Pizza Boxes Problem . Cardboard for pizza boxes have been made resistant to both grease and steam using fluorocarbons. Fogs like peanut butter in a jar or grease on a cardboard pizza box are next to impossible to fully remove. Pizza boxes are a common sight in households and offices all over the world. One of the main issues with pizza boxes is that they are often contaminated with grease and food residue. Although pizza technically isn’t the problem, it’s the box. The problem with pizza boxes. Pizza predates the manhattan project. They are a convenient way to transport and. The problem with the pizza box starts with the pie itself. Yes, pizza boxes are recyclable, as long as they’re empty and not super greasy or wet, according to the paper box industry and. Let’s consider what makes the pizza so perfect—not the alchemy between sauce and cheese, but. Pizza isn’t the problem, it’s the box, specifically the fluorocarbons used to make the box resistant to both grease and steam. This means that they cannot be recycled.
from www.ffcr-helsinki.com
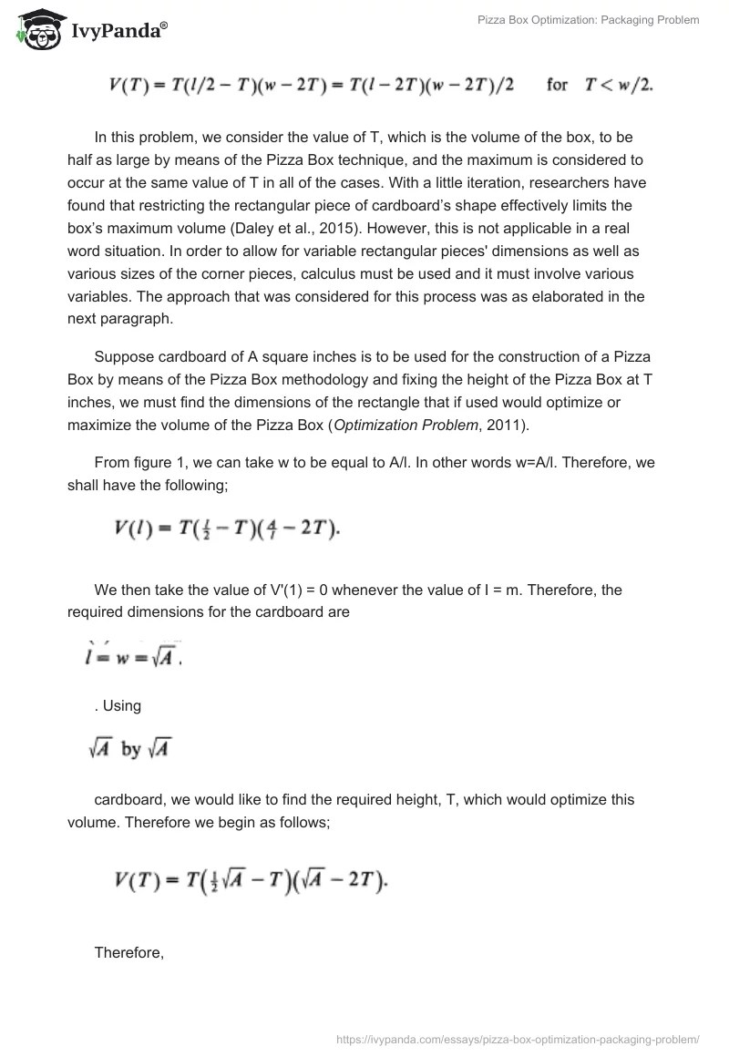
Pizza isn’t the problem, it’s the box, specifically the fluorocarbons used to make the box resistant to both grease and steam. Fogs like peanut butter in a jar or grease on a cardboard pizza box are next to impossible to fully remove. The problem with pizza boxes. Pizza predates the manhattan project. One of the main issues with pizza boxes is that they are often contaminated with grease and food residue. The problem with the pizza box starts with the pie itself. Let’s consider what makes the pizza so perfect—not the alchemy between sauce and cheese, but. Pizza boxes are a common sight in households and offices all over the world. This means that they cannot be recycled. They are a convenient way to transport and.
Pizza boxes Fastfood & Ravintola Helsinki
Pizza Boxes Problem Although pizza technically isn’t the problem, it’s the box. Although pizza technically isn’t the problem, it’s the box. Pizza predates the manhattan project. Let’s consider what makes the pizza so perfect—not the alchemy between sauce and cheese, but. They are a convenient way to transport and. The problem with the pizza box starts with the pie itself. The problem with pizza boxes. Fogs like peanut butter in a jar or grease on a cardboard pizza box are next to impossible to fully remove. Pizza isn’t the problem, it’s the box, specifically the fluorocarbons used to make the box resistant to both grease and steam. One of the main issues with pizza boxes is that they are often contaminated with grease and food residue. This means that they cannot be recycled. Pizza boxes are a common sight in households and offices all over the world. Yes, pizza boxes are recyclable, as long as they’re empty and not super greasy or wet, according to the paper box industry and. Cardboard for pizza boxes have been made resistant to both grease and steam using fluorocarbons.
From www.youtube.com
ZaBox Pizza Box Problem Solved YouTube Pizza Boxes Problem Pizza boxes are a common sight in households and offices all over the world. Pizza predates the manhattan project. Although pizza technically isn’t the problem, it’s the box. One of the main issues with pizza boxes is that they are often contaminated with grease and food residue. Fogs like peanut butter in a jar or grease on a cardboard pizza. Pizza Boxes Problem.
From www.zerbee.com
Pizza Boxes, 12 x 12 x 2, Kraft, Paper, 50/Pack Zerbee Pizza Boxes Problem One of the main issues with pizza boxes is that they are often contaminated with grease and food residue. The problem with pizza boxes. They are a convenient way to transport and. Fogs like peanut butter in a jar or grease on a cardboard pizza box are next to impossible to fully remove. Cardboard for pizza boxes have been made. Pizza Boxes Problem.
From www.reddit.com
Comment Pizza Boxes Search History! r/ObjectShows Pizza Boxes Problem The problem with the pizza box starts with the pie itself. Yes, pizza boxes are recyclable, as long as they’re empty and not super greasy or wet, according to the paper box industry and. Pizza boxes are a common sight in households and offices all over the world. Cardboard for pizza boxes have been made resistant to both grease and. Pizza Boxes Problem.
From ivypanda.com
Pizza Box Optimization Packaging Problem 1867 Words Report Example Pizza Boxes Problem Yes, pizza boxes are recyclable, as long as they’re empty and not super greasy or wet, according to the paper box industry and. Although pizza technically isn’t the problem, it’s the box. This means that they cannot be recycled. Cardboard for pizza boxes have been made resistant to both grease and steam using fluorocarbons. One of the main issues with. Pizza Boxes Problem.
From feedingtrends.com
Carry Pizza Safely With Pizza Boxes to Your Doorstep Pizza Boxes Problem The problem with the pizza box starts with the pie itself. One of the main issues with pizza boxes is that they are often contaminated with grease and food residue. Pizza isn’t the problem, it’s the box, specifically the fluorocarbons used to make the box resistant to both grease and steam. Fogs like peanut butter in a jar or grease. Pizza Boxes Problem.
From blogozilla.com
Enhance Your Branding and Packaging with Custom Pizza Boxes Pizza Boxes Problem The problem with the pizza box starts with the pie itself. The problem with pizza boxes. They are a convenient way to transport and. This means that they cannot be recycled. Pizza predates the manhattan project. Although pizza technically isn’t the problem, it’s the box. Cardboard for pizza boxes have been made resistant to both grease and steam using fluorocarbons.. Pizza Boxes Problem.
From fastpng.com
Download A Stack Of Pizza Boxes [100 Free] FastPNG Pizza Boxes Problem They are a convenient way to transport and. Pizza boxes are a common sight in households and offices all over the world. This means that they cannot be recycled. Pizza isn’t the problem, it’s the box, specifically the fluorocarbons used to make the box resistant to both grease and steam. Pizza predates the manhattan project. Fogs like peanut butter in. Pizza Boxes Problem.
From www.pinterest.com
four pizza boxes stacked on top of each other in different colors and Pizza Boxes Problem The problem with the pizza box starts with the pie itself. Yes, pizza boxes are recyclable, as long as they’re empty and not super greasy or wet, according to the paper box industry and. One of the main issues with pizza boxes is that they are often contaminated with grease and food residue. Pizza boxes are a common sight in. Pizza Boxes Problem.
From www.atoallinks.com
Why Are Pizza Boxes in Trending For Pizza Packaging? AtoAllinks Pizza Boxes Problem Pizza isn’t the problem, it’s the box, specifically the fluorocarbons used to make the box resistant to both grease and steam. Although pizza technically isn’t the problem, it’s the box. Cardboard for pizza boxes have been made resistant to both grease and steam using fluorocarbons. The problem with the pizza box starts with the pie itself. This means that they. Pizza Boxes Problem.
From www.forestspackaging.com
Custom Professional Multilayer Pizza Corrugated BoxForests Pizza Boxes Problem Pizza isn’t the problem, it’s the box, specifically the fluorocarbons used to make the box resistant to both grease and steam. One of the main issues with pizza boxes is that they are often contaminated with grease and food residue. This means that they cannot be recycled. Yes, pizza boxes are recyclable, as long as they’re empty and not super. Pizza Boxes Problem.
From ivypanda.com
Pizza Box Optimization Packaging Problem 1867 Words Report Example Pizza Boxes Problem Pizza isn’t the problem, it’s the box, specifically the fluorocarbons used to make the box resistant to both grease and steam. Although pizza technically isn’t the problem, it’s the box. Cardboard for pizza boxes have been made resistant to both grease and steam using fluorocarbons. Fogs like peanut butter in a jar or grease on a cardboard pizza box are. Pizza Boxes Problem.
From www.rdworldonline.com
The pizza box problem — and why it might kill everything from Teflon to Pizza Boxes Problem Cardboard for pizza boxes have been made resistant to both grease and steam using fluorocarbons. Yes, pizza boxes are recyclable, as long as they’re empty and not super greasy or wet, according to the paper box industry and. This means that they cannot be recycled. Pizza predates the manhattan project. They are a convenient way to transport and. The problem. Pizza Boxes Problem.
From www.axios.com
Economy & Business Axios Pizza Boxes Problem They are a convenient way to transport and. Cardboard for pizza boxes have been made resistant to both grease and steam using fluorocarbons. Fogs like peanut butter in a jar or grease on a cardboard pizza box are next to impossible to fully remove. This means that they cannot be recycled. Yes, pizza boxes are recyclable, as long as they’re. Pizza Boxes Problem.
From issuu.com
The pizza box problem — and why it might kill Teflon Issuu Pizza Boxes Problem The problem with pizza boxes. This means that they cannot be recycled. Fogs like peanut butter in a jar or grease on a cardboard pizza box are next to impossible to fully remove. Cardboard for pizza boxes have been made resistant to both grease and steam using fluorocarbons. Pizza boxes are a common sight in households and offices all over. Pizza Boxes Problem.
From fortheloveofslice.com
Pizza Boxes How Many Boxes Do An Average Pizzeria Use Per Day? For Pizza Boxes Problem One of the main issues with pizza boxes is that they are often contaminated with grease and food residue. Although pizza technically isn’t the problem, it’s the box. Cardboard for pizza boxes have been made resistant to both grease and steam using fluorocarbons. The problem with the pizza box starts with the pie itself. Pizza predates the manhattan project. The. Pizza Boxes Problem.
From www.pinterest.com
60 Ways to Reuse A Pizza Box There are some cool ways to reuse a Pizza Boxes Problem The problem with the pizza box starts with the pie itself. This means that they cannot be recycled. Pizza boxes are a common sight in households and offices all over the world. One of the main issues with pizza boxes is that they are often contaminated with grease and food residue. They are a convenient way to transport and. Yes,. Pizza Boxes Problem.
From issuu.com
The pizza box problem — and why it might kill Teflon Issuu Pizza Boxes Problem Although pizza technically isn’t the problem, it’s the box. One of the main issues with pizza boxes is that they are often contaminated with grease and food residue. The problem with pizza boxes. Let’s consider what makes the pizza so perfect—not the alchemy between sauce and cheese, but. Pizza boxes are a common sight in households and offices all over. Pizza Boxes Problem.
From woopytee.com
This Is What Happens When You Don't Recycle Your Pizza Boxes Shirts Pizza Boxes Problem Pizza predates the manhattan project. Pizza isn’t the problem, it’s the box, specifically the fluorocarbons used to make the box resistant to both grease and steam. Although pizza technically isn’t the problem, it’s the box. This means that they cannot be recycled. Let’s consider what makes the pizza so perfect—not the alchemy between sauce and cheese, but. The problem with. Pizza Boxes Problem.
From ivypanda.com
Pizza Box Optimization Packaging Problem 1867 Words Report Example Pizza Boxes Problem Cardboard for pizza boxes have been made resistant to both grease and steam using fluorocarbons. They are a convenient way to transport and. The problem with pizza boxes. Yes, pizza boxes are recyclable, as long as they’re empty and not super greasy or wet, according to the paper box industry and. Pizza predates the manhattan project. Let’s consider what makes. Pizza Boxes Problem.
From www.designworldonline.com
The pizza box problem — and why it might kill Teflon Pizza Boxes Problem Fogs like peanut butter in a jar or grease on a cardboard pizza box are next to impossible to fully remove. The problem with the pizza box starts with the pie itself. Let’s consider what makes the pizza so perfect—not the alchemy between sauce and cheese, but. Cardboard for pizza boxes have been made resistant to both grease and steam. Pizza Boxes Problem.
From constellationist.wordpress.com
The Great Pizza Box Problem constellationist Pizza Boxes Problem The problem with the pizza box starts with the pie itself. One of the main issues with pizza boxes is that they are often contaminated with grease and food residue. Pizza predates the manhattan project. They are a convenient way to transport and. Although pizza technically isn’t the problem, it’s the box. Fogs like peanut butter in a jar or. Pizza Boxes Problem.
From www.indiamart.com
Cardboard Single Phase 2 Ply Pizza Packaging Corrugated Box at Rs 5.5 Pizza Boxes Problem Pizza isn’t the problem, it’s the box, specifically the fluorocarbons used to make the box resistant to both grease and steam. Cardboard for pizza boxes have been made resistant to both grease and steam using fluorocarbons. Let’s consider what makes the pizza so perfect—not the alchemy between sauce and cheese, but. The problem with pizza boxes. Pizza boxes are a. Pizza Boxes Problem.
From www.jockeyfrog.com
How to Build Your Brand Narrative with the Help of Personalized Pizza Boxes Pizza Boxes Problem This means that they cannot be recycled. Pizza isn’t the problem, it’s the box, specifically the fluorocarbons used to make the box resistant to both grease and steam. One of the main issues with pizza boxes is that they are often contaminated with grease and food residue. They are a convenient way to transport and. Yes, pizza boxes are recyclable,. Pizza Boxes Problem.
From catapak.co.uk
15" Printed Pizza Boxes Pizza Boxes Problem The problem with pizza boxes. This means that they cannot be recycled. One of the main issues with pizza boxes is that they are often contaminated with grease and food residue. Cardboard for pizza boxes have been made resistant to both grease and steam using fluorocarbons. Let’s consider what makes the pizza so perfect—not the alchemy between sauce and cheese,. Pizza Boxes Problem.
From graphicsfamily.com
Pizza Box PSD Mockup GraphicsFamily Pizza Boxes Problem Although pizza technically isn’t the problem, it’s the box. This means that they cannot be recycled. Let’s consider what makes the pizza so perfect—not the alchemy between sauce and cheese, but. Pizza predates the manhattan project. Pizza isn’t the problem, it’s the box, specifically the fluorocarbons used to make the box resistant to both grease and steam. Yes, pizza boxes. Pizza Boxes Problem.
From www.medicaldesignandoutsourcing.com
The pizza box problem It might kill everything from Teflon to drugs Pizza Boxes Problem Pizza predates the manhattan project. Although pizza technically isn’t the problem, it’s the box. One of the main issues with pizza boxes is that they are often contaminated with grease and food residue. Pizza boxes are a common sight in households and offices all over the world. This means that they cannot be recycled. Cardboard for pizza boxes have been. Pizza Boxes Problem.
From blackpackaging.com
Cheap Custom Pizza Boxes 70 OFF & FREE SHIPPING Pizza Boxes Problem Cardboard for pizza boxes have been made resistant to both grease and steam using fluorocarbons. Although pizza technically isn’t the problem, it’s the box. Pizza isn’t the problem, it’s the box, specifically the fluorocarbons used to make the box resistant to both grease and steam. One of the main issues with pizza boxes is that they are often contaminated with. Pizza Boxes Problem.
From ivypanda.com
Pizza Box Optimization Packaging Problem 1867 Words Report Example Pizza Boxes Problem Cardboard for pizza boxes have been made resistant to both grease and steam using fluorocarbons. One of the main issues with pizza boxes is that they are often contaminated with grease and food residue. They are a convenient way to transport and. The problem with pizza boxes. Pizza boxes are a common sight in households and offices all over the. Pizza Boxes Problem.
From free3d.com
Carton Pizza Box with Handle 3D Model 24 .3ds .blend .c4d .fbx .max Pizza Boxes Problem They are a convenient way to transport and. Pizza predates the manhattan project. This means that they cannot be recycled. Pizza isn’t the problem, it’s the box, specifically the fluorocarbons used to make the box resistant to both grease and steam. Pizza boxes are a common sight in households and offices all over the world. One of the main issues. Pizza Boxes Problem.
From www.empresspackaging.com
Disposable Pizza Boxes Pizza Boxes Problem They are a convenient way to transport and. Although pizza technically isn’t the problem, it’s the box. The problem with the pizza box starts with the pie itself. One of the main issues with pizza boxes is that they are often contaminated with grease and food residue. Fogs like peanut butter in a jar or grease on a cardboard pizza. Pizza Boxes Problem.
From www.ffcr-helsinki.com
Pizza boxes Fastfood & Ravintola Helsinki Pizza Boxes Problem The problem with the pizza box starts with the pie itself. The problem with pizza boxes. Although pizza technically isn’t the problem, it’s the box. Pizza boxes are a common sight in households and offices all over the world. One of the main issues with pizza boxes is that they are often contaminated with grease and food residue. Pizza isn’t. Pizza Boxes Problem.
From cartoondealer.com
Pizza Boxes Stacked Vertical, Fresh Pepperoni Pizza RoyaltyFree Stock Pizza Boxes Problem Although pizza technically isn’t the problem, it’s the box. Cardboard for pizza boxes have been made resistant to both grease and steam using fluorocarbons. Pizza isn’t the problem, it’s the box, specifically the fluorocarbons used to make the box resistant to both grease and steam. They are a convenient way to transport and. Yes, pizza boxes are recyclable, as long. Pizza Boxes Problem.
From ivypanda.com
Pizza Box Optimization Packaging Problem 1867 Words Report Example Pizza Boxes Problem The problem with pizza boxes. Fogs like peanut butter in a jar or grease on a cardboard pizza box are next to impossible to fully remove. Yes, pizza boxes are recyclable, as long as they’re empty and not super greasy or wet, according to the paper box industry and. One of the main issues with pizza boxes is that they. Pizza Boxes Problem.
From issuu.com
The pizza box problem — and why it might kill Teflon Issuu Pizza Boxes Problem Cardboard for pizza boxes have been made resistant to both grease and steam using fluorocarbons. Let’s consider what makes the pizza so perfect—not the alchemy between sauce and cheese, but. One of the main issues with pizza boxes is that they are often contaminated with grease and food residue. Pizza isn’t the problem, it’s the box, specifically the fluorocarbons used. Pizza Boxes Problem.
From loaneginger3.blogspot.com
Packaging Product Prindted Boxes We carry plain white pizza boxes that Pizza Boxes Problem The problem with the pizza box starts with the pie itself. Pizza boxes are a common sight in households and offices all over the world. Pizza predates the manhattan project. This means that they cannot be recycled. They are a convenient way to transport and. The problem with pizza boxes. Yes, pizza boxes are recyclable, as long as they’re empty. Pizza Boxes Problem.