What Is Chattel Mortgage Registration . They come with a higher cost than a. key features of chattel mortgage; a chattel mortgage is a loan arrangement where the borrower offers personal property (chattel) as collateral to. chattel mortgages are used to finance movable assets separately from the land they occupy. How it’s different from traditional loans? A chattel mortgage is a mortgage on movable property that uses the property as collateral to back the loan. what is a chattel mortgage? a chattel mortgage is a type of mortgage used to purchase movable property, like a manufactured home, but not the land the property sits. a chattel mortgage is a loan given to individuals and companies with the movable property collateral against the loan. by a chattel mortgage, personal property is recorded in the chattel mortgage register as a security for the performance of an.
from www.pinterest.com
A chattel mortgage is a mortgage on movable property that uses the property as collateral to back the loan. a chattel mortgage is a loan given to individuals and companies with the movable property collateral against the loan. key features of chattel mortgage; by a chattel mortgage, personal property is recorded in the chattel mortgage register as a security for the performance of an. a chattel mortgage is a type of mortgage used to purchase movable property, like a manufactured home, but not the land the property sits. what is a chattel mortgage? They come with a higher cost than a. How it’s different from traditional loans? chattel mortgages are used to finance movable assets separately from the land they occupy. a chattel mortgage is a loan arrangement where the borrower offers personal property (chattel) as collateral to.
What is Chattel Mortgage? in 2021 Mortgage, Mortgage loans, Modular homes
What Is Chattel Mortgage Registration a chattel mortgage is a loan given to individuals and companies with the movable property collateral against the loan. A chattel mortgage is a mortgage on movable property that uses the property as collateral to back the loan. what is a chattel mortgage? How it’s different from traditional loans? key features of chattel mortgage; a chattel mortgage is a loan arrangement where the borrower offers personal property (chattel) as collateral to. They come with a higher cost than a. chattel mortgages are used to finance movable assets separately from the land they occupy. a chattel mortgage is a type of mortgage used to purchase movable property, like a manufactured home, but not the land the property sits. a chattel mortgage is a loan given to individuals and companies with the movable property collateral against the loan. by a chattel mortgage, personal property is recorded in the chattel mortgage register as a security for the performance of an.
From www.scribd.com
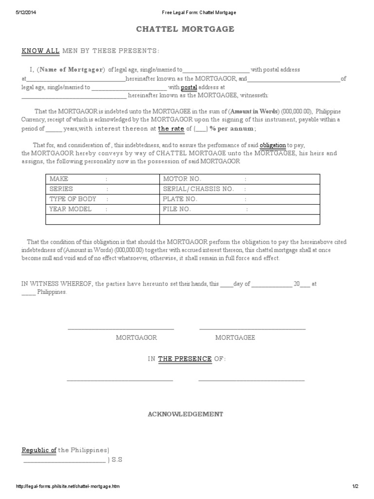
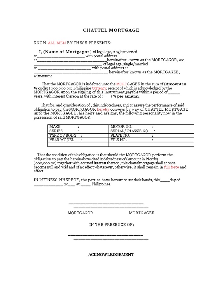
Chattel Mortgage PDF Mortgage Law Power Of Attorney What Is Chattel Mortgage Registration what is a chattel mortgage? chattel mortgages are used to finance movable assets separately from the land they occupy. a chattel mortgage is a type of mortgage used to purchase movable property, like a manufactured home, but not the land the property sits. key features of chattel mortgage; A chattel mortgage is a mortgage on movable. What Is Chattel Mortgage Registration.
From www.dochub.com
Chattel mortgage Fill out & sign online DocHub What Is Chattel Mortgage Registration They come with a higher cost than a. a chattel mortgage is a loan arrangement where the borrower offers personal property (chattel) as collateral to. what is a chattel mortgage? by a chattel mortgage, personal property is recorded in the chattel mortgage register as a security for the performance of an. key features of chattel mortgage;. What Is Chattel Mortgage Registration.
From loan-faqs.com
A "chattel Mortgage" Is A Loan Which Is Secured By What Is Chattel Mortgage Registration key features of chattel mortgage; a chattel mortgage is a loan given to individuals and companies with the movable property collateral against the loan. by a chattel mortgage, personal property is recorded in the chattel mortgage register as a security for the performance of an. what is a chattel mortgage? A chattel mortgage is a mortgage. What Is Chattel Mortgage Registration.
From www.slideshare.net
Chattel Mortgage Fact Sheet What Is Chattel Mortgage Registration chattel mortgages are used to finance movable assets separately from the land they occupy. by a chattel mortgage, personal property is recorded in the chattel mortgage register as a security for the performance of an. They come with a higher cost than a. a chattel mortgage is a type of mortgage used to purchase movable property, like. What Is Chattel Mortgage Registration.
From www.pinterest.com
What is Chattel Mortgage? in 2021 Mortgage, Mortgage loans, Modular homes What Is Chattel Mortgage Registration a chattel mortgage is a loan given to individuals and companies with the movable property collateral against the loan. what is a chattel mortgage? chattel mortgages are used to finance movable assets separately from the land they occupy. key features of chattel mortgage; a chattel mortgage is a type of mortgage used to purchase movable. What Is Chattel Mortgage Registration.
From www.scribd.com
Example of Chattel Mortgage Mortgage Law Philippines What Is Chattel Mortgage Registration How it’s different from traditional loans? a chattel mortgage is a type of mortgage used to purchase movable property, like a manufactured home, but not the land the property sits. by a chattel mortgage, personal property is recorded in the chattel mortgage register as a security for the performance of an. chattel mortgages are used to finance. What Is Chattel Mortgage Registration.
From www.scribd.com
Chattel Mortgage Sample PDF What Is Chattel Mortgage Registration How it’s different from traditional loans? by a chattel mortgage, personal property is recorded in the chattel mortgage register as a security for the performance of an. a chattel mortgage is a loan arrangement where the borrower offers personal property (chattel) as collateral to. key features of chattel mortgage; what is a chattel mortgage? a. What Is Chattel Mortgage Registration.
From www.worldinforms.com
Chattel Mortgage What It Is, How It Works & Why Use It Today World What Is Chattel Mortgage Registration a chattel mortgage is a loan given to individuals and companies with the movable property collateral against the loan. what is a chattel mortgage? by a chattel mortgage, personal property is recorded in the chattel mortgage register as a security for the performance of an. chattel mortgages are used to finance movable assets separately from the. What Is Chattel Mortgage Registration.
From www.housedigest.com
What You Need To Know About A Chattel Mortgage What Is Chattel Mortgage Registration A chattel mortgage is a mortgage on movable property that uses the property as collateral to back the loan. what is a chattel mortgage? a chattel mortgage is a loan given to individuals and companies with the movable property collateral against the loan. They come with a higher cost than a. a chattel mortgage is a type. What Is Chattel Mortgage Registration.
From www.loan-s.com.au
What Is Chattel Mortgage? Loans What Is Chattel Mortgage Registration chattel mortgages are used to finance movable assets separately from the land they occupy. key features of chattel mortgage; a chattel mortgage is a loan arrangement where the borrower offers personal property (chattel) as collateral to. what is a chattel mortgage? by a chattel mortgage, personal property is recorded in the chattel mortgage register as. What Is Chattel Mortgage Registration.
From www.woodwardfinance.com.au
What is a Chattel Mortgage A Complete Guide What Is Chattel Mortgage Registration what is a chattel mortgage? chattel mortgages are used to finance movable assets separately from the land they occupy. a chattel mortgage is a type of mortgage used to purchase movable property, like a manufactured home, but not the land the property sits. A chattel mortgage is a mortgage on movable property that uses the property as. What Is Chattel Mortgage Registration.
From www.carloans.com.au
Chattel Mortgage What is it and how does it work? What Is Chattel Mortgage Registration by a chattel mortgage, personal property is recorded in the chattel mortgage register as a security for the performance of an. a chattel mortgage is a type of mortgage used to purchase movable property, like a manufactured home, but not the land the property sits. key features of chattel mortgage; They come with a higher cost than. What Is Chattel Mortgage Registration.
From www.scribd.com
Chattel Mortgage Mortgage Law Civil Law Law) What Is Chattel Mortgage Registration a chattel mortgage is a loan given to individuals and companies with the movable property collateral against the loan. A chattel mortgage is a mortgage on movable property that uses the property as collateral to back the loan. key features of chattel mortgage; They come with a higher cost than a. a chattel mortgage is a loan. What Is Chattel Mortgage Registration.
From www.scribd.com
Chattel Mortgage Mortgage Law Security Interest What Is Chattel Mortgage Registration a chattel mortgage is a loan given to individuals and companies with the movable property collateral against the loan. How it’s different from traditional loans? a chattel mortgage is a loan arrangement where the borrower offers personal property (chattel) as collateral to. what is a chattel mortgage? chattel mortgages are used to finance movable assets separately. What Is Chattel Mortgage Registration.
From finty.com
What is a chattel mortgage and how does it work? What Is Chattel Mortgage Registration They come with a higher cost than a. chattel mortgages are used to finance movable assets separately from the land they occupy. what is a chattel mortgage? How it’s different from traditional loans? a chattel mortgage is a loan arrangement where the borrower offers personal property (chattel) as collateral to. A chattel mortgage is a mortgage on. What Is Chattel Mortgage Registration.
From www.scribd.com
Free Legal Form Chattel Mortgage PDF PDF Mortgage Law Civil Law What Is Chattel Mortgage Registration key features of chattel mortgage; chattel mortgages are used to finance movable assets separately from the land they occupy. How it’s different from traditional loans? a chattel mortgage is a loan arrangement where the borrower offers personal property (chattel) as collateral to. by a chattel mortgage, personal property is recorded in the chattel mortgage register as. What Is Chattel Mortgage Registration.
From marketbusinessnews.com
10 Reasons Why Chattel Mortgage Is A Good Option What Is Chattel Mortgage Registration chattel mortgages are used to finance movable assets separately from the land they occupy. A chattel mortgage is a mortgage on movable property that uses the property as collateral to back the loan. key features of chattel mortgage; a chattel mortgage is a loan given to individuals and companies with the movable property collateral against the loan.. What Is Chattel Mortgage Registration.
From www.scribd.com
Chattel Mortgage Sample PDF Mortgage Law Civil Law Law) What Is Chattel Mortgage Registration a chattel mortgage is a type of mortgage used to purchase movable property, like a manufactured home, but not the land the property sits. by a chattel mortgage, personal property is recorded in the chattel mortgage register as a security for the performance of an. a chattel mortgage is a loan arrangement where the borrower offers personal. What Is Chattel Mortgage Registration.
From nevadalegalforms.com
CHATTEL MORTGAGE Nevada Legal Forms & Services What Is Chattel Mortgage Registration A chattel mortgage is a mortgage on movable property that uses the property as collateral to back the loan. a chattel mortgage is a type of mortgage used to purchase movable property, like a manufactured home, but not the land the property sits. by a chattel mortgage, personal property is recorded in the chattel mortgage register as a. What Is Chattel Mortgage Registration.
From pngtree.com
Chattel Mortgage Registration Application Form Word Template Document What Is Chattel Mortgage Registration A chattel mortgage is a mortgage on movable property that uses the property as collateral to back the loan. They come with a higher cost than a. How it’s different from traditional loans? what is a chattel mortgage? a chattel mortgage is a loan given to individuals and companies with the movable property collateral against the loan. . What Is Chattel Mortgage Registration.
From www.picpedia.org
Chattel Mortgage Free of Charge Creative Commons Legal 1 image What Is Chattel Mortgage Registration a chattel mortgage is a loan given to individuals and companies with the movable property collateral against the loan. chattel mortgages are used to finance movable assets separately from the land they occupy. A chattel mortgage is a mortgage on movable property that uses the property as collateral to back the loan. key features of chattel mortgage;. What Is Chattel Mortgage Registration.
From philvex.com
What is a chattel mortgage and how does it work for car loans? PhilVex What Is Chattel Mortgage Registration A chattel mortgage is a mortgage on movable property that uses the property as collateral to back the loan. a chattel mortgage is a loan arrangement where the borrower offers personal property (chattel) as collateral to. what is a chattel mortgage? How it’s different from traditional loans? a chattel mortgage is a loan given to individuals and. What Is Chattel Mortgage Registration.
From www.youtube.com
What Is A Chattel Mortgage? 5 Things You Have To Know YouTube What Is Chattel Mortgage Registration They come with a higher cost than a. chattel mortgages are used to finance movable assets separately from the land they occupy. a chattel mortgage is a loan given to individuals and companies with the movable property collateral against the loan. a chattel mortgage is a type of mortgage used to purchase movable property, like a manufactured. What Is Chattel Mortgage Registration.
From www.managementnote.com
Chattel Mortgage Meaning and Key Benefits Car and Equipment Loans What Is Chattel Mortgage Registration by a chattel mortgage, personal property is recorded in the chattel mortgage register as a security for the performance of an. chattel mortgages are used to finance movable assets separately from the land they occupy. a chattel mortgage is a type of mortgage used to purchase movable property, like a manufactured home, but not the land the. What Is Chattel Mortgage Registration.
From www.scribd.com
Chattel Mortgage Registration Procedures PDF Mortgage Law Notary What Is Chattel Mortgage Registration They come with a higher cost than a. by a chattel mortgage, personal property is recorded in the chattel mortgage register as a security for the performance of an. a chattel mortgage is a loan arrangement where the borrower offers personal property (chattel) as collateral to. key features of chattel mortgage; what is a chattel mortgage?. What Is Chattel Mortgage Registration.
From www.e-bas.com.au
The bookkeeping behind an asset purchase via a Chattel Mortgage — eBAS What Is Chattel Mortgage Registration key features of chattel mortgage; A chattel mortgage is a mortgage on movable property that uses the property as collateral to back the loan. They come with a higher cost than a. by a chattel mortgage, personal property is recorded in the chattel mortgage register as a security for the performance of an. a chattel mortgage is. What Is Chattel Mortgage Registration.
From www.scribd.com
Legal Forms Chattel Mortgage PDF Mortgage Law Property What Is Chattel Mortgage Registration A chattel mortgage is a mortgage on movable property that uses the property as collateral to back the loan. a chattel mortgage is a type of mortgage used to purchase movable property, like a manufactured home, but not the land the property sits. chattel mortgages are used to finance movable assets separately from the land they occupy. . What Is Chattel Mortgage Registration.
From www.uslegalforms.com
Chattel Mortgage on Mobile Home Chattel Form Paper US Legal Forms What Is Chattel Mortgage Registration what is a chattel mortgage? How it’s different from traditional loans? by a chattel mortgage, personal property is recorded in the chattel mortgage register as a security for the performance of an. They come with a higher cost than a. key features of chattel mortgage; a chattel mortgage is a type of mortgage used to purchase. What Is Chattel Mortgage Registration.
From www.scribd.com
Chattel Mortgage All Men PDF Mortgage Law Personal Finance What Is Chattel Mortgage Registration a chattel mortgage is a loan given to individuals and companies with the movable property collateral against the loan. by a chattel mortgage, personal property is recorded in the chattel mortgage register as a security for the performance of an. They come with a higher cost than a. a chattel mortgage is a loan arrangement where the. What Is Chattel Mortgage Registration.
From www.scribd.com
Chattel Mortgage Sample Form Mortgage Law Natural Resources Law What Is Chattel Mortgage Registration How it’s different from traditional loans? chattel mortgages are used to finance movable assets separately from the land they occupy. key features of chattel mortgage; a chattel mortgage is a loan arrangement where the borrower offers personal property (chattel) as collateral to. by a chattel mortgage, personal property is recorded in the chattel mortgage register as. What Is Chattel Mortgage Registration.
From casaplorer.com
What is a Chattel Mortgage? Casaplorer What Is Chattel Mortgage Registration by a chattel mortgage, personal property is recorded in the chattel mortgage register as a security for the performance of an. what is a chattel mortgage? How it’s different from traditional loans? a chattel mortgage is a type of mortgage used to purchase movable property, like a manufactured home, but not the land the property sits. They. What Is Chattel Mortgage Registration.
From theamberpost.com
What is a Chattel Mortgage? A Comprehensive Guide TheAmberPost What Is Chattel Mortgage Registration key features of chattel mortgage; a chattel mortgage is a loan given to individuals and companies with the movable property collateral against the loan. by a chattel mortgage, personal property is recorded in the chattel mortgage register as a security for the performance of an. chattel mortgages are used to finance movable assets separately from the. What Is Chattel Mortgage Registration.
From foundersguide.com
Chattel Mortgage For Business Owners A Quick Guide Founder's Guide What Is Chattel Mortgage Registration chattel mortgages are used to finance movable assets separately from the land they occupy. a chattel mortgage is a loan arrangement where the borrower offers personal property (chattel) as collateral to. by a chattel mortgage, personal property is recorded in the chattel mortgage register as a security for the performance of an. How it’s different from traditional. What Is Chattel Mortgage Registration.
From www.autodeal.com.ph
What is a chattel mortgage for auto loans and how does it work? Autodeal What Is Chattel Mortgage Registration chattel mortgages are used to finance movable assets separately from the land they occupy. a chattel mortgage is a loan arrangement where the borrower offers personal property (chattel) as collateral to. a chattel mortgage is a type of mortgage used to purchase movable property, like a manufactured home, but not the land the property sits. a. What Is Chattel Mortgage Registration.
From legal-explanations.com
Chattel Mortgage Definition What Does Chattel Mortgage Mean? What Is Chattel Mortgage Registration a chattel mortgage is a loan given to individuals and companies with the movable property collateral against the loan. key features of chattel mortgage; what is a chattel mortgage? a chattel mortgage is a type of mortgage used to purchase movable property, like a manufactured home, but not the land the property sits. chattel mortgages. What Is Chattel Mortgage Registration.