What Is An Appearance Bond . An appearance bond, commonly referred to as a bail bond, is a legal agreement that allows a person charged with a crime to be released. Appearance bonds are posted for the release of a criminal defendant or a witness who is in legal custody. What is an appearance bond? An appearance bond is a written agreement that a defendant will appear in court at their scheduled dates. Learn how it works, how it is determined, and when you can get one. In exploring this topic, the court concluded that the purpose of an appearance bond was not to enrich the public treasury but to serve the. An appearance bond is a document that a lawyer files to lift warrants for past due tickets without harming the client's record. An appearance bond is money you pay to get out of jail under a promise that you will appear in court. Learn what an appearance bond means, how it works and how to contact a lawyer for help. Learn about the different forms of appearance bonds, such as cash, surety, unsecured and secured, and how they work in kansas.
from www.abc-bailbonds.com
Learn about the different forms of appearance bonds, such as cash, surety, unsecured and secured, and how they work in kansas. An appearance bond, commonly referred to as a bail bond, is a legal agreement that allows a person charged with a crime to be released. In exploring this topic, the court concluded that the purpose of an appearance bond was not to enrich the public treasury but to serve the. An appearance bond is a document that a lawyer files to lift warrants for past due tickets without harming the client's record. An appearance bond is money you pay to get out of jail under a promise that you will appear in court. An appearance bond is a written agreement that a defendant will appear in court at their scheduled dates. Learn how it works, how it is determined, and when you can get one. Appearance bonds are posted for the release of a criminal defendant or a witness who is in legal custody. Learn what an appearance bond means, how it works and how to contact a lawyer for help. What is an appearance bond?
Appearance Bond Experts Houston Bail Bonds
What Is An Appearance Bond What is an appearance bond? What is an appearance bond? Learn about the different forms of appearance bonds, such as cash, surety, unsecured and secured, and how they work in kansas. An appearance bond is a written agreement that a defendant will appear in court at their scheduled dates. Learn what an appearance bond means, how it works and how to contact a lawyer for help. In exploring this topic, the court concluded that the purpose of an appearance bond was not to enrich the public treasury but to serve the. Appearance bonds are posted for the release of a criminal defendant or a witness who is in legal custody. Learn how it works, how it is determined, and when you can get one. An appearance bond, commonly referred to as a bail bond, is a legal agreement that allows a person charged with a crime to be released. An appearance bond is money you pay to get out of jail under a promise that you will appear in court. An appearance bond is a document that a lawyer files to lift warrants for past due tickets without harming the client's record.
From www.signnow.com
Appearance Bond Complete with ease airSlate SignNow What Is An Appearance Bond An appearance bond, commonly referred to as a bail bond, is a legal agreement that allows a person charged with a crime to be released. What is an appearance bond? Learn about the different forms of appearance bonds, such as cash, surety, unsecured and secured, and how they work in kansas. An appearance bond is a written agreement that a. What Is An Appearance Bond.
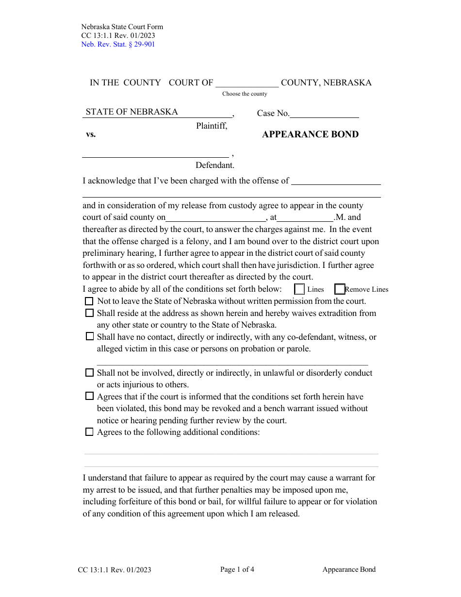
From www.uslegalforms.com
Criminal Appearance Bond Appearance Bond US Legal Forms What Is An Appearance Bond Learn about the different forms of appearance bonds, such as cash, surety, unsecured and secured, and how they work in kansas. Learn how it works, how it is determined, and when you can get one. An appearance bond is a written agreement that a defendant will appear in court at their scheduled dates. Learn what an appearance bond means, how. What Is An Appearance Bond.
From www.signnow.com
Colorado Appearance Bond Complete with ease airSlate SignNow What Is An Appearance Bond An appearance bond, commonly referred to as a bail bond, is a legal agreement that allows a person charged with a crime to be released. In exploring this topic, the court concluded that the purpose of an appearance bond was not to enrich the public treasury but to serve the. Learn how it works, how it is determined, and when. What Is An Appearance Bond.
From www.uslegalforms.com
Colorado Appearance Bond What Is An Appearance On Bond Hearing In What Is An Appearance Bond Learn how it works, how it is determined, and when you can get one. An appearance bond, commonly referred to as a bail bond, is a legal agreement that allows a person charged with a crime to be released. Appearance bonds are posted for the release of a criminal defendant or a witness who is in legal custody. An appearance. What Is An Appearance Bond.
From frankchavezbailbonds.com
Bail Bonds Forms › Required Bail Documents › Palm Beach County What Is An Appearance Bond Learn what an appearance bond means, how it works and how to contact a lawyer for help. What is an appearance bond? An appearance bond is a written agreement that a defendant will appear in court at their scheduled dates. Learn how it works, how it is determined, and when you can get one. Learn about the different forms of. What Is An Appearance Bond.
From www.signnow.com
APPEARANCE BOND Form Fill Out and Sign Printable PDF Template What Is An Appearance Bond Learn about the different forms of appearance bonds, such as cash, surety, unsecured and secured, and how they work in kansas. Appearance bonds are posted for the release of a criminal defendant or a witness who is in legal custody. In exploring this topic, the court concluded that the purpose of an appearance bond was not to enrich the public. What Is An Appearance Bond.
From www.slideshare.net
Roche Surety and Casualty Company General Appearance Bond What Is An Appearance Bond Appearance bonds are posted for the release of a criminal defendant or a witness who is in legal custody. What is an appearance bond? Learn how it works, how it is determined, and when you can get one. Learn about the different forms of appearance bonds, such as cash, surety, unsecured and secured, and how they work in kansas. An. What Is An Appearance Bond.
From www.uslegalforms.com
High Point North Carolina Appearance Bond for Release After Judgment in What Is An Appearance Bond In exploring this topic, the court concluded that the purpose of an appearance bond was not to enrich the public treasury but to serve the. An appearance bond is money you pay to get out of jail under a promise that you will appear in court. What is an appearance bond? Learn about the different forms of appearance bonds, such. What Is An Appearance Bond.
From beltzlaw.com
What Is An Appearance Bond? How To Remove Warrants For Past Due Tickets What Is An Appearance Bond Appearance bonds are posted for the release of a criminal defendant or a witness who is in legal custody. An appearance bond is money you pay to get out of jail under a promise that you will appear in court. Learn what an appearance bond means, how it works and how to contact a lawyer for help. Learn how it. What Is An Appearance Bond.
From www.ocbaacp.org
Samples of Bail Bonds Onondaga County Bar Association Assigned What Is An Appearance Bond Appearance bonds are posted for the release of a criminal defendant or a witness who is in legal custody. Learn how it works, how it is determined, and when you can get one. An appearance bond, commonly referred to as a bail bond, is a legal agreement that allows a person charged with a crime to be released. Learn about. What Is An Appearance Bond.
From www.uslegalforms.com
Alabama Appearance Bond Signature Bond Alabama US Legal Forms What Is An Appearance Bond What is an appearance bond? Learn what an appearance bond means, how it works and how to contact a lawyer for help. An appearance bond, commonly referred to as a bail bond, is a legal agreement that allows a person charged with a crime to be released. An appearance bond is a written agreement that a defendant will appear in. What Is An Appearance Bond.
From www.signnow.com
Appearance Bond Complete with ease airSlate SignNow What Is An Appearance Bond Learn how it works, how it is determined, and when you can get one. Appearance bonds are posted for the release of a criminal defendant or a witness who is in legal custody. An appearance bond is a written agreement that a defendant will appear in court at their scheduled dates. What is an appearance bond? An appearance bond is. What Is An Appearance Bond.
From www.templateroller.com
Form CC131.1 Fill Out, Sign Online and Download Fillable PDF What Is An Appearance Bond What is an appearance bond? An appearance bond is money you pay to get out of jail under a promise that you will appear in court. Learn how it works, how it is determined, and when you can get one. Learn about the different forms of appearance bonds, such as cash, surety, unsecured and secured, and how they work in. What Is An Appearance Bond.
From www.uslegalforms.com
Bail Bond Agreement Bail US Legal Forms What Is An Appearance Bond Learn what an appearance bond means, how it works and how to contact a lawyer for help. An appearance bond, commonly referred to as a bail bond, is a legal agreement that allows a person charged with a crime to be released. Learn how it works, how it is determined, and when you can get one. What is an appearance. What Is An Appearance Bond.
From www.investopedia.com
Bond Definition Understanding What a Bond Is What Is An Appearance Bond An appearance bond, commonly referred to as a bail bond, is a legal agreement that allows a person charged with a crime to be released. What is an appearance bond? An appearance bond is a written agreement that a defendant will appear in court at their scheduled dates. An appearance bond is a document that a lawyer files to lift. What Is An Appearance Bond.
From owensbonding.com
What is an Appearance Bond? Owens Bonding Co. What Is An Appearance Bond An appearance bond is a document that a lawyer files to lift warrants for past due tickets without harming the client's record. Appearance bonds are posted for the release of a criminal defendant or a witness who is in legal custody. Learn about the different forms of appearance bonds, such as cash, surety, unsecured and secured, and how they work. What Is An Appearance Bond.
From www.uslegalforms.com
Kentucky Prosecuting Witness Appearance Bond US Legal Forms What Is An Appearance Bond In exploring this topic, the court concluded that the purpose of an appearance bond was not to enrich the public treasury but to serve the. Learn how it works, how it is determined, and when you can get one. An appearance bond is a document that a lawyer files to lift warrants for past due tickets without harming the client's. What Is An Appearance Bond.
From www.uslegalforms.com
Oklahoma Property Appearance Bond US Legal Forms What Is An Appearance Bond Learn how it works, how it is determined, and when you can get one. An appearance bond is money you pay to get out of jail under a promise that you will appear in court. What is an appearance bond? Learn what an appearance bond means, how it works and how to contact a lawyer for help. In exploring this. What Is An Appearance Bond.
From www.youtube.com
Secured Appearance Bonds Quick Bail YouTube What Is An Appearance Bond In exploring this topic, the court concluded that the purpose of an appearance bond was not to enrich the public treasury but to serve the. An appearance bond is a written agreement that a defendant will appear in court at their scheduled dates. Appearance bonds are posted for the release of a criminal defendant or a witness who is in. What Is An Appearance Bond.
From www.bondexchange.com
Iowa Personal Representative Bond A Comprehensive Guide What Is An Appearance Bond An appearance bond is a written agreement that a defendant will appear in court at their scheduled dates. Learn what an appearance bond means, how it works and how to contact a lawyer for help. In exploring this topic, the court concluded that the purpose of an appearance bond was not to enrich the public treasury but to serve the.. What Is An Appearance Bond.
From www.abc-bailbonds.com
Appearance Bond Experts Houston Bail Bonds What Is An Appearance Bond An appearance bond is a document that a lawyer files to lift warrants for past due tickets without harming the client's record. Learn about the different forms of appearance bonds, such as cash, surety, unsecured and secured, and how they work in kansas. An appearance bond, commonly referred to as a bail bond, is a legal agreement that allows a. What Is An Appearance Bond.
From www.formsbank.com
Fillable Appearance Bond For Case Sheet United States District Court What Is An Appearance Bond What is an appearance bond? An appearance bond is money you pay to get out of jail under a promise that you will appear in court. An appearance bond, commonly referred to as a bail bond, is a legal agreement that allows a person charged with a crime to be released. Learn how it works, how it is determined, and. What Is An Appearance Bond.
From www.templateroller.com
Form AO98 Fill Out, Sign Online and Download Fillable PDF What Is An Appearance Bond An appearance bond is money you pay to get out of jail under a promise that you will appear in court. An appearance bond, commonly referred to as a bail bond, is a legal agreement that allows a person charged with a crime to be released. An appearance bond is a written agreement that a defendant will appear in court. What Is An Appearance Bond.
From www.uslegalforms.com
North Carolina Appearance Bond for Pretrial Release Nc Appearance What Is An Appearance Bond Learn how it works, how it is determined, and when you can get one. An appearance bond is a document that a lawyer files to lift warrants for past due tickets without harming the client's record. Learn about the different forms of appearance bonds, such as cash, surety, unsecured and secured, and how they work in kansas. An appearance bond,. What Is An Appearance Bond.
From lawstache.com
Federal Personal Appearance Bond Southern District of California What Is An Appearance Bond An appearance bond is a document that a lawyer files to lift warrants for past due tickets without harming the client's record. In exploring this topic, the court concluded that the purpose of an appearance bond was not to enrich the public treasury but to serve the. Learn about the different forms of appearance bonds, such as cash, surety, unsecured. What Is An Appearance Bond.
From www.uslegalforms.com
California Instructions for Posting a Third Party Surety Appearance What Is An Appearance Bond An appearance bond is money you pay to get out of jail under a promise that you will appear in court. In exploring this topic, the court concluded that the purpose of an appearance bond was not to enrich the public treasury but to serve the. Learn about the different forms of appearance bonds, such as cash, surety, unsecured and. What Is An Appearance Bond.
From www.scribd.com
Appearance Bond Bail Judiciaries What Is An Appearance Bond Learn what an appearance bond means, how it works and how to contact a lawyer for help. An appearance bond, commonly referred to as a bail bond, is a legal agreement that allows a person charged with a crime to be released. An appearance bond is a written agreement that a defendant will appear in court at their scheduled dates.. What Is An Appearance Bond.
From www.uslegalforms.com
Criminal Appearance Bond Appearance Bond US Legal Forms What Is An Appearance Bond Learn about the different forms of appearance bonds, such as cash, surety, unsecured and secured, and how they work in kansas. Learn what an appearance bond means, how it works and how to contact a lawyer for help. An appearance bond is money you pay to get out of jail under a promise that you will appear in court. Appearance. What Is An Appearance Bond.
From www.uslegalforms.com
Alabama Consolidated Appearance Bond Consolidated Jail Bond US What Is An Appearance Bond Learn about the different forms of appearance bonds, such as cash, surety, unsecured and secured, and how they work in kansas. Appearance bonds are posted for the release of a criminal defendant or a witness who is in legal custody. Learn how it works, how it is determined, and when you can get one. An appearance bond, commonly referred to. What Is An Appearance Bond.
From www.pdffiller.com
Fillable Online kslegislature 124304. Appearance bond; posting; form What Is An Appearance Bond In exploring this topic, the court concluded that the purpose of an appearance bond was not to enrich the public treasury but to serve the. What is an appearance bond? Appearance bonds are posted for the release of a criminal defendant or a witness who is in legal custody. An appearance bond, commonly referred to as a bail bond, is. What Is An Appearance Bond.
From www.uslegalforms.com
Aurora Colorado Appearance Bond Appearance On Bond US Legal Forms What Is An Appearance Bond An appearance bond is a written agreement that a defendant will appear in court at their scheduled dates. Learn about the different forms of appearance bonds, such as cash, surety, unsecured and secured, and how they work in kansas. What is an appearance bond? Appearance bonds are posted for the release of a criminal defendant or a witness who is. What Is An Appearance Bond.
From beltzlaw.com
What Is An Appearance Bond? How To Remove Warrants For Past Due Tickets What Is An Appearance Bond Appearance bonds are posted for the release of a criminal defendant or a witness who is in legal custody. An appearance bond is a document that a lawyer files to lift warrants for past due tickets without harming the client's record. Learn what an appearance bond means, how it works and how to contact a lawyer for help. In exploring. What Is An Appearance Bond.
From homeygears.com
What Is An Appearance Bond Homey Gears What Is An Appearance Bond An appearance bond, commonly referred to as a bail bond, is a legal agreement that allows a person charged with a crime to be released. Learn about the different forms of appearance bonds, such as cash, surety, unsecured and secured, and how they work in kansas. An appearance bond is a written agreement that a defendant will appear in court. What Is An Appearance Bond.
From balboabailbonds.com
The Bail Bond Process Explained Using Infographics San Diego Bail What Is An Appearance Bond Appearance bonds are posted for the release of a criminal defendant or a witness who is in legal custody. An appearance bond, commonly referred to as a bail bond, is a legal agreement that allows a person charged with a crime to be released. An appearance bond is money you pay to get out of jail under a promise that. What Is An Appearance Bond.
From www.uslegalforms.com
Colorado Appearance Bond What Is An Appearance On Bond Hearing In What Is An Appearance Bond An appearance bond is a document that a lawyer files to lift warrants for past due tickets without harming the client's record. Appearance bonds are posted for the release of a criminal defendant or a witness who is in legal custody. An appearance bond, commonly referred to as a bail bond, is a legal agreement that allows a person charged. What Is An Appearance Bond.