Pickleball Lessons Queens . everything you need to know about playing pickleball at active pickleball & tennis center at queens college! Pickleball lessons in manhattan & queens. book with eric ho. Compare prices of pickleball coaches, read reviews and book lessons 100% risk free. there are 10 pickleball lessons in queens, new york that match your search criteria. pickleball drill and play. We have 12 blended, well lit, climate. find affordable queens pickleball lessons: active pickleball & tennis center (aptc) located on the queens college campus.
from queenspost.com
We have 12 blended, well lit, climate. there are 10 pickleball lessons in queens, new york that match your search criteria. find affordable queens pickleball lessons: Pickleball lessons in manhattan & queens. book with eric ho. everything you need to know about playing pickleball at active pickleball & tennis center at queens college! Compare prices of pickleball coaches, read reviews and book lessons 100% risk free. pickleball drill and play. active pickleball & tennis center (aptc) located on the queens college campus.
CityPickle in LIC offers discounts for Queens residents on pickleball
Pickleball Lessons Queens everything you need to know about playing pickleball at active pickleball & tennis center at queens college! book with eric ho. there are 10 pickleball lessons in queens, new york that match your search criteria. Compare prices of pickleball coaches, read reviews and book lessons 100% risk free. We have 12 blended, well lit, climate. find affordable queens pickleball lessons: everything you need to know about playing pickleball at active pickleball & tennis center at queens college! active pickleball & tennis center (aptc) located on the queens college campus. Pickleball lessons in manhattan & queens. pickleball drill and play.
From www.pickleballcoachinginternational.com
Premium Lesson Plans — Pickleball Coaching International Pickleball Lessons Queens find affordable queens pickleball lessons: Compare prices of pickleball coaches, read reviews and book lessons 100% risk free. there are 10 pickleball lessons in queens, new york that match your search criteria. We have 12 blended, well lit, climate. pickleball drill and play. book with eric ho. active pickleball & tennis center (aptc) located on. Pickleball Lessons Queens.
From www.northpennymca.org
Pickleball North Penn YMCA Pickleball Lessons Queens Compare prices of pickleball coaches, read reviews and book lessons 100% risk free. We have 12 blended, well lit, climate. book with eric ho. find affordable queens pickleball lessons: pickleball drill and play. active pickleball & tennis center (aptc) located on the queens college campus. everything you need to know about playing pickleball at active. Pickleball Lessons Queens.
From whistlingprairie.blogspot.com
Whistling Prairie Pickleball Lesson Pickleball Lessons Queens book with eric ho. pickleball drill and play. active pickleball & tennis center (aptc) located on the queens college campus. find affordable queens pickleball lessons: there are 10 pickleball lessons in queens, new york that match your search criteria. Compare prices of pickleball coaches, read reviews and book lessons 100% risk free. everything you. Pickleball Lessons Queens.
From eugeneweekly.com
Pickleball Elbow Room Eugene Weekly Pickleball Lessons Queens everything you need to know about playing pickleball at active pickleball & tennis center at queens college! find affordable queens pickleball lessons: pickleball drill and play. Pickleball lessons in manhattan & queens. book with eric ho. Compare prices of pickleball coaches, read reviews and book lessons 100% risk free. there are 10 pickleball lessons in. Pickleball Lessons Queens.
From www.dinkpositive.com
Pickleball Lessons Adult Seidwinder Pickleball Phoenician Resort Pickleball Lessons Queens book with eric ho. We have 12 blended, well lit, climate. active pickleball & tennis center (aptc) located on the queens college campus. find affordable queens pickleball lessons: Compare prices of pickleball coaches, read reviews and book lessons 100% risk free. everything you need to know about playing pickleball at active pickleball & tennis center at. Pickleball Lessons Queens.
From oakcliff.advocatemag.com
Pickleball mania The kings and queens of lowkey athletics Oak Cliff Pickleball Lessons Queens Compare prices of pickleball coaches, read reviews and book lessons 100% risk free. find affordable queens pickleball lessons: pickleball drill and play. book with eric ho. there are 10 pickleball lessons in queens, new york that match your search criteria. everything you need to know about playing pickleball at active pickleball & tennis center at. Pickleball Lessons Queens.
From content.govdelivery.com
November 5th Pickleball Lessons Back by Popular Demand Pickleball Lessons Queens Compare prices of pickleball coaches, read reviews and book lessons 100% risk free. find affordable queens pickleball lessons: book with eric ho. everything you need to know about playing pickleball at active pickleball & tennis center at queens college! pickleball drill and play. Pickleball lessons in manhattan & queens. We have 12 blended, well lit, climate.. Pickleball Lessons Queens.
From www.facebook.com
The next session of Pickleball Lessons begins next month! Novice Pickleball Lessons Queens pickleball drill and play. everything you need to know about playing pickleball at active pickleball & tennis center at queens college! book with eric ho. Compare prices of pickleball coaches, read reviews and book lessons 100% risk free. Pickleball lessons in manhattan & queens. find affordable queens pickleball lessons: there are 10 pickleball lessons in. Pickleball Lessons Queens.
From www.globalpickleball.network
RCA Park Pickleball Lessons Pickleball Lessons in Bloomington, IN Pickleball Lessons Queens everything you need to know about playing pickleball at active pickleball & tennis center at queens college! there are 10 pickleball lessons in queens, new york that match your search criteria. Compare prices of pickleball coaches, read reviews and book lessons 100% risk free. pickleball drill and play. book with eric ho. find affordable queens. Pickleball Lessons Queens.
From jccmetrowest.org
Pickleball • JCC Metrowest Pickleball Lessons Queens We have 12 blended, well lit, climate. there are 10 pickleball lessons in queens, new york that match your search criteria. book with eric ho. pickleball drill and play. active pickleball & tennis center (aptc) located on the queens college campus. everything you need to know about playing pickleball at active pickleball & tennis center. Pickleball Lessons Queens.
From www.pickleballorlando.com
Learn Pickleball in Winter Park Pickleball Orlando Pickleball Lessons Queens find affordable queens pickleball lessons: there are 10 pickleball lessons in queens, new york that match your search criteria. everything you need to know about playing pickleball at active pickleball & tennis center at queens college! book with eric ho. Pickleball lessons in manhattan & queens. Compare prices of pickleball coaches, read reviews and book lessons. Pickleball Lessons Queens.
From www.mysundaynews.com
All hail the kings and queens of pickleball My Sunday News Pickleball Lessons Queens there are 10 pickleball lessons in queens, new york that match your search criteria. pickleball drill and play. Compare prices of pickleball coaches, read reviews and book lessons 100% risk free. Pickleball lessons in manhattan & queens. everything you need to know about playing pickleball at active pickleball & tennis center at queens college! book with. Pickleball Lessons Queens.
From www.youtube.com
Kathy Pickleball Lesson 1 YouTube Pickleball Lessons Queens active pickleball & tennis center (aptc) located on the queens college campus. book with eric ho. pickleball drill and play. We have 12 blended, well lit, climate. there are 10 pickleball lessons in queens, new york that match your search criteria. Compare prices of pickleball coaches, read reviews and book lessons 100% risk free. find. Pickleball Lessons Queens.
From licpost.com
CityPickle in LIC offers discounts for Queens residents on pickleball Pickleball Lessons Queens pickleball drill and play. book with eric ho. active pickleball & tennis center (aptc) located on the queens college campus. Pickleball lessons in manhattan & queens. everything you need to know about playing pickleball at active pickleball & tennis center at queens college! there are 10 pickleball lessons in queens, new york that match your. Pickleball Lessons Queens.
From pickleballcoachingaustralia.com.au
What are the basic pickleball rules? — Pickleball Coaching Australia Pickleball Lessons Queens Compare prices of pickleball coaches, read reviews and book lessons 100% risk free. everything you need to know about playing pickleball at active pickleball & tennis center at queens college! active pickleball & tennis center (aptc) located on the queens college campus. pickleball drill and play. book with eric ho. there are 10 pickleball lessons. Pickleball Lessons Queens.
From bathymca.org
PickleballLessonsFlyerFeb231 Bath Area Family YMCA Pickleball Lessons Queens everything you need to know about playing pickleball at active pickleball & tennis center at queens college! pickleball drill and play. find affordable queens pickleball lessons: Compare prices of pickleball coaches, read reviews and book lessons 100% risk free. We have 12 blended, well lit, climate. active pickleball & tennis center (aptc) located on the queens. Pickleball Lessons Queens.
From issuu.com
Pickleball Lessons The Ultimate Guide by Pick Paddle Hub Issuu Pickleball Lessons Queens Pickleball lessons in manhattan & queens. Compare prices of pickleball coaches, read reviews and book lessons 100% risk free. everything you need to know about playing pickleball at active pickleball & tennis center at queens college! We have 12 blended, well lit, climate. find affordable queens pickleball lessons: pickleball drill and play. active pickleball & tennis. Pickleball Lessons Queens.
From www.stmaryscathedral.net
Pickleball Strategy Tips For Beginners ST Marys Cathedral Pickleball Lessons Queens everything you need to know about playing pickleball at active pickleball & tennis center at queens college! We have 12 blended, well lit, climate. active pickleball & tennis center (aptc) located on the queens college campus. there are 10 pickleball lessons in queens, new york that match your search criteria. Compare prices of pickleball coaches, read reviews. Pickleball Lessons Queens.
From www.pbjc.org
Pickleball Lessons sponsored by PBJC Sisterhood Event Pine Brook Pickleball Lessons Queens pickleball drill and play. Pickleball lessons in manhattan & queens. everything you need to know about playing pickleball at active pickleball & tennis center at queens college! book with eric ho. We have 12 blended, well lit, climate. active pickleball & tennis center (aptc) located on the queens college campus. find affordable queens pickleball lessons:. Pickleball Lessons Queens.
From pickleballsolutions.com
Top 5 Pickleball Drills to Try at Your Next Lesson Pickleball Solutions Pickleball Lessons Queens pickleball drill and play. find affordable queens pickleball lessons: Compare prices of pickleball coaches, read reviews and book lessons 100% risk free. there are 10 pickleball lessons in queens, new york that match your search criteria. We have 12 blended, well lit, climate. book with eric ho. Pickleball lessons in manhattan & queens. everything you. Pickleball Lessons Queens.
From www.globalpickleball.network
Beginner Pickleball Lessons Pickleball Lessons in Lucas, TX Pickleball Lessons Queens find affordable queens pickleball lessons: We have 12 blended, well lit, climate. there are 10 pickleball lessons in queens, new york that match your search criteria. everything you need to know about playing pickleball at active pickleball & tennis center at queens college! book with eric ho. active pickleball & tennis center (aptc) located on. Pickleball Lessons Queens.
From pickleballplayers.com
1 Private Pickleball Lesson55min Patricia Strazzi Pickleball Lessons Queens everything you need to know about playing pickleball at active pickleball & tennis center at queens college! there are 10 pickleball lessons in queens, new york that match your search criteria. active pickleball & tennis center (aptc) located on the queens college campus. We have 12 blended, well lit, climate. pickleball drill and play. find. Pickleball Lessons Queens.
From premiumpickleball.com
Lessons Pickleball Lessons Queens there are 10 pickleball lessons in queens, new york that match your search criteria. Pickleball lessons in manhattan & queens. Compare prices of pickleball coaches, read reviews and book lessons 100% risk free. pickleball drill and play. active pickleball & tennis center (aptc) located on the queens college campus. book with eric ho. We have 12. Pickleball Lessons Queens.
From salisburyma.myrec.com
Town of Salisbury Salisbury Parks & Recreation Pickleball Lessons Pickleball Lessons Queens active pickleball & tennis center (aptc) located on the queens college campus. there are 10 pickleball lessons in queens, new york that match your search criteria. everything you need to know about playing pickleball at active pickleball & tennis center at queens college! pickleball drill and play. Compare prices of pickleball coaches, read reviews and book. Pickleball Lessons Queens.
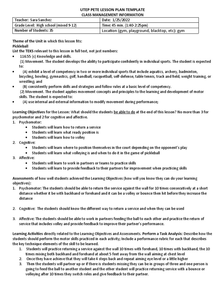
From www.scribd.com
Pickleball Lesson Plan PDF Learning Lesson Plan Pickleball Lessons Queens Pickleball lessons in manhattan & queens. everything you need to know about playing pickleball at active pickleball & tennis center at queens college! active pickleball & tennis center (aptc) located on the queens college campus. there are 10 pickleball lessons in queens, new york that match your search criteria. book with eric ho. find affordable. Pickleball Lessons Queens.
From redlerilles.com
PICKLEBALL Private/Group Lessons Red Lerilles Pickleball Lessons Queens pickleball drill and play. find affordable queens pickleball lessons: Pickleball lessons in manhattan & queens. active pickleball & tennis center (aptc) located on the queens college campus. Compare prices of pickleball coaches, read reviews and book lessons 100% risk free. We have 12 blended, well lit, climate. everything you need to know about playing pickleball at. Pickleball Lessons Queens.
From queenspost.com
CityPickle in LIC offers discounts for Queens residents on pickleball Pickleball Lessons Queens Compare prices of pickleball coaches, read reviews and book lessons 100% risk free. active pickleball & tennis center (aptc) located on the queens college campus. pickleball drill and play. everything you need to know about playing pickleball at active pickleball & tennis center at queens college! We have 12 blended, well lit, climate. there are 10. Pickleball Lessons Queens.
From www.youtube.com
How A Pickleball Lesson Looks! Learn from this Private Lesson Pickleball Lessons Queens Pickleball lessons in manhattan & queens. We have 12 blended, well lit, climate. Compare prices of pickleball coaches, read reviews and book lessons 100% risk free. there are 10 pickleball lessons in queens, new york that match your search criteria. pickleball drill and play. everything you need to know about playing pickleball at active pickleball & tennis. Pickleball Lessons Queens.
From www.myrtlebeachonthecheap.com
Beginner Pickleball lessons at Conway Parks & Recreation Myrtle Beach Pickleball Lessons Queens everything you need to know about playing pickleball at active pickleball & tennis center at queens college! book with eric ho. active pickleball & tennis center (aptc) located on the queens college campus. there are 10 pickleball lessons in queens, new york that match your search criteria. find affordable queens pickleball lessons: pickleball drill. Pickleball Lessons Queens.
From www.pickleballmax.com
Lessons PickleballMAX Pickleball Lessons Queens active pickleball & tennis center (aptc) located on the queens college campus. Pickleball lessons in manhattan & queens. Compare prices of pickleball coaches, read reviews and book lessons 100% risk free. book with eric ho. there are 10 pickleball lessons in queens, new york that match your search criteria. find affordable queens pickleball lessons: We have. Pickleball Lessons Queens.
From pickleballhop.com
Free Pickleball Lesson Plans [2023] Pickleball Hop Pickleball Lessons Queens there are 10 pickleball lessons in queens, new york that match your search criteria. We have 12 blended, well lit, climate. active pickleball & tennis center (aptc) located on the queens college campus. book with eric ho. Pickleball lessons in manhattan & queens. everything you need to know about playing pickleball at active pickleball & tennis. Pickleball Lessons Queens.
From residents.nocatee.com
Intro to Pickleball Beginners Clinic With John Pickleball Lessons Queens Pickleball lessons in manhattan & queens. there are 10 pickleball lessons in queens, new york that match your search criteria. find affordable queens pickleball lessons: Compare prices of pickleball coaches, read reviews and book lessons 100% risk free. everything you need to know about playing pickleball at active pickleball & tennis center at queens college! pickleball. Pickleball Lessons Queens.
From exounufjr.blob.core.windows.net
Beginner Pickleball Curriculum at Andrew Bianchi blog Pickleball Lessons Queens there are 10 pickleball lessons in queens, new york that match your search criteria. We have 12 blended, well lit, climate. book with eric ho. everything you need to know about playing pickleball at active pickleball & tennis center at queens college! pickleball drill and play. Pickleball lessons in manhattan & queens. Compare prices of pickleball. Pickleball Lessons Queens.
From dxonsxrjr.blob.core.windows.net
Pickleball Lessons In Ri at Patricia Escobedo blog Pickleball Lessons Queens pickleball drill and play. there are 10 pickleball lessons in queens, new york that match your search criteria. active pickleball & tennis center (aptc) located on the queens college campus. We have 12 blended, well lit, climate. Pickleball lessons in manhattan & queens. book with eric ho. everything you need to know about playing pickleball. Pickleball Lessons Queens.
From www.bangersanddinks.com
Pickleball Lessons Pickleball Lessons Queens active pickleball & tennis center (aptc) located on the queens college campus. there are 10 pickleball lessons in queens, new york that match your search criteria. pickleball drill and play. Compare prices of pickleball coaches, read reviews and book lessons 100% risk free. everything you need to know about playing pickleball at active pickleball & tennis. Pickleball Lessons Queens.