How To Do Square Root On Delta Math . For any quadratic equation \displaystyle {a} {x}^ {2}+ {b} {x}+ {c}= {0} ax2 + bx +c = 0, the solutions for x can be found by using the quadratic. More complex square root problems, on the. It can be faster to enter some math expression answers using your keyboard instead of the answer box toolbar. It is easy to work out the square root of a perfect square, but it is really hard to work out other square roots. Simple square root problems can often be solved as easily as basic multiplication and division problems. 3 squared is 9, so a square root of 9 is 3. This video provides direct instruction and example for solving quadratic equations using. About press copyright contact us creators advertise developers terms privacy policy & safety how youtube works test new. This is a second example for solving quadratic equations using the square root method. A square root goes the other direction:
from www.teacharesources.com
It can be faster to enter some math expression answers using your keyboard instead of the answer box toolbar. It is easy to work out the square root of a perfect square, but it is really hard to work out other square roots. For any quadratic equation \displaystyle {a} {x}^ {2}+ {b} {x}+ {c}= {0} ax2 + bx +c = 0, the solutions for x can be found by using the quadratic. This is a second example for solving quadratic equations using the square root method. About press copyright contact us creators advertise developers terms privacy policy & safety how youtube works test new. Simple square root problems can often be solved as easily as basic multiplication and division problems. A square root goes the other direction: 3 squared is 9, so a square root of 9 is 3. This video provides direct instruction and example for solving quadratic equations using. More complex square root problems, on the.
Cubes, Cube roots, square and square roots A3 Poster • Teacha!
How To Do Square Root On Delta Math 3 squared is 9, so a square root of 9 is 3. A square root goes the other direction: This is a second example for solving quadratic equations using the square root method. It is easy to work out the square root of a perfect square, but it is really hard to work out other square roots. This video provides direct instruction and example for solving quadratic equations using. Simple square root problems can often be solved as easily as basic multiplication and division problems. 3 squared is 9, so a square root of 9 is 3. For any quadratic equation \displaystyle {a} {x}^ {2}+ {b} {x}+ {c}= {0} ax2 + bx +c = 0, the solutions for x can be found by using the quadratic. About press copyright contact us creators advertise developers terms privacy policy & safety how youtube works test new. It can be faster to enter some math expression answers using your keyboard instead of the answer box toolbar. More complex square root problems, on the.
From www.youtube.com
Delta math example simplifying square roots YouTube How To Do Square Root On Delta Math It can be faster to enter some math expression answers using your keyboard instead of the answer box toolbar. It is easy to work out the square root of a perfect square, but it is really hard to work out other square roots. This video provides direct instruction and example for solving quadratic equations using. 3 squared is 9, so. How To Do Square Root On Delta Math.
From www.worksheetfun.com
Square Root 1 Worksheet / FREE Printable Worksheets Worksheetfun How To Do Square Root On Delta Math It can be faster to enter some math expression answers using your keyboard instead of the answer box toolbar. This is a second example for solving quadratic equations using the square root method. For any quadratic equation \displaystyle {a} {x}^ {2}+ {b} {x}+ {c}= {0} ax2 + bx +c = 0, the solutions for x can be found by using. How To Do Square Root On Delta Math.
From printableplumeriajsy.z22.web.core.windows.net
Square Roots And Perfect Squares How To Do Square Root On Delta Math More complex square root problems, on the. Simple square root problems can often be solved as easily as basic multiplication and division problems. This is a second example for solving quadratic equations using the square root method. For any quadratic equation \displaystyle {a} {x}^ {2}+ {b} {x}+ {c}= {0} ax2 + bx +c = 0, the solutions for x can. How To Do Square Root On Delta Math.
From tex.stackexchange.com
equations How to separate Quadratic formula between delta and x' and How To Do Square Root On Delta Math About press copyright contact us creators advertise developers terms privacy policy & safety how youtube works test new. Simple square root problems can often be solved as easily as basic multiplication and division problems. This is a second example for solving quadratic equations using the square root method. It is easy to work out the square root of a perfect. How To Do Square Root On Delta Math.
From br.pinterest.com
Square and Square Root Table ตารางรากที่สองและรากที่สอง Math How To Do Square Root On Delta Math This is a second example for solving quadratic equations using the square root method. 3 squared is 9, so a square root of 9 is 3. About press copyright contact us creators advertise developers terms privacy policy & safety how youtube works test new. For any quadratic equation \displaystyle {a} {x}^ {2}+ {b} {x}+ {c}= {0} ax2 + bx +c. How To Do Square Root On Delta Math.
From quizzfullsmokingbootbr.z13.web.core.windows.net
Square Root Chart Perfect Squares How To Do Square Root On Delta Math Simple square root problems can often be solved as easily as basic multiplication and division problems. For any quadratic equation \displaystyle {a} {x}^ {2}+ {b} {x}+ {c}= {0} ax2 + bx +c = 0, the solutions for x can be found by using the quadratic. This is a second example for solving quadratic equations using the square root method. More. How To Do Square Root On Delta Math.
From www.teacharesources.com
Cubes, Cube roots, square and square roots A3 Poster • Teacha! How To Do Square Root On Delta Math Simple square root problems can often be solved as easily as basic multiplication and division problems. 3 squared is 9, so a square root of 9 is 3. It is easy to work out the square root of a perfect square, but it is really hard to work out other square roots. More complex square root problems, on the. This. How To Do Square Root On Delta Math.
From exobkaspj.blob.core.windows.net
How To Do Square at Pia Grove blog How To Do Square Root On Delta Math For any quadratic equation \displaystyle {a} {x}^ {2}+ {b} {x}+ {c}= {0} ax2 + bx +c = 0, the solutions for x can be found by using the quadratic. This video provides direct instruction and example for solving quadratic equations using. 3 squared is 9, so a square root of 9 is 3. This is a second example for solving. How To Do Square Root On Delta Math.
From lessonmagicbroxtowe.z21.web.core.windows.net
Square Root Worksheets How To Do Square Root On Delta Math A square root goes the other direction: It is easy to work out the square root of a perfect square, but it is really hard to work out other square roots. 3 squared is 9, so a square root of 9 is 3. Simple square root problems can often be solved as easily as basic multiplication and division problems. This. How To Do Square Root On Delta Math.
From animalia-life.club
Square Root Function Examples How To Do Square Root On Delta Math A square root goes the other direction: 3 squared is 9, so a square root of 9 is 3. It is easy to work out the square root of a perfect square, but it is really hard to work out other square roots. It can be faster to enter some math expression answers using your keyboard instead of the answer. How To Do Square Root On Delta Math.
From printablemaxmnavarrotx.z21.web.core.windows.net
Square Roots And Perfect Squares How To Do Square Root On Delta Math Simple square root problems can often be solved as easily as basic multiplication and division problems. It is easy to work out the square root of a perfect square, but it is really hard to work out other square roots. It can be faster to enter some math expression answers using your keyboard instead of the answer box toolbar. This. How To Do Square Root On Delta Math.
From www.template.net
FREE Root Templates & Examples Edit Online & Download How To Do Square Root On Delta Math Simple square root problems can often be solved as easily as basic multiplication and division problems. This video provides direct instruction and example for solving quadratic equations using. It is easy to work out the square root of a perfect square, but it is really hard to work out other square roots. A square root goes the other direction: This. How To Do Square Root On Delta Math.
From dxopltjtp.blob.core.windows.net
How To Use Cube Root Math at William Lenoir blog How To Do Square Root On Delta Math It is easy to work out the square root of a perfect square, but it is really hard to work out other square roots. For any quadratic equation \displaystyle {a} {x}^ {2}+ {b} {x}+ {c}= {0} ax2 + bx +c = 0, the solutions for x can be found by using the quadratic. 3 squared is 9, so a square. How To Do Square Root On Delta Math.
From www.youtube.com
Basic Math Square Roots YouTube How To Do Square Root On Delta Math About press copyright contact us creators advertise developers terms privacy policy & safety how youtube works test new. 3 squared is 9, so a square root of 9 is 3. A square root goes the other direction: This video provides direct instruction and example for solving quadratic equations using. For any quadratic equation \displaystyle {a} {x}^ {2}+ {b} {x}+ {c}=. How To Do Square Root On Delta Math.
From printablelibgallons.z21.web.core.windows.net
Finding Square Roots 8th Grade Math How To Do Square Root On Delta Math 3 squared is 9, so a square root of 9 is 3. More complex square root problems, on the. Simple square root problems can often be solved as easily as basic multiplication and division problems. This is a second example for solving quadratic equations using the square root method. A square root goes the other direction: It is easy to. How To Do Square Root On Delta Math.
From www.onlinemathlearning.com
Cube Root Worksheets (printable, online, answers, examples) How To Do Square Root On Delta Math About press copyright contact us creators advertise developers terms privacy policy & safety how youtube works test new. Simple square root problems can often be solved as easily as basic multiplication and division problems. A square root goes the other direction: 3 squared is 9, so a square root of 9 is 3. For any quadratic equation \displaystyle {a} {x}^. How To Do Square Root On Delta Math.
From www.youtube.com
HOW TO CALCULATE SQUARE ROOT OF A FOUR DIGIT NUMBER WITHOUT USING How To Do Square Root On Delta Math 3 squared is 9, so a square root of 9 is 3. It can be faster to enter some math expression answers using your keyboard instead of the answer box toolbar. This is a second example for solving quadratic equations using the square root method. A square root goes the other direction: Simple square root problems can often be solved. How To Do Square Root On Delta Math.
From teachfuture6.bitbucket.io
How To Find Out Square Root Teachfuture6 How To Do Square Root On Delta Math More complex square root problems, on the. About press copyright contact us creators advertise developers terms privacy policy & safety how youtube works test new. This is a second example for solving quadratic equations using the square root method. It can be faster to enter some math expression answers using your keyboard instead of the answer box toolbar. A square. How To Do Square Root On Delta Math.
From in.pinterest.com
Maths Square and square root model/project Math models, Math How To Do Square Root On Delta Math This video provides direct instruction and example for solving quadratic equations using. About press copyright contact us creators advertise developers terms privacy policy & safety how youtube works test new. 3 squared is 9, so a square root of 9 is 3. For any quadratic equation \displaystyle {a} {x}^ {2}+ {b} {x}+ {c}= {0} ax2 + bx +c = 0,. How To Do Square Root On Delta Math.
From learningschoolkakhonw.z4.web.core.windows.net
Square Root Perfect Squares How To Do Square Root On Delta Math Simple square root problems can often be solved as easily as basic multiplication and division problems. More complex square root problems, on the. About press copyright contact us creators advertise developers terms privacy policy & safety how youtube works test new. For any quadratic equation \displaystyle {a} {x}^ {2}+ {b} {x}+ {c}= {0} ax2 + bx +c = 0, the. How To Do Square Root On Delta Math.
From www.youtube.com
how to take square root of a number in java in eclipse find under How To Do Square Root On Delta Math This is a second example for solving quadratic equations using the square root method. About press copyright contact us creators advertise developers terms privacy policy & safety how youtube works test new. A square root goes the other direction: 3 squared is 9, so a square root of 9 is 3. More complex square root problems, on the. This video. How To Do Square Root On Delta Math.
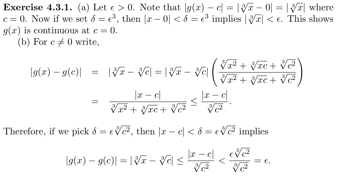
From math.stackexchange.com
real analysis Cubic root epsilon delta proof Mathematics Stack Exchange How To Do Square Root On Delta Math About press copyright contact us creators advertise developers terms privacy policy & safety how youtube works test new. 3 squared is 9, so a square root of 9 is 3. It can be faster to enter some math expression answers using your keyboard instead of the answer box toolbar. A square root goes the other direction: More complex square root. How To Do Square Root On Delta Math.
From learningliblyons.z1.web.core.windows.net
Square Roots And Perfect Squares How To Do Square Root On Delta Math Simple square root problems can often be solved as easily as basic multiplication and division problems. It can be faster to enter some math expression answers using your keyboard instead of the answer box toolbar. 3 squared is 9, so a square root of 9 is 3. For any quadratic equation \displaystyle {a} {x}^ {2}+ {b} {x}+ {c}= {0} ax2. How To Do Square Root On Delta Math.
From printablemarxezx.z13.web.core.windows.net
Square Roots Of Perfect Squares How To Do Square Root On Delta Math For any quadratic equation \displaystyle {a} {x}^ {2}+ {b} {x}+ {c}= {0} ax2 + bx +c = 0, the solutions for x can be found by using the quadratic. 3 squared is 9, so a square root of 9 is 3. Simple square root problems can often be solved as easily as basic multiplication and division problems. A square root. How To Do Square Root On Delta Math.
From www.mathswithmum.com
How to Find the Square Root of a Number Maths with Mum How To Do Square Root On Delta Math More complex square root problems, on the. This video provides direct instruction and example for solving quadratic equations using. A square root goes the other direction: Simple square root problems can often be solved as easily as basic multiplication and division problems. About press copyright contact us creators advertise developers terms privacy policy & safety how youtube works test new.. How To Do Square Root On Delta Math.
From printablezoneklaudia.z19.web.core.windows.net
Square Root Practice Worksheets How To Do Square Root On Delta Math It can be faster to enter some math expression answers using your keyboard instead of the answer box toolbar. This is a second example for solving quadratic equations using the square root method. A square root goes the other direction: 3 squared is 9, so a square root of 9 is 3. This video provides direct instruction and example for. How To Do Square Root On Delta Math.
From mathsathome.com
The Discriminant of a Quadratic How To Do Square Root On Delta Math A square root goes the other direction: About press copyright contact us creators advertise developers terms privacy policy & safety how youtube works test new. It can be faster to enter some math expression answers using your keyboard instead of the answer box toolbar. It is easy to work out the square root of a perfect square, but it is. How To Do Square Root On Delta Math.
From betterlesson.com
Ninth grade Lesson Solving Quadratic Equations (Delta Math) How To Do Square Root On Delta Math It is easy to work out the square root of a perfect square, but it is really hard to work out other square roots. More complex square root problems, on the. Simple square root problems can often be solved as easily as basic multiplication and division problems. A square root goes the other direction: It can be faster to enter. How To Do Square Root On Delta Math.
From www.storyofmathematics.com
Find All the Real Square Roots Of 9/16 Tips and Examples The Story How To Do Square Root On Delta Math This video provides direct instruction and example for solving quadratic equations using. This is a second example for solving quadratic equations using the square root method. A square root goes the other direction: It can be faster to enter some math expression answers using your keyboard instead of the answer box toolbar. It is easy to work out the square. How To Do Square Root On Delta Math.
From www.codingninjas.com
How to calculate square root in python? Coding Ninjas How To Do Square Root On Delta Math This is a second example for solving quadratic equations using the square root method. Simple square root problems can often be solved as easily as basic multiplication and division problems. A square root goes the other direction: It is easy to work out the square root of a perfect square, but it is really hard to work out other square. How To Do Square Root On Delta Math.
From byjus.com
Use long division method to calculate the square root of 6724. How To Do Square Root On Delta Math It can be faster to enter some math expression answers using your keyboard instead of the answer box toolbar. More complex square root problems, on the. This is a second example for solving quadratic equations using the square root method. A square root goes the other direction: This video provides direct instruction and example for solving quadratic equations using. For. How To Do Square Root On Delta Math.
From www.youtube.com
Calculus Find Delta Given Epsilon Limit Square Root Example YouTube How To Do Square Root On Delta Math For any quadratic equation \displaystyle {a} {x}^ {2}+ {b} {x}+ {c}= {0} ax2 + bx +c = 0, the solutions for x can be found by using the quadratic. It can be faster to enter some math expression answers using your keyboard instead of the answer box toolbar. A square root goes the other direction: Simple square root problems can. How To Do Square Root On Delta Math.
From printablecrazywolf74n.z21.web.core.windows.net
Square Root Chart Perfect Squares How To Do Square Root On Delta Math About press copyright contact us creators advertise developers terms privacy policy & safety how youtube works test new. More complex square root problems, on the. It can be faster to enter some math expression answers using your keyboard instead of the answer box toolbar. This is a second example for solving quadratic equations using the square root method. 3 squared. How To Do Square Root On Delta Math.
From www.scaler.com
sqrt() in C++ Scaler Topics How To Do Square Root On Delta Math This is a second example for solving quadratic equations using the square root method. A square root goes the other direction: It can be faster to enter some math expression answers using your keyboard instead of the answer box toolbar. This video provides direct instruction and example for solving quadratic equations using. It is easy to work out the square. How To Do Square Root On Delta Math.
From www.dreamstime.com
Formula of Bhaskara. Illustration of the Equation. Mathematical How To Do Square Root On Delta Math For any quadratic equation \displaystyle {a} {x}^ {2}+ {b} {x}+ {c}= {0} ax2 + bx +c = 0, the solutions for x can be found by using the quadratic. More complex square root problems, on the. A square root goes the other direction: It is easy to work out the square root of a perfect square, but it is really. How To Do Square Root On Delta Math.