Capacitor And Resistor Circuit Problems . The time constant τ for an rc circuit is τ=rc. An rc circuit is one that has both a resistor and a capacitor. As such, adding a capacitor to a series circuit will decrease the equivalent capacitance (just as adding a resistor to a parallel circuit decreases. Explain why batteries in a flashlight gradually lose power. Capacitors, like batteries, have internal resistance, so their output voltage is not an emf unless current is zero. When an initially uncharged capacitor in series with a resistor is charged by a. Explain the importance of the time constant, τ, and calculate the time constant for a given resistance and capacitance. A simple explanation of an rc circuit. Explain why batteries in a flashlight gradually lose power. Learn what an rc circuit is, series & parallel rc circuits, and the equations & transfer function for an rc circuit. Explain the importance of the time constant, τ, and calculate the time constant for a given resistance and capacitance. This is difficult to measure in.
from forum.arduino.cc
Capacitors, like batteries, have internal resistance, so their output voltage is not an emf unless current is zero. Learn what an rc circuit is, series & parallel rc circuits, and the equations & transfer function for an rc circuit. This is difficult to measure in. Explain why batteries in a flashlight gradually lose power. An rc circuit is one that has both a resistor and a capacitor. When an initially uncharged capacitor in series with a resistor is charged by a. Explain the importance of the time constant, τ, and calculate the time constant for a given resistance and capacitance. As such, adding a capacitor to a series circuit will decrease the equivalent capacitance (just as adding a resistor to a parallel circuit decreases. Explain the importance of the time constant, τ, and calculate the time constant for a given resistance and capacitance. The time constant τ for an rc circuit is τ=rc.
Do You Need a Resistor with a Capacitor?
Capacitor And Resistor Circuit Problems As such, adding a capacitor to a series circuit will decrease the equivalent capacitance (just as adding a resistor to a parallel circuit decreases. A simple explanation of an rc circuit. Explain the importance of the time constant, τ, and calculate the time constant for a given resistance and capacitance. Explain the importance of the time constant, τ, and calculate the time constant for a given resistance and capacitance. This is difficult to measure in. Explain why batteries in a flashlight gradually lose power. Explain why batteries in a flashlight gradually lose power. The time constant τ for an rc circuit is τ=rc. When an initially uncharged capacitor in series with a resistor is charged by a. An rc circuit is one that has both a resistor and a capacitor. Capacitors, like batteries, have internal resistance, so their output voltage is not an emf unless current is zero. Learn what an rc circuit is, series & parallel rc circuits, and the equations & transfer function for an rc circuit. As such, adding a capacitor to a series circuit will decrease the equivalent capacitance (just as adding a resistor to a parallel circuit decreases.
From belize.desertcart.com
Buy VCC Power Supply Short Circuit Detector, 4 Voltage Outputs, Metal Capacitor And Resistor Circuit Problems As such, adding a capacitor to a series circuit will decrease the equivalent capacitance (just as adding a resistor to a parallel circuit decreases. Explain why batteries in a flashlight gradually lose power. Learn what an rc circuit is, series & parallel rc circuits, and the equations & transfer function for an rc circuit. The time constant τ for an. Capacitor And Resistor Circuit Problems.
From www.youtube.com
Capacitor Discharge through a Resistor Analysis of the Experiment Capacitor And Resistor Circuit Problems Explain the importance of the time constant, τ, and calculate the time constant for a given resistance and capacitance. Explain the importance of the time constant, τ, and calculate the time constant for a given resistance and capacitance. Explain why batteries in a flashlight gradually lose power. When an initially uncharged capacitor in series with a resistor is charged by. Capacitor And Resistor Circuit Problems.
From wiring.ekocraft-appleleaf.com
How To Solve Parallel Rc Circuit Problems Wiring Diagram Capacitor And Resistor Circuit Problems The time constant τ for an rc circuit is τ=rc. Learn what an rc circuit is, series & parallel rc circuits, and the equations & transfer function for an rc circuit. Capacitors, like batteries, have internal resistance, so their output voltage is not an emf unless current is zero. A simple explanation of an rc circuit. Explain why batteries in. Capacitor And Resistor Circuit Problems.
From pressbooks.online.ucf.edu
19.6 Capacitors in Series and Parallel College Physics Capacitor And Resistor Circuit Problems A simple explanation of an rc circuit. Explain why batteries in a flashlight gradually lose power. As such, adding a capacitor to a series circuit will decrease the equivalent capacitance (just as adding a resistor to a parallel circuit decreases. Explain the importance of the time constant, τ, and calculate the time constant for a given resistance and capacitance. When. Capacitor And Resistor Circuit Problems.
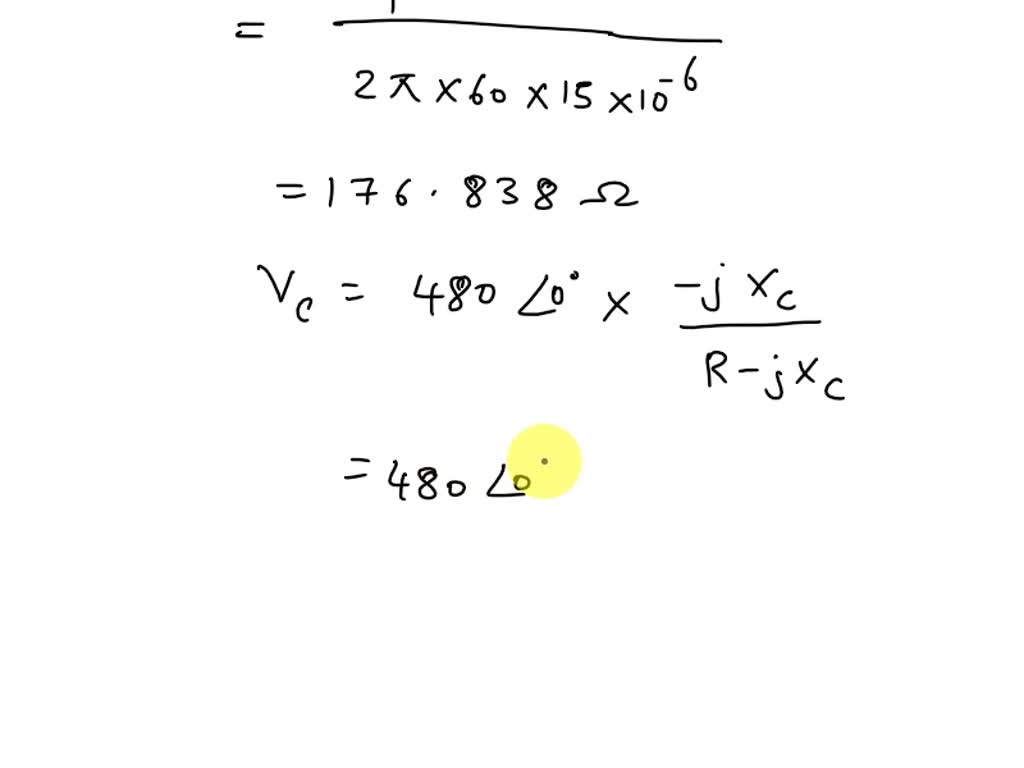
From www.numerade.com
A 15μF AC capacitor is connected in series with a 50Ω resistor. The Capacitor And Resistor Circuit Problems Learn what an rc circuit is, series & parallel rc circuits, and the equations & transfer function for an rc circuit. Explain why batteries in a flashlight gradually lose power. The time constant τ for an rc circuit is τ=rc. A simple explanation of an rc circuit. An rc circuit is one that has both a resistor and a capacitor.. Capacitor And Resistor Circuit Problems.
From www.circuits-diy.com
Capacitors vs. Resistors Choosing the Right One Capacitor And Resistor Circuit Problems Explain the importance of the time constant, τ, and calculate the time constant for a given resistance and capacitance. Learn what an rc circuit is, series & parallel rc circuits, and the equations & transfer function for an rc circuit. When an initially uncharged capacitor in series with a resistor is charged by a. Capacitors, like batteries, have internal resistance,. Capacitor And Resistor Circuit Problems.
From www.youtube.com
AC Circuit Resistor and a Capacitor in series YouTube Capacitor And Resistor Circuit Problems Explain why batteries in a flashlight gradually lose power. Explain the importance of the time constant, τ, and calculate the time constant for a given resistance and capacitance. As such, adding a capacitor to a series circuit will decrease the equivalent capacitance (just as adding a resistor to a parallel circuit decreases. Explain the importance of the time constant, τ,. Capacitor And Resistor Circuit Problems.
From alhaytlna.blogspot.com
Resistor Capacitor Circuit Capacitor And Resistor Circuit Problems When an initially uncharged capacitor in series with a resistor is charged by a. A simple explanation of an rc circuit. The time constant τ for an rc circuit is τ=rc. Learn what an rc circuit is, series & parallel rc circuits, and the equations & transfer function for an rc circuit. As such, adding a capacitor to a series. Capacitor And Resistor Circuit Problems.
From ar.inspiredpencil.com
Capacitor Circuit Problems Capacitor And Resistor Circuit Problems As such, adding a capacitor to a series circuit will decrease the equivalent capacitance (just as adding a resistor to a parallel circuit decreases. Capacitors, like batteries, have internal resistance, so their output voltage is not an emf unless current is zero. Learn what an rc circuit is, series & parallel rc circuits, and the equations & transfer function for. Capacitor And Resistor Circuit Problems.
From electricalacademia.com
Capacitor Charging Equation RC Circuit Charging Matlab Electrical Capacitor And Resistor Circuit Problems The time constant τ for an rc circuit is τ=rc. Capacitors, like batteries, have internal resistance, so their output voltage is not an emf unless current is zero. Explain why batteries in a flashlight gradually lose power. Learn what an rc circuit is, series & parallel rc circuits, and the equations & transfer function for an rc circuit. Explain the. Capacitor And Resistor Circuit Problems.
From guideingerivasze.z4.web.core.windows.net
Wiring Capacitors In Series And Parallel Capacitor And Resistor Circuit Problems Learn what an rc circuit is, series & parallel rc circuits, and the equations & transfer function for an rc circuit. When an initially uncharged capacitor in series with a resistor is charged by a. The time constant τ for an rc circuit is τ=rc. Explain why batteries in a flashlight gradually lose power. This is difficult to measure in.. Capacitor And Resistor Circuit Problems.
From pressbooks.online.ucf.edu
21.6 DC Circuits Containing Resistors and Capacitors College Physics Capacitor And Resistor Circuit Problems The time constant τ for an rc circuit is τ=rc. As such, adding a capacitor to a series circuit will decrease the equivalent capacitance (just as adding a resistor to a parallel circuit decreases. Explain the importance of the time constant, τ, and calculate the time constant for a given resistance and capacitance. When an initially uncharged capacitor in series. Capacitor And Resistor Circuit Problems.
From www.myxxgirl.com
Resistance Series Parallel Resistor Calculations Electrical My XXX Capacitor And Resistor Circuit Problems This is difficult to measure in. The time constant τ for an rc circuit is τ=rc. Explain the importance of the time constant, τ, and calculate the time constant for a given resistance and capacitance. When an initially uncharged capacitor in series with a resistor is charged by a. Learn what an rc circuit is, series & parallel rc circuits,. Capacitor And Resistor Circuit Problems.
From www.youtube.com
AC Analysis Series Resistor/Inductor/Capacitor Circuit YouTube Capacitor And Resistor Circuit Problems The time constant τ for an rc circuit is τ=rc. A simple explanation of an rc circuit. An rc circuit is one that has both a resistor and a capacitor. When an initially uncharged capacitor in series with a resistor is charged by a. Capacitors, like batteries, have internal resistance, so their output voltage is not an emf unless current. Capacitor And Resistor Circuit Problems.
From forum.arduino.cc
Do You Need a Resistor with a Capacitor? Capacitor And Resistor Circuit Problems When an initially uncharged capacitor in series with a resistor is charged by a. Explain the importance of the time constant, τ, and calculate the time constant for a given resistance and capacitance. Capacitors, like batteries, have internal resistance, so their output voltage is not an emf unless current is zero. Learn what an rc circuit is, series & parallel. Capacitor And Resistor Circuit Problems.
From circuitdiagrammiami.z14.web.core.windows.net
How To Solve Complex Circuit Diagrams Capacitor And Resistor Circuit Problems Capacitors, like batteries, have internal resistance, so their output voltage is not an emf unless current is zero. The time constant τ for an rc circuit is τ=rc. A simple explanation of an rc circuit. Explain the importance of the time constant, τ, and calculate the time constant for a given resistance and capacitance. Learn what an rc circuit is,. Capacitor And Resistor Circuit Problems.
From askfilo.com
A resistor, an inductor and a capacitor are connected in series with an a.. Capacitor And Resistor Circuit Problems The time constant τ for an rc circuit is τ=rc. Explain why batteries in a flashlight gradually lose power. An rc circuit is one that has both a resistor and a capacitor. This is difficult to measure in. Learn what an rc circuit is, series & parallel rc circuits, and the equations & transfer function for an rc circuit. As. Capacitor And Resistor Circuit Problems.
From www.youtube.com
Resistors and Capacitors YouTube Capacitor And Resistor Circuit Problems Learn what an rc circuit is, series & parallel rc circuits, and the equations & transfer function for an rc circuit. Explain why batteries in a flashlight gradually lose power. A simple explanation of an rc circuit. The time constant τ for an rc circuit is τ=rc. Explain why batteries in a flashlight gradually lose power. When an initially uncharged. Capacitor And Resistor Circuit Problems.
From www.inchcalculator.com
Resistor Capacitor Circuit Calculator Inch Calculator Capacitor And Resistor Circuit Problems Explain the importance of the time constant, τ, and calculate the time constant for a given resistance and capacitance. Explain why batteries in a flashlight gradually lose power. The time constant τ for an rc circuit is τ=rc. An rc circuit is one that has both a resistor and a capacitor. Learn what an rc circuit is, series & parallel. Capacitor And Resistor Circuit Problems.
From www.youtube.com
Equivalent Capacitance for Capacitors in Series and Parallel Circuits Capacitor And Resistor Circuit Problems Capacitors, like batteries, have internal resistance, so their output voltage is not an emf unless current is zero. Explain why batteries in a flashlight gradually lose power. Explain why batteries in a flashlight gradually lose power. Learn what an rc circuit is, series & parallel rc circuits, and the equations & transfer function for an rc circuit. As such, adding. Capacitor And Resistor Circuit Problems.
From www.transtutors.com
(Solved) In this switched capacitor circuits, How is the Equivalent Capacitor And Resistor Circuit Problems Learn what an rc circuit is, series & parallel rc circuits, and the equations & transfer function for an rc circuit. As such, adding a capacitor to a series circuit will decrease the equivalent capacitance (just as adding a resistor to a parallel circuit decreases. When an initially uncharged capacitor in series with a resistor is charged by a. The. Capacitor And Resistor Circuit Problems.
From www.dreamstime.com
Integrated Circuit, Resistors and Capacitor Soldered on PCB Stock Photo Capacitor And Resistor Circuit Problems A simple explanation of an rc circuit. Explain the importance of the time constant, τ, and calculate the time constant for a given resistance and capacitance. Explain why batteries in a flashlight gradually lose power. This is difficult to measure in. Explain the importance of the time constant, τ, and calculate the time constant for a given resistance and capacitance.. Capacitor And Resistor Circuit Problems.
From www.docsity.com
9. Capacitor and Resistor Circuits Study notes Law Docsity Capacitor And Resistor Circuit Problems An rc circuit is one that has both a resistor and a capacitor. As such, adding a capacitor to a series circuit will decrease the equivalent capacitance (just as adding a resistor to a parallel circuit decreases. Explain the importance of the time constant, τ, and calculate the time constant for a given resistance and capacitance. This is difficult to. Capacitor And Resistor Circuit Problems.
From courses.lumenlearning.com
DC Circuits Containing Resistors and Capacitors Physics Capacitor And Resistor Circuit Problems When an initially uncharged capacitor in series with a resistor is charged by a. Explain the importance of the time constant, τ, and calculate the time constant for a given resistance and capacitance. As such, adding a capacitor to a series circuit will decrease the equivalent capacitance (just as adding a resistor to a parallel circuit decreases. Explain why batteries. Capacitor And Resistor Circuit Problems.
From studylib.net
Resistor Capacitor (RC) Circuits Capacitor And Resistor Circuit Problems As such, adding a capacitor to a series circuit will decrease the equivalent capacitance (just as adding a resistor to a parallel circuit decreases. This is difficult to measure in. When an initially uncharged capacitor in series with a resistor is charged by a. A simple explanation of an rc circuit. Explain the importance of the time constant, τ, and. Capacitor And Resistor Circuit Problems.
From www.youtube.com
Resistor vs Capacitor ! Difference between Resistor and capacitor YouTube Capacitor And Resistor Circuit Problems When an initially uncharged capacitor in series with a resistor is charged by a. Explain why batteries in a flashlight gradually lose power. Learn what an rc circuit is, series & parallel rc circuits, and the equations & transfer function for an rc circuit. The time constant τ for an rc circuit is τ=rc. This is difficult to measure in.. Capacitor And Resistor Circuit Problems.
From www.chegg.com
Solved A series resistorinductorcapacitor circuit (see Capacitor And Resistor Circuit Problems This is difficult to measure in. A simple explanation of an rc circuit. Explain why batteries in a flashlight gradually lose power. An rc circuit is one that has both a resistor and a capacitor. As such, adding a capacitor to a series circuit will decrease the equivalent capacitance (just as adding a resistor to a parallel circuit decreases. Explain. Capacitor And Resistor Circuit Problems.
From pressbooks.online.ucf.edu
21.6 DC Circuits Containing Resistors and Capacitors College Physics Capacitor And Resistor Circuit Problems A simple explanation of an rc circuit. Explain why batteries in a flashlight gradually lose power. As such, adding a capacitor to a series circuit will decrease the equivalent capacitance (just as adding a resistor to a parallel circuit decreases. Capacitors, like batteries, have internal resistance, so their output voltage is not an emf unless current is zero. An rc. Capacitor And Resistor Circuit Problems.
From study.com
ResistorCapacitor (RC) Circuits Practice Problems Lesson Capacitor And Resistor Circuit Problems This is difficult to measure in. As such, adding a capacitor to a series circuit will decrease the equivalent capacitance (just as adding a resistor to a parallel circuit decreases. Capacitors, like batteries, have internal resistance, so their output voltage is not an emf unless current is zero. The time constant τ for an rc circuit is τ=rc. A simple. Capacitor And Resistor Circuit Problems.
From www.chegg.com
Solved Problem 2 A resistor (resistance R2) is connected in Capacitor And Resistor Circuit Problems Explain the importance of the time constant, τ, and calculate the time constant for a given resistance and capacitance. Learn what an rc circuit is, series & parallel rc circuits, and the equations & transfer function for an rc circuit. The time constant τ for an rc circuit is τ=rc. Explain why batteries in a flashlight gradually lose power. A. Capacitor And Resistor Circuit Problems.
From www.homemade-circuits.com
How to Configure Resistors, Capacitors and Transistors in Electronic Capacitor And Resistor Circuit Problems The time constant τ for an rc circuit is τ=rc. Capacitors, like batteries, have internal resistance, so their output voltage is not an emf unless current is zero. Explain the importance of the time constant, τ, and calculate the time constant for a given resistance and capacitance. A simple explanation of an rc circuit. Explain the importance of the time. Capacitor And Resistor Circuit Problems.
From nerdytechy.com
Capacitors in Series, Parallel and Mixed Explained NerdyTechy Capacitor And Resistor Circuit Problems As such, adding a capacitor to a series circuit will decrease the equivalent capacitance (just as adding a resistor to a parallel circuit decreases. This is difficult to measure in. Capacitors, like batteries, have internal resistance, so their output voltage is not an emf unless current is zero. Explain the importance of the time constant, τ, and calculate the time. Capacitor And Resistor Circuit Problems.
From www.chegg.com
Electrical Engineering Archive March 16, 2017 Capacitor And Resistor Circuit Problems An rc circuit is one that has both a resistor and a capacitor. Explain why batteries in a flashlight gradually lose power. Explain why batteries in a flashlight gradually lose power. When an initially uncharged capacitor in series with a resistor is charged by a. Explain the importance of the time constant, τ, and calculate the time constant for a. Capacitor And Resistor Circuit Problems.
From diagramdatasoftball.z14.web.core.windows.net
How To Build A Simple Capacitor Circuit Capacitor And Resistor Circuit Problems When an initially uncharged capacitor in series with a resistor is charged by a. Capacitors, like batteries, have internal resistance, so their output voltage is not an emf unless current is zero. Explain why batteries in a flashlight gradually lose power. Learn what an rc circuit is, series & parallel rc circuits, and the equations & transfer function for an. Capacitor And Resistor Circuit Problems.
From jordannewslucas.blogspot.com
Define Capacitance of a Capacitor and Its Si Unit Capacitor And Resistor Circuit Problems Learn what an rc circuit is, series & parallel rc circuits, and the equations & transfer function for an rc circuit. Explain why batteries in a flashlight gradually lose power. An rc circuit is one that has both a resistor and a capacitor. Capacitors, like batteries, have internal resistance, so their output voltage is not an emf unless current is. Capacitor And Resistor Circuit Problems.