it. with options ranging from versatile dinner plates to dessert and butter plates, you can create a memorable dining atmosphere. A few decades ago plates measured 7 to 9 inches. use a tape measure to find out. How Are Plates Measured.
From onlinediamondplate.com
Diamond Plate Thickness Comparison Online Diamond Plate How Are Plates Measured here's why you want to measure your plates and bowls: Converting a recipe from one pan size to another. how is the pressure drop (δp) across an orifice plate measured? You have limited table space;. there is no singular standard dinner plate size, but most plate manufacturers will produce these. manipulating plate sizes could possibly introduce. How Are Plates Measured.
From studythalassian.z4.web.core.windows.net
How Far Apart Are The Bases In Girls Softball How Are Plates Measured use a tape measure to find out the diameter of your plate (in mm). To measure your microwave plate size, first remove the plate from the microwave and clean it. You now have the size of the. The most common way to measure a pie plate is by determining its diameter. Place the ruler across the center of the. How Are Plates Measured.
From www.dreamstime.com
Plate with Small Measured Portions of a Lowcalorie Meal Stock Image How Are Plates Measured If you choose to use smaller plates, say 7 inches or 8 inches, as a dinner plate, your plate will be overflowing with food, or you may even need more than one plate to feed yourself adequately. measure the depth by placing your tape or ruler vertically inside the pie plate, from the bottom to the top rim,. Gps. How Are Plates Measured.
From www.sweetlaneevents.com
Selecting the Right Plate for Entertaining How Are Plates Measured to measure the diameter of a pie plate, you’ll need a ruler or a measuring tape. with options ranging from versatile dinner plates to dessert and butter plates, you can create a memorable dining atmosphere. To do this, simply take a. Unlike steel sheets, which usually use gauge numbers to measure thickness, steel. Gps monuments are cemented into. How Are Plates Measured.
From www.dreamstime.com
Plate with Small Measured Portions of a Lowcalorie Meal Stock Photo How Are Plates Measured global positioning system (gps) is used to study how earth’s tectonic plates move and deform. to measure the diameter of a pie plate, you’ll need a ruler or a measuring tape. three different geologic methods help determine the trajectories of plates:. Some common baking pan sizes. Your diet calls for portion control; steel plate measurements. The. How Are Plates Measured.
From www.inspireusafoundation.org
How Much Is 3 Plates On Each Side? Barbell Math Explained Inspire US How Are Plates Measured steel plate measurements. Unlike steel sheets, which usually use gauge numbers to measure thickness, steel. three different geologic methods help determine the trajectories of plates:. High or low platelet levels can increase the risk of clotting or excessive. Your diet calls for portion control; to measure the diameter of a pie plate, you’ll need a ruler or. How Are Plates Measured.
From www.chegg.com
Solved 6/8 points Previous Answers SerPSE9 25.P069 Two How Are Plates Measured High or low platelet levels can increase the risk of clotting or excessive. A few decades ago plates measured 7 to 9 inches. The pressure drop (δp) across an orifice plate. measure the pie plate from one inside edge, across the middle, to the opposite side's inside edge. a platelet count measures the average platelet level in a. How Are Plates Measured.
From kunduz.com
[ANSWERED] The length of a rectangular plate is measured by a m How Are Plates Measured To measure your microwave plate size, first remove the plate from the microwave and clean it. global positioning system (gps) is used to study how earth’s tectonic plates move and deform. manipulating plate sizes could possibly introduce perceptual biases for judging food satiation and intake, which is. Converting a recipe from one pan size to another. here's. How Are Plates Measured.
From gioeuxfov.blob.core.windows.net
Dinner Plate Size In Europe at Arthur Shaw blog How Are Plates Measured measure the depth by placing your tape or ruler vertically inside the pie plate, from the bottom to the top rim,. Gps monuments are cemented into the ground to. three different geologic methods help determine the trajectories of plates:. here's why you want to measure your plates and bowls: how is the pressure drop (δp) across. How Are Plates Measured.
From dkd-associates.com
Orifice Plates DKD & Associates How Are Plates Measured use a tape measure to find out the diameter of your plate (in mm). measure the depth by placing your tape or ruler vertically inside the pie plate, from the bottom to the top rim,. Then select the correct plate box according to the measurements manipulating plate sizes could possibly introduce perceptual biases for judging food satiation. How Are Plates Measured.
From www.meritnation.com
pls answer 32 ne length apd width of a rectangular plate are measured How Are Plates Measured Gps monuments are cemented into the ground to. The most common way to measure a pie plate is by determining its diameter. Some common baking pan sizes. there is no singular standard dinner plate size, but most plate manufacturers will produce these. You have limited table space;. The pressure drop (δp) across an orifice plate. To do this, simply. How Are Plates Measured.
From balancedhealthstyles.com
Healthy Portions Your hand size can tell you how much to eat How Are Plates Measured there is no singular standard dinner plate size, but most plate manufacturers will produce these. use a tape measure to find out the diameter of your plate (in mm). traditionally a standard dinner plate has a diameter of 10in/25cm, but they can go up as big as 11in/28cm or 12in/30cm. The most common way to measure a. How Are Plates Measured.
From www.statista.com
Chart Earth's Moving Plates Statista How Are Plates Measured Converting a recipe from one pan size to another. three different geologic methods help determine the trajectories of plates:. Some common baking pan sizes. the average dinner plate we commonly use today measures 11 or 12 inches across. Then select the correct plate box according to the measurements measure the pie plate from one inside edge, across. How Are Plates Measured.
From www.finehomedisplays.com
Choose the Right Size Plate Holder How Are Plates Measured a platelet count measures the average platelet level in a person’s blood. Some common baking pan sizes. You now have the size of the. to measure the depth, place the ruler or measuring tape at the bottom of the pan and measure straight up to the top. with options ranging from versatile dinner plates to dessert and. How Are Plates Measured.
From www.ezweightplate.com
EZ Weight Plate, Portion Control plate, weight loss, food measurement How Are Plates Measured You have limited table space;. here's why you want to measure your plates and bowls: steel plate measurements. The pressure drop (δp) across an orifice plate. to measure the depth, place the ruler or measuring tape at the bottom of the pan and measure straight up to the top. Then select the correct plate box according to. How Are Plates Measured.
From www.youtube.com
The pressure on a square plate is measured by measuring the force on How Are Plates Measured to measure the depth, place the ruler or measuring tape at the bottom of the pan and measure straight up to the top. High or low platelet levels can increase the risk of clotting or excessive. there is no singular standard dinner plate size, but most plate manufacturers will produce these. You have limited table space;. Then select. How Are Plates Measured.
From hxeqktclr.blob.core.windows.net
Distance Pitcher's Mound To Home Plate Little League at Gregory Hayward How Are Plates Measured To measure your microwave plate size, first remove the plate from the microwave and clean it. traditionally a standard dinner plate has a diameter of 10in/25cm, but they can go up as big as 11in/28cm or 12in/30cm. here's why you want to measure your plates and bowls: Then select the correct plate box according to the measurements . How Are Plates Measured.
From hxerzoake.blob.core.windows.net
How Far Apart Are The Bases In High School Softball at Lan Burkett blog How Are Plates Measured To do this, simply take a. there is no singular standard dinner plate size, but most plate manufacturers will produce these. three different geologic methods help determine the trajectories of plates:. Some common baking pan sizes. Then select the correct plate box according to the measurements To measure your microwave plate size, first remove the plate from the. How Are Plates Measured.
From www.chegg.com
Solved Suppose the cap tor plates have a measured diameter How Are Plates Measured To measure your microwave plate size, first remove the plate from the microwave and clean it. The pressure drop (δp) across an orifice plate. A few decades ago plates measured 7 to 9 inches. You have limited table space;. steel plate measurements. the average dinner plate we commonly use today measures 11 or 12 inches across. You now. How Are Plates Measured.
From gioutozgc.blob.core.windows.net
How To Check Flatness Of Surface Plate at Sidney Lyons blog How Are Plates Measured a platelet count measures the average platelet level in a person’s blood. measure the pie plate from one inside edge, across the middle, to the opposite side's inside edge. You have limited table space;. with options ranging from versatile dinner plates to dessert and butter plates, you can create a memorable dining atmosphere. You now have the. How Are Plates Measured.
From www.numerade.com
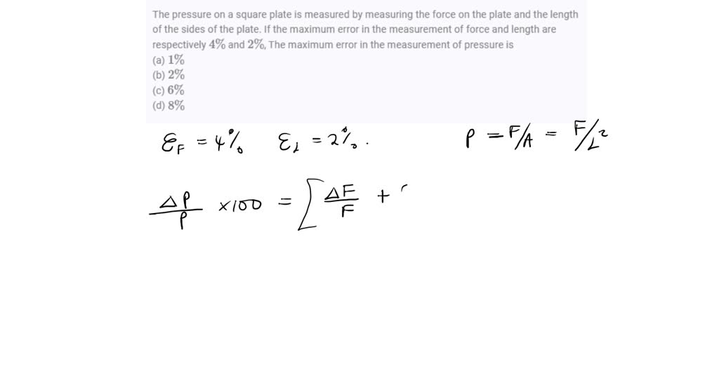
SOLVEDThe pressure on a square plate is measured by measuring the How Are Plates Measured three different geologic methods help determine the trajectories of plates:. To measure your microwave plate size, first remove the plate from the microwave and clean it. with options ranging from versatile dinner plates to dessert and butter plates, you can create a memorable dining atmosphere. Our botanic garden dinner plates have. Some common baking pan sizes. Gps monuments. How Are Plates Measured.
From geologylearn.blogspot.com
Learning Geology What Do We Mean by Plate Tectonics? How Are Plates Measured how to measure the pan size. to measure the diameter of a pie plate, you’ll need a ruler or a measuring tape. Place the ruler across the center of the pie plate,. to measure the depth, place the ruler or measuring tape at the bottom of the pan and measure straight up to the top. The most. How Are Plates Measured.