Bernoulli Differential Equation Calculator With Steps .  the bernoulli differential equation. A bernoulli equation has this form: Dy dx + p (x)y = q.  calculator applies methods to solve: Have a question about using wolfram|alpha? How to solve this special first order differential equation. The calculator will try to find the solution of the given ode:
        
         
         
        from blog.praxilabs.com 
     
        
        Dy dx + p (x)y = q. The calculator will try to find the solution of the given ode: How to solve this special first order differential equation.  the bernoulli differential equation.  calculator applies methods to solve: A bernoulli equation has this form: Have a question about using wolfram|alpha?
    
    	
            
	
		 
	 
         
    Learn All about Bernoulli Equation and Its Applications 
    Bernoulli Differential Equation Calculator With Steps   calculator applies methods to solve: A bernoulli equation has this form: Have a question about using wolfram|alpha?  the bernoulli differential equation. How to solve this special first order differential equation. Dy dx + p (x)y = q. The calculator will try to find the solution of the given ode:  calculator applies methods to solve:
            
	
		 
	 
         
 
    
         
        From engineeringdiscoveries.com 
                    Understanding Bernoulli's Equation Engineering Discoveries Bernoulli Differential Equation Calculator With Steps   calculator applies methods to solve: How to solve this special first order differential equation.  the bernoulli differential equation. A bernoulli equation has this form: Have a question about using wolfram|alpha? The calculator will try to find the solution of the given ode: Dy dx + p (x)y = q. Bernoulli Differential Equation Calculator With Steps.
     
    
         
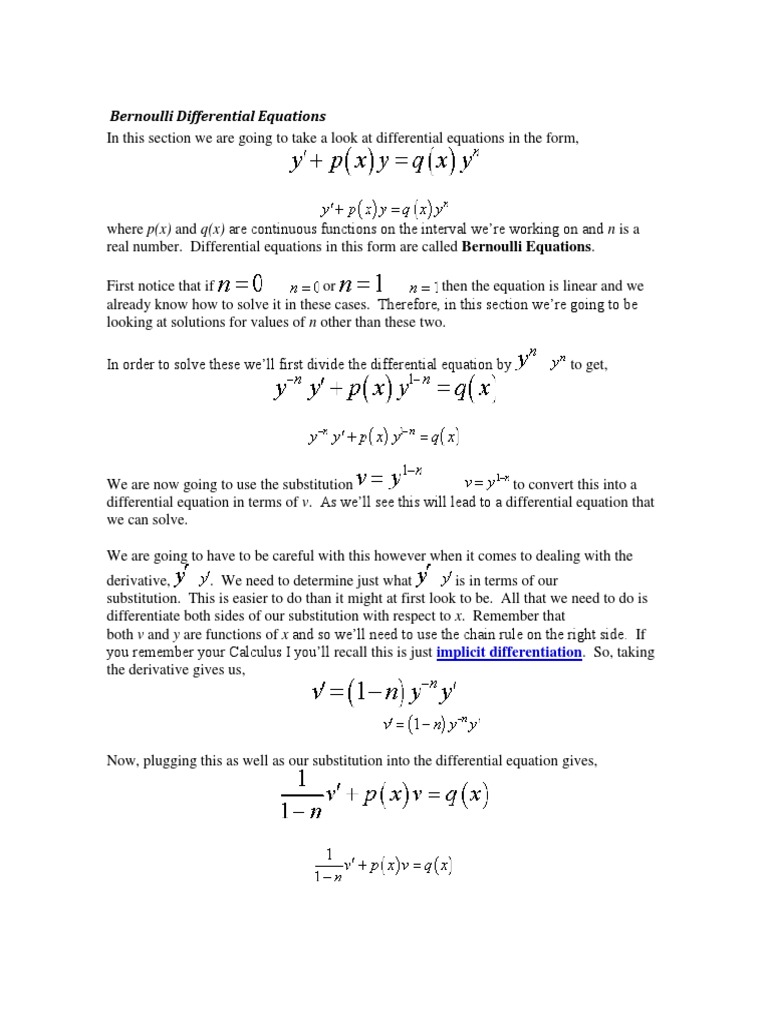
        From www.scribd.com 
                    Bernoulli Differential Equations PDF Bernoulli Differential Equation Calculator With Steps   the bernoulli differential equation. How to solve this special first order differential equation. Dy dx + p (x)y = q.  calculator applies methods to solve: The calculator will try to find the solution of the given ode: A bernoulli equation has this form: Have a question about using wolfram|alpha? Bernoulli Differential Equation Calculator With Steps.
     
    
         
        From www.cuemath.com 
                    Differential Equation Calculator Examples, Facts Bernoulli Differential Equation Calculator With Steps  Dy dx + p (x)y = q. A bernoulli equation has this form:  calculator applies methods to solve: The calculator will try to find the solution of the given ode: How to solve this special first order differential equation.  the bernoulli differential equation. Have a question about using wolfram|alpha? Bernoulli Differential Equation Calculator With Steps.
     
    
         
        From www.grc.nasa.gov 
                    Bernoulli's Equation Bernoulli Differential Equation Calculator With Steps   the bernoulli differential equation. Dy dx + p (x)y = q.  calculator applies methods to solve: How to solve this special first order differential equation. Have a question about using wolfram|alpha? A bernoulli equation has this form: The calculator will try to find the solution of the given ode: Bernoulli Differential Equation Calculator With Steps.
     
    
         
        From www.studypool.com 
                    SOLUTION Differential equation bernoulli s equations with solved Bernoulli Differential Equation Calculator With Steps   the bernoulli differential equation. Have a question about using wolfram|alpha? How to solve this special first order differential equation.  calculator applies methods to solve: A bernoulli equation has this form: Dy dx + p (x)y = q. The calculator will try to find the solution of the given ode: Bernoulli Differential Equation Calculator With Steps.
     
    
         
        From www.youtube.com 
                    Lecture 9 Solving Bernoulli's Equation Differential Equation YouTube Bernoulli Differential Equation Calculator With Steps  Have a question about using wolfram|alpha? How to solve this special first order differential equation. A bernoulli equation has this form:  the bernoulli differential equation.  calculator applies methods to solve: Dy dx + p (x)y = q. The calculator will try to find the solution of the given ode: Bernoulli Differential Equation Calculator With Steps.
     
    
         
        From www.studypool.com 
                    SOLUTION bernoulli differential equation Studypool Bernoulli Differential Equation Calculator With Steps  A bernoulli equation has this form: Have a question about using wolfram|alpha?  the bernoulli differential equation. The calculator will try to find the solution of the given ode: Dy dx + p (x)y = q.  calculator applies methods to solve: How to solve this special first order differential equation. Bernoulli Differential Equation Calculator With Steps.
     
    
         
        From www.youtube.com 
                    "Solve Bernoulli Differential Equation with Ease A StepbyStep Guide Bernoulli Differential Equation Calculator With Steps  How to solve this special first order differential equation. A bernoulli equation has this form: Dy dx + p (x)y = q. The calculator will try to find the solution of the given ode:  calculator applies methods to solve: Have a question about using wolfram|alpha?  the bernoulli differential equation. Bernoulli Differential Equation Calculator With Steps.
     
    
         
        From www.youtube.com 
                    How to solve differential equations in calculator any calculator Bernoulli Differential Equation Calculator With Steps   the bernoulli differential equation.  calculator applies methods to solve: A bernoulli equation has this form: The calculator will try to find the solution of the given ode: Dy dx + p (x)y = q. Have a question about using wolfram|alpha? How to solve this special first order differential equation. Bernoulli Differential Equation Calculator With Steps.
     
    
         
        From isaacscienceblog.com 
                    Bernoulli Differential Equation Isaac's science blog Bernoulli Differential Equation Calculator With Steps  How to solve this special first order differential equation.  calculator applies methods to solve: Have a question about using wolfram|alpha? The calculator will try to find the solution of the given ode: A bernoulli equation has this form: Dy dx + p (x)y = q.  the bernoulli differential equation. Bernoulli Differential Equation Calculator With Steps.
     
    
         
        From www.nagwa.com 
                    Video Bernoulli’s Equation Nagwa Bernoulli Differential Equation Calculator With Steps  Dy dx + p (x)y = q.  calculator applies methods to solve: Have a question about using wolfram|alpha? A bernoulli equation has this form: How to solve this special first order differential equation.  the bernoulli differential equation. The calculator will try to find the solution of the given ode: Bernoulli Differential Equation Calculator With Steps.
     
    
         
        From www.researchgate.net 
                    The Bernoulli's Equation in Different Conditions Download Scientific Bernoulli Differential Equation Calculator With Steps  Dy dx + p (x)y = q. Have a question about using wolfram|alpha? How to solve this special first order differential equation.  calculator applies methods to solve:  the bernoulli differential equation. A bernoulli equation has this form: The calculator will try to find the solution of the given ode: Bernoulli Differential Equation Calculator With Steps.
     
    
         
        From www.youtube.com 
                    Bernoulli's Equation For Differential Equations YouTube Bernoulli Differential Equation Calculator With Steps  How to solve this special first order differential equation. Have a question about using wolfram|alpha? The calculator will try to find the solution of the given ode: A bernoulli equation has this form: Dy dx + p (x)y = q.  calculator applies methods to solve:  the bernoulli differential equation. Bernoulli Differential Equation Calculator With Steps.
     
    
         
        From www.youtube.com 
                    Bernoulli Differential Equation YouTube Bernoulli Differential Equation Calculator With Steps  A bernoulli equation has this form:  the bernoulli differential equation. The calculator will try to find the solution of the given ode:  calculator applies methods to solve: Dy dx + p (x)y = q. How to solve this special first order differential equation. Have a question about using wolfram|alpha? Bernoulli Differential Equation Calculator With Steps.
     
    
         
        From www.studypool.com 
                    SOLUTION The bernoulli equation differential equation Studypool Bernoulli Differential Equation Calculator With Steps  The calculator will try to find the solution of the given ode:  the bernoulli differential equation. Have a question about using wolfram|alpha?  calculator applies methods to solve: Dy dx + p (x)y = q. How to solve this special first order differential equation. A bernoulli equation has this form: Bernoulli Differential Equation Calculator With Steps.
     
    
         
        From blog.praxilabs.com 
                    Learn All about Bernoulli Equation and Its Applications Bernoulli Differential Equation Calculator With Steps  A bernoulli equation has this form:  calculator applies methods to solve: Dy dx + p (x)y = q. How to solve this special first order differential equation.  the bernoulli differential equation. The calculator will try to find the solution of the given ode: Have a question about using wolfram|alpha? Bernoulli Differential Equation Calculator With Steps.
     
    
         
        From blog.wolframalpha.com 
                    StepbyStep Differential Equation Solutions in WolframAlpha—Wolfram Bernoulli Differential Equation Calculator With Steps   calculator applies methods to solve: Dy dx + p (x)y = q. The calculator will try to find the solution of the given ode: Have a question about using wolfram|alpha?  the bernoulli differential equation. How to solve this special first order differential equation. A bernoulli equation has this form: Bernoulli Differential Equation Calculator With Steps.
     
    
         
        From www.youtube.com 
                    Bernoulli`s Differential equation Differential equations online Bernoulli Differential Equation Calculator With Steps  Have a question about using wolfram|alpha? The calculator will try to find the solution of the given ode: How to solve this special first order differential equation.  calculator applies methods to solve: A bernoulli equation has this form: Dy dx + p (x)y = q.  the bernoulli differential equation. Bernoulli Differential Equation Calculator With Steps.
     
    
         
        From www.youtube.com 
                    Bernoulli First Order Equations Intro YouTube Bernoulli Differential Equation Calculator With Steps  A bernoulli equation has this form:  the bernoulli differential equation. How to solve this special first order differential equation.  calculator applies methods to solve: Dy dx + p (x)y = q. Have a question about using wolfram|alpha? The calculator will try to find the solution of the given ode: Bernoulli Differential Equation Calculator With Steps.
     
    
         
        From tewsgot.weebly.com 
                    Bernoulli equation calculator tewsgot Bernoulli Differential Equation Calculator With Steps   the bernoulli differential equation.  calculator applies methods to solve: Dy dx + p (x)y = q. The calculator will try to find the solution of the given ode: Have a question about using wolfram|alpha? How to solve this special first order differential equation. A bernoulli equation has this form: Bernoulli Differential Equation Calculator With Steps.
     
    
         
        From www.yawin.in 
                    Bernoulli’s differential equation Yawin Bernoulli Differential Equation Calculator With Steps   calculator applies methods to solve: A bernoulli equation has this form: How to solve this special first order differential equation.  the bernoulli differential equation. The calculator will try to find the solution of the given ode: Have a question about using wolfram|alpha? Dy dx + p (x)y = q. Bernoulli Differential Equation Calculator With Steps.
     
    
         
        From cevbtsit.blob.core.windows.net 
                    Differential Calculator Equation at Donald Parker blog Bernoulli Differential Equation Calculator With Steps   the bernoulli differential equation. How to solve this special first order differential equation. Dy dx + p (x)y = q.  calculator applies methods to solve: A bernoulli equation has this form: The calculator will try to find the solution of the given ode: Have a question about using wolfram|alpha? Bernoulli Differential Equation Calculator With Steps.
     
    
         
        From www.coursehero.com 
                    [Solved] Answer the Bernoulli Differential Equations use the formula Bernoulli Differential Equation Calculator With Steps   calculator applies methods to solve: Dy dx + p (x)y = q.  the bernoulli differential equation. Have a question about using wolfram|alpha? The calculator will try to find the solution of the given ode: How to solve this special first order differential equation. A bernoulli equation has this form: Bernoulli Differential Equation Calculator With Steps.
     
    
         
        From engineeringdiscoveries.com 
                    Understanding Bernoulli's Equation Engineering Discoveries Bernoulli Differential Equation Calculator With Steps  How to solve this special first order differential equation.  calculator applies methods to solve: Dy dx + p (x)y = q. Have a question about using wolfram|alpha? A bernoulli equation has this form: The calculator will try to find the solution of the given ode:  the bernoulli differential equation. Bernoulli Differential Equation Calculator With Steps.
     
    
         
        From www.youtube.com 
                    How to solve Bernoulli differential equations YouTube Bernoulli Differential Equation Calculator With Steps   calculator applies methods to solve: A bernoulli equation has this form: Have a question about using wolfram|alpha? How to solve this special first order differential equation.  the bernoulli differential equation. The calculator will try to find the solution of the given ode: Dy dx + p (x)y = q. Bernoulli Differential Equation Calculator With Steps.
     
    
         
        From tewsgot.weebly.com 
                    Bernoulli equation calculator tewsgot Bernoulli Differential Equation Calculator With Steps  Have a question about using wolfram|alpha? How to solve this special first order differential equation. A bernoulli equation has this form:  the bernoulli differential equation. Dy dx + p (x)y = q.  calculator applies methods to solve: The calculator will try to find the solution of the given ode: Bernoulli Differential Equation Calculator With Steps.
     
    
         
        From math.info 
                    Bernoulli Differential Equations Bernoulli Differential Equation Calculator With Steps   calculator applies methods to solve: How to solve this special first order differential equation. Have a question about using wolfram|alpha? The calculator will try to find the solution of the given ode: Dy dx + p (x)y = q.  the bernoulli differential equation. A bernoulli equation has this form: Bernoulli Differential Equation Calculator With Steps.
     
    
         
        From www.youtube.com 
                    Differential Equations Bernoulli Equations YouTube Bernoulli Differential Equation Calculator With Steps  Dy dx + p (x)y = q.  the bernoulli differential equation. Have a question about using wolfram|alpha?  calculator applies methods to solve: How to solve this special first order differential equation. A bernoulli equation has this form: The calculator will try to find the solution of the given ode: Bernoulli Differential Equation Calculator With Steps.
     
    
         
        From www.scribd.com 
                    Bernoulli Differential Equations Differential Equations Equations Bernoulli Differential Equation Calculator With Steps  The calculator will try to find the solution of the given ode:  calculator applies methods to solve: A bernoulli equation has this form:  the bernoulli differential equation. Dy dx + p (x)y = q. Have a question about using wolfram|alpha? How to solve this special first order differential equation. Bernoulli Differential Equation Calculator With Steps.
     
    
         
        From www.youtube.com 
                    Solving a Bernoulli Differential Equation (Example) YouTube Bernoulli Differential Equation Calculator With Steps   the bernoulli differential equation. Have a question about using wolfram|alpha?  calculator applies methods to solve: A bernoulli equation has this form: How to solve this special first order differential equation. Dy dx + p (x)y = q. The calculator will try to find the solution of the given ode: Bernoulli Differential Equation Calculator With Steps.
     
    
         
        From www.sliderbase.com 
                    Derivation Applications of Bernoulli Principal Presentation Physics Bernoulli Differential Equation Calculator With Steps   calculator applies methods to solve: How to solve this special first order differential equation.  the bernoulli differential equation. The calculator will try to find the solution of the given ode: Have a question about using wolfram|alpha? Dy dx + p (x)y = q. A bernoulli equation has this form: Bernoulli Differential Equation Calculator With Steps.
     
    
         
        From www.coursehero.com 
                    [Solved] Answer the Bernoulli Differential Equations use the formula Bernoulli Differential Equation Calculator With Steps  Dy dx + p (x)y = q. A bernoulli equation has this form: Have a question about using wolfram|alpha? The calculator will try to find the solution of the given ode: How to solve this special first order differential equation.  calculator applies methods to solve:  the bernoulli differential equation. Bernoulli Differential Equation Calculator With Steps.
     
    
         
        From www.studypool.com 
                    SOLUTION Differential equation bernoulli s equations with solved Bernoulli Differential Equation Calculator With Steps   calculator applies methods to solve: The calculator will try to find the solution of the given ode: Dy dx + p (x)y = q. Have a question about using wolfram|alpha?  the bernoulli differential equation. How to solve this special first order differential equation. A bernoulli equation has this form: Bernoulli Differential Equation Calculator With Steps.
     
    
         
        From www.youtube.com 
                    Solving the Bernoulli Differential Equation x^2(dy/dx) + y^2 = xy YouTube Bernoulli Differential Equation Calculator With Steps  Have a question about using wolfram|alpha? A bernoulli equation has this form:  the bernoulli differential equation. The calculator will try to find the solution of the given ode:  calculator applies methods to solve: How to solve this special first order differential equation. Dy dx + p (x)y = q. Bernoulli Differential Equation Calculator With Steps.
     
    
         
        From demonstrations.wolfram.com 
                    Bernoulli's Differential Equation Wolfram Demonstrations Project Bernoulli Differential Equation Calculator With Steps  The calculator will try to find the solution of the given ode:  calculator applies methods to solve:  the bernoulli differential equation. Dy dx + p (x)y = q. Have a question about using wolfram|alpha? A bernoulli equation has this form: How to solve this special first order differential equation. Bernoulli Differential Equation Calculator With Steps.