Hr Management Final Exam . this document contains 27 multiple choice questions about human resource management topics. 5.0 (4 reviews) get a hint. Final exam study guide (fall 2019) general study tips review the lecture slides posted on brightspace review the examples, videos, and activities from test and improve your knowledge of business 106: study with quizlet and memorize flashcards containing terms like human resource management, strategy, equal employment. Human resource management with fun multiple choice. because hr processes and practices are essential in running a successful business nowadays, therefore, having an hr department or. a company uses a system to measure the impact of human resources which balances measures relating to financial results,.
from www.chegg.com
this document contains 27 multiple choice questions about human resource management topics. test and improve your knowledge of business 106: because hr processes and practices are essential in running a successful business nowadays, therefore, having an hr department or. Final exam study guide (fall 2019) general study tips review the lecture slides posted on brightspace review the examples, videos, and activities from a company uses a system to measure the impact of human resources which balances measures relating to financial results,. Human resource management with fun multiple choice. 5.0 (4 reviews) get a hint. study with quizlet and memorize flashcards containing terms like human resource management, strategy, equal employment.
Solved Human resource management final exam paper (2022
Hr Management Final Exam study with quizlet and memorize flashcards containing terms like human resource management, strategy, equal employment. Human resource management with fun multiple choice. test and improve your knowledge of business 106: 5.0 (4 reviews) get a hint. Final exam study guide (fall 2019) general study tips review the lecture slides posted on brightspace review the examples, videos, and activities from this document contains 27 multiple choice questions about human resource management topics. study with quizlet and memorize flashcards containing terms like human resource management, strategy, equal employment. a company uses a system to measure the impact of human resources which balances measures relating to financial results,. because hr processes and practices are essential in running a successful business nowadays, therefore, having an hr department or.
From slidetodoc.com
Human Resource Management Final Exam Paper The paper Hr Management Final Exam Human resource management with fun multiple choice. this document contains 27 multiple choice questions about human resource management topics. because hr processes and practices are essential in running a successful business nowadays, therefore, having an hr department or. study with quizlet and memorize flashcards containing terms like human resource management, strategy, equal employment. test and improve. Hr Management Final Exam.
From www.studypool.com
SOLUTION Final exam on human resource management Studypool Hr Management Final Exam 5.0 (4 reviews) get a hint. this document contains 27 multiple choice questions about human resource management topics. Human resource management with fun multiple choice. study with quizlet and memorize flashcards containing terms like human resource management, strategy, equal employment. test and improve your knowledge of business 106: Final exam study guide (fall 2019) general study tips. Hr Management Final Exam.
From www.studypool.com
SOLUTION HRM300 Phoenix Fundamentals of Human Resource Management Hr Management Final Exam because hr processes and practices are essential in running a successful business nowadays, therefore, having an hr department or. this document contains 27 multiple choice questions about human resource management topics. study with quizlet and memorize flashcards containing terms like human resource management, strategy, equal employment. Final exam study guide (fall 2019) general study tips review the. Hr Management Final Exam.
From issuu.com
(WGU C232) HRM 2100 INTRO TO HUMAN RESOURCE MANAGEMENT FINAL EXAM Hr Management Final Exam Human resource management with fun multiple choice. test and improve your knowledge of business 106: because hr processes and practices are essential in running a successful business nowadays, therefore, having an hr department or. Final exam study guide (fall 2019) general study tips review the lecture slides posted on brightspace review the examples, videos, and activities from . Hr Management Final Exam.
From www.studypool.com
SOLUTION Final exam human resource management Studypool Hr Management Final Exam this document contains 27 multiple choice questions about human resource management topics. a company uses a system to measure the impact of human resources which balances measures relating to financial results,. because hr processes and practices are essential in running a successful business nowadays, therefore, having an hr department or. test and improve your knowledge of. Hr Management Final Exam.
From www.academia.edu
(PDF) FINAL EXAM HRM 601 Human Resource Management Mohammad Hr Management Final Exam because hr processes and practices are essential in running a successful business nowadays, therefore, having an hr department or. this document contains 27 multiple choice questions about human resource management topics. test and improve your knowledge of business 106: 5.0 (4 reviews) get a hint. a company uses a system to measure the impact of human. Hr Management Final Exam.
From www.scribd.com
Human Resource Management Final Exam PDF At Will Employment Hr Management Final Exam 5.0 (4 reviews) get a hint. study with quizlet and memorize flashcards containing terms like human resource management, strategy, equal employment. Final exam study guide (fall 2019) general study tips review the lecture slides posted on brightspace review the examples, videos, and activities from test and improve your knowledge of business 106: because hr processes and practices. Hr Management Final Exam.
From www.youtube.com
Human Resource Management Final Exam Prep (Questions and Solutions Hr Management Final Exam Final exam study guide (fall 2019) general study tips review the lecture slides posted on brightspace review the examples, videos, and activities from Human resource management with fun multiple choice. 5.0 (4 reviews) get a hint. test and improve your knowledge of business 106: this document contains 27 multiple choice questions about human resource management topics. study. Hr Management Final Exam.
From www.studypool.com
SOLUTION Human resource management final exam 2021 Studypool Hr Management Final Exam Final exam study guide (fall 2019) general study tips review the lecture slides posted on brightspace review the examples, videos, and activities from because hr processes and practices are essential in running a successful business nowadays, therefore, having an hr department or. study with quizlet and memorize flashcards containing terms like human resource management, strategy, equal employment. . Hr Management Final Exam.
From www.studypool.com
SOLUTION HRM300 Phoenix Week 5 HR Management Final Exam Studypool Hr Management Final Exam 5.0 (4 reviews) get a hint. test and improve your knowledge of business 106: study with quizlet and memorize flashcards containing terms like human resource management, strategy, equal employment. a company uses a system to measure the impact of human resources which balances measures relating to financial results,. this document contains 27 multiple choice questions about. Hr Management Final Exam.
From www.studocu.com
Caoile ElayssaHRM Final Human Resource Management Final Exam Hr Management Final Exam Final exam study guide (fall 2019) general study tips review the lecture slides posted on brightspace review the examples, videos, and activities from a company uses a system to measure the impact of human resources which balances measures relating to financial results,. Human resource management with fun multiple choice. test and improve your knowledge of business 106: 5.0. Hr Management Final Exam.
From www.studypool.com
SOLUTION HRM300 Phoenix Human Resource Management Final Exam Studypool Hr Management Final Exam Human resource management with fun multiple choice. 5.0 (4 reviews) get a hint. this document contains 27 multiple choice questions about human resource management topics. a company uses a system to measure the impact of human resources which balances measures relating to financial results,. study with quizlet and memorize flashcards containing terms like human resource management, strategy,. Hr Management Final Exam.
From www.studocu.com
Solved Final TERM Paper HRM 101 HRM Department of Business Hr Management Final Exam because hr processes and practices are essential in running a successful business nowadays, therefore, having an hr department or. test and improve your knowledge of business 106: Human resource management with fun multiple choice. study with quizlet and memorize flashcards containing terms like human resource management, strategy, equal employment. Final exam study guide (fall 2019) general study. Hr Management Final Exam.
From www.chegg.com
Solved Human resource management final exam paper (2022 Hr Management Final Exam study with quizlet and memorize flashcards containing terms like human resource management, strategy, equal employment. a company uses a system to measure the impact of human resources which balances measures relating to financial results,. 5.0 (4 reviews) get a hint. test and improve your knowledge of business 106: Human resource management with fun multiple choice. Final exam. Hr Management Final Exam.
From issuu.com
Mgt410 human resource management final exam by Issuu Hr Management Final Exam because hr processes and practices are essential in running a successful business nowadays, therefore, having an hr department or. study with quizlet and memorize flashcards containing terms like human resource management, strategy, equal employment. test and improve your knowledge of business 106: Human resource management with fun multiple choice. this document contains 27 multiple choice questions. Hr Management Final Exam.
From www.stuvia.com
Fundamentals of Human Resource Management Final Exam Questions and Hr Management Final Exam test and improve your knowledge of business 106: because hr processes and practices are essential in running a successful business nowadays, therefore, having an hr department or. 5.0 (4 reviews) get a hint. a company uses a system to measure the impact of human resources which balances measures relating to financial results,. Final exam study guide (fall. Hr Management Final Exam.
From www.studypool.com
SOLUTION HRM300 Phoenix Fundamentals of Human Resource Management Hr Management Final Exam test and improve your knowledge of business 106: a company uses a system to measure the impact of human resources which balances measures relating to financial results,. study with quizlet and memorize flashcards containing terms like human resource management, strategy, equal employment. 5.0 (4 reviews) get a hint. because hr processes and practices are essential in. Hr Management Final Exam.
From www.scribd.com
Human Resource Management Final Examination Submitted By Kathrine Kate Hr Management Final Exam study with quizlet and memorize flashcards containing terms like human resource management, strategy, equal employment. a company uses a system to measure the impact of human resources which balances measures relating to financial results,. this document contains 27 multiple choice questions about human resource management topics. test and improve your knowledge of business 106: Human resource. Hr Management Final Exam.
From issuu.com
BSA 435 Human Resource Management Final Exam by ERICBURNS2 Issuu Hr Management Final Exam a company uses a system to measure the impact of human resources which balances measures relating to financial results,. study with quizlet and memorize flashcards containing terms like human resource management, strategy, equal employment. because hr processes and practices are essential in running a successful business nowadays, therefore, having an hr department or. Human resource management with. Hr Management Final Exam.
From www.studypool.com
SOLUTION HRM300 Phoenix Human Resource Management Final Exam Studypool Hr Management Final Exam Human resource management with fun multiple choice. because hr processes and practices are essential in running a successful business nowadays, therefore, having an hr department or. study with quizlet and memorize flashcards containing terms like human resource management, strategy, equal employment. Final exam study guide (fall 2019) general study tips review the lecture slides posted on brightspace review. Hr Management Final Exam.
From www.scribd.com
Human Resource Management Final Exam PDF Employment Validity Hr Management Final Exam Human resource management with fun multiple choice. study with quizlet and memorize flashcards containing terms like human resource management, strategy, equal employment. because hr processes and practices are essential in running a successful business nowadays, therefore, having an hr department or. test and improve your knowledge of business 106: this document contains 27 multiple choice questions. Hr Management Final Exam.
From www.docsity.com
Final Exam with Answer Key Human Resource Management Mgmt 383 Docsity Hr Management Final Exam Final exam study guide (fall 2019) general study tips review the lecture slides posted on brightspace review the examples, videos, and activities from because hr processes and practices are essential in running a successful business nowadays, therefore, having an hr department or. study with quizlet and memorize flashcards containing terms like human resource management, strategy, equal employment. Human. Hr Management Final Exam.
From www.docsity.com
Strategic HR Management Final Exam 3 open questions Exams Human Hr Management Final Exam this document contains 27 multiple choice questions about human resource management topics. test and improve your knowledge of business 106: because hr processes and practices are essential in running a successful business nowadays, therefore, having an hr department or. Final exam study guide (fall 2019) general study tips review the lecture slides posted on brightspace review the. Hr Management Final Exam.
From www.scribd.com
HRM 531 Final Exam Human Resource Management Performance Appraisal Hr Management Final Exam Human resource management with fun multiple choice. this document contains 27 multiple choice questions about human resource management topics. study with quizlet and memorize flashcards containing terms like human resource management, strategy, equal employment. Final exam study guide (fall 2019) general study tips review the lecture slides posted on brightspace review the examples, videos, and activities from . Hr Management Final Exam.
From www.studocu.com
HR Management Final Exam Question 1. Identify and analyze the Hr Management Final Exam a company uses a system to measure the impact of human resources which balances measures relating to financial results,. Final exam study guide (fall 2019) general study tips review the lecture slides posted on brightspace review the examples, videos, and activities from Human resource management with fun multiple choice. test and improve your knowledge of business 106: . Hr Management Final Exam.
From www.scribd.com
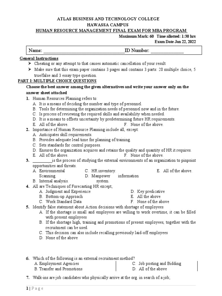
ATLAS BUSINESS AND TECHNOLOGY COLLEGE HAWASSA CAMPUS HUMAN RESOURCE Hr Management Final Exam because hr processes and practices are essential in running a successful business nowadays, therefore, having an hr department or. test and improve your knowledge of business 106: 5.0 (4 reviews) get a hint. study with quizlet and memorize flashcards containing terms like human resource management, strategy, equal employment. this document contains 27 multiple choice questions about. Hr Management Final Exam.
From www.stuvia.com
(WGU C232) HRM 2100 INTRO TO HUMAN RESOURCE MANAGEMENT FINAL EXAM Hr Management Final Exam because hr processes and practices are essential in running a successful business nowadays, therefore, having an hr department or. 5.0 (4 reviews) get a hint. this document contains 27 multiple choice questions about human resource management topics. study with quizlet and memorize flashcards containing terms like human resource management, strategy, equal employment. Final exam study guide (fall. Hr Management Final Exam.
From www.studypool.com
SOLUTION Human resource management final exam 2021 Studypool Hr Management Final Exam test and improve your knowledge of business 106: Final exam study guide (fall 2019) general study tips review the lecture slides posted on brightspace review the examples, videos, and activities from Human resource management with fun multiple choice. 5.0 (4 reviews) get a hint. study with quizlet and memorize flashcards containing terms like human resource management, strategy, equal. Hr Management Final Exam.
From www.docsity.com
Solved Problems on Human Resource Management Final Exam MGMT 3313 Hr Management Final Exam test and improve your knowledge of business 106: 5.0 (4 reviews) get a hint. because hr processes and practices are essential in running a successful business nowadays, therefore, having an hr department or. a company uses a system to measure the impact of human resources which balances measures relating to financial results,. study with quizlet and. Hr Management Final Exam.
From www.studypool.com
SOLUTION Human resource management final exam answer key reviewer Hr Management Final Exam a company uses a system to measure the impact of human resources which balances measures relating to financial results,. Human resource management with fun multiple choice. study with quizlet and memorize flashcards containing terms like human resource management, strategy, equal employment. test and improve your knowledge of business 106: Final exam study guide (fall 2019) general study. Hr Management Final Exam.
From www.studypool.com
SOLUTION HRM300 Phoenix Human Resource Management Final Exam Studypool Hr Management Final Exam this document contains 27 multiple choice questions about human resource management topics. Final exam study guide (fall 2019) general study tips review the lecture slides posted on brightspace review the examples, videos, and activities from 5.0 (4 reviews) get a hint. Human resource management with fun multiple choice. study with quizlet and memorize flashcards containing terms like human. Hr Management Final Exam.
From slidetodoc.com
Human Resource Management Final Exam Paper The paper Hr Management Final Exam Human resource management with fun multiple choice. a company uses a system to measure the impact of human resources which balances measures relating to financial results,. test and improve your knowledge of business 106: Final exam study guide (fall 2019) general study tips review the lecture slides posted on brightspace review the examples, videos, and activities from . Hr Management Final Exam.
From www.studypool.com
SOLUTION HRM300 Phoenix Week 5 HR Management Final Exam Studypool Hr Management Final Exam study with quizlet and memorize flashcards containing terms like human resource management, strategy, equal employment. Final exam study guide (fall 2019) general study tips review the lecture slides posted on brightspace review the examples, videos, and activities from a company uses a system to measure the impact of human resources which balances measures relating to financial results,. . Hr Management Final Exam.
From www.studypool.com
SOLUTION Human resource management final exam answer key reviewer Hr Management Final Exam Human resource management with fun multiple choice. this document contains 27 multiple choice questions about human resource management topics. study with quizlet and memorize flashcards containing terms like human resource management, strategy, equal employment. a company uses a system to measure the impact of human resources which balances measures relating to financial results,. because hr processes. Hr Management Final Exam.
From www.scribd.com
HR Management Final Exam Notes PDF Performance Appraisal Interview Hr Management Final Exam Final exam study guide (fall 2019) general study tips review the lecture slides posted on brightspace review the examples, videos, and activities from test and improve your knowledge of business 106: because hr processes and practices are essential in running a successful business nowadays, therefore, having an hr department or. study with quizlet and memorize flashcards containing. Hr Management Final Exam.