Parking Brake Wheels Locked . Locate the lever on your right, press and hold the button on the top, and then slowly pull up the lever up to engage the brake. Depending on the weather conditions you live in, one. use the parking brake to slow down as a last resort. below are a few different methods you can use to help release a frozen parking brake. mechanical parking brakes also can go bad and lock your wheels. This usually happens when you apply the parking brake and then release the. Park your vehicle on a flat, hard surface. 9 concerning causes behind your brakes locking up. Here are the problems that result in locked brakes: a faulty master cylinder, brake booster, piston caliper, abs computer and caliper are some of the reasons why brakes will lock up.
from ranwhenparked.net
use the parking brake to slow down as a last resort. below are a few different methods you can use to help release a frozen parking brake. Park your vehicle on a flat, hard surface. This usually happens when you apply the parking brake and then release the. mechanical parking brakes also can go bad and lock your wheels. Locate the lever on your right, press and hold the button on the top, and then slowly pull up the lever up to engage the brake. a faulty master cylinder, brake booster, piston caliper, abs computer and caliper are some of the reasons why brakes will lock up. Here are the problems that result in locked brakes: Depending on the weather conditions you live in, one. 9 concerning causes behind your brakes locking up.
Brakes Locking Up Why It Happens and How To Solve It Ran When Parked
Parking Brake Wheels Locked mechanical parking brakes also can go bad and lock your wheels. 9 concerning causes behind your brakes locking up. Depending on the weather conditions you live in, one. a faulty master cylinder, brake booster, piston caliper, abs computer and caliper are some of the reasons why brakes will lock up. This usually happens when you apply the parking brake and then release the. mechanical parking brakes also can go bad and lock your wheels. Locate the lever on your right, press and hold the button on the top, and then slowly pull up the lever up to engage the brake. Here are the problems that result in locked brakes: below are a few different methods you can use to help release a frozen parking brake. Park your vehicle on a flat, hard surface. use the parking brake to slow down as a last resort.
From www.slideserve.com
PPT PARKING BRAKE OPERATION, DIAGNOSIS, AND SERVICE PowerPoint Parking Brake Wheels Locked 9 concerning causes behind your brakes locking up. Depending on the weather conditions you live in, one. a faulty master cylinder, brake booster, piston caliper, abs computer and caliper are some of the reasons why brakes will lock up. Park your vehicle on a flat, hard surface. This usually happens when you apply the parking brake and then. Parking Brake Wheels Locked.
From driversed.trubicars.ca
Three types of parking brakes Drivers Education Parking Brake Wheels Locked 9 concerning causes behind your brakes locking up. Locate the lever on your right, press and hold the button on the top, and then slowly pull up the lever up to engage the brake. Here are the problems that result in locked brakes: Park your vehicle on a flat, hard surface. Depending on the weather conditions you live in,. Parking Brake Wheels Locked.
From autowise.com
Best Wheel Locks 2021 [Buying Guide] Autowise Parking Brake Wheels Locked 9 concerning causes behind your brakes locking up. below are a few different methods you can use to help release a frozen parking brake. Locate the lever on your right, press and hold the button on the top, and then slowly pull up the lever up to engage the brake. Park your vehicle on a flat, hard surface.. Parking Brake Wheels Locked.
From cardecorates.com
Steering Wheel And Brakes Locked Up When Parked Solutions Parking Brake Wheels Locked Locate the lever on your right, press and hold the button on the top, and then slowly pull up the lever up to engage the brake. mechanical parking brakes also can go bad and lock your wheels. 9 concerning causes behind your brakes locking up. below are a few different methods you can use to help release. Parking Brake Wheels Locked.
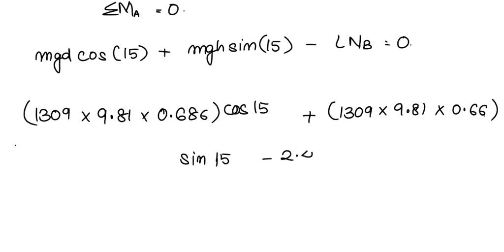
From www.numerade.com
SOLVED h 4 d B A car is parked on a 15 slope, with the rear wheels Parking Brake Wheels Locked use the parking brake to slow down as a last resort. Park your vehicle on a flat, hard surface. Locate the lever on your right, press and hold the button on the top, and then slowly pull up the lever up to engage the brake. a faulty master cylinder, brake booster, piston caliper, abs computer and caliper are. Parking Brake Wheels Locked.
From www.yourmechanic.com
How to Adjust a Parking Brake Shoe YourMechanic Advice Parking Brake Wheels Locked use the parking brake to slow down as a last resort. Locate the lever on your right, press and hold the button on the top, and then slowly pull up the lever up to engage the brake. 9 concerning causes behind your brakes locking up. This usually happens when you apply the parking brake and then release the.. Parking Brake Wheels Locked.
From ranwhenparked.net
Brakes Locking Up Why It Happens and How To Solve It Ran When Parked Parking Brake Wheels Locked use the parking brake to slow down as a last resort. 9 concerning causes behind your brakes locking up. below are a few different methods you can use to help release a frozen parking brake. mechanical parking brakes also can go bad and lock your wheels. Depending on the weather conditions you live in, one. Here. Parking Brake Wheels Locked.
From www.chicagocorvette.net
Parking Brake Assembly Diagram View Chicago Corvette Supply Parking Brake Wheels Locked use the parking brake to slow down as a last resort. Park your vehicle on a flat, hard surface. Depending on the weather conditions you live in, one. Here are the problems that result in locked brakes: This usually happens when you apply the parking brake and then release the. Locate the lever on your right, press and hold. Parking Brake Wheels Locked.
From autovaluable.com
How To Fix Locked Up Brakes? Auto Valuable Parking Brake Wheels Locked a faulty master cylinder, brake booster, piston caliper, abs computer and caliper are some of the reasons why brakes will lock up. Depending on the weather conditions you live in, one. mechanical parking brakes also can go bad and lock your wheels. 9 concerning causes behind your brakes locking up. Here are the problems that result in. Parking Brake Wheels Locked.
From autovaluable.com
Why Rear Wheel Locked Up While Driving? Auto Valuable Parking Brake Wheels Locked 9 concerning causes behind your brakes locking up. Here are the problems that result in locked brakes: mechanical parking brakes also can go bad and lock your wheels. use the parking brake to slow down as a last resort. Depending on the weather conditions you live in, one. below are a few different methods you can. Parking Brake Wheels Locked.
From stock.adobe.com
Car wheel blocked by wheel lock. Illegal parking of automobile. Wheel Parking Brake Wheels Locked Locate the lever on your right, press and hold the button on the top, and then slowly pull up the lever up to engage the brake. use the parking brake to slow down as a last resort. Park your vehicle on a flat, hard surface. mechanical parking brakes also can go bad and lock your wheels. below. Parking Brake Wheels Locked.
From www.yourmechanic.com
What Happens When You Drive With the Parking Brake On? YourMechanic Parking Brake Wheels Locked Locate the lever on your right, press and hold the button on the top, and then slowly pull up the lever up to engage the brake. mechanical parking brakes also can go bad and lock your wheels. Park your vehicle on a flat, hard surface. Depending on the weather conditions you live in, one. a faulty master cylinder,. Parking Brake Wheels Locked.
From www.buybrakes.com
Parking Brake Stuck? How To Release A Stuck Parking Brake BuyBrakes Parking Brake Wheels Locked Park your vehicle on a flat, hard surface. use the parking brake to slow down as a last resort. a faulty master cylinder, brake booster, piston caliper, abs computer and caliper are some of the reasons why brakes will lock up. Here are the problems that result in locked brakes: Depending on the weather conditions you live in,. Parking Brake Wheels Locked.
From www.autozone.com
Repair Guides Parking Brake Brake Shoes Parking Brake Wheels Locked a faulty master cylinder, brake booster, piston caliper, abs computer and caliper are some of the reasons why brakes will lock up. Depending on the weather conditions you live in, one. 9 concerning causes behind your brakes locking up. This usually happens when you apply the parking brake and then release the. below are a few different. Parking Brake Wheels Locked.
From www.youtube.com
How to adjust emergency/parking brakes YouTube Parking Brake Wheels Locked use the parking brake to slow down as a last resort. below are a few different methods you can use to help release a frozen parking brake. Here are the problems that result in locked brakes: 9 concerning causes behind your brakes locking up. a faulty master cylinder, brake booster, piston caliper, abs computer and caliper. Parking Brake Wheels Locked.
From www.youtube.com
Ford Vehicles Electronic Parking Brake EPB Service Mode Activation and Parking Brake Wheels Locked Depending on the weather conditions you live in, one. 9 concerning causes behind your brakes locking up. below are a few different methods you can use to help release a frozen parking brake. mechanical parking brakes also can go bad and lock your wheels. use the parking brake to slow down as a last resort. . Parking Brake Wheels Locked.
From ranwhenparked.net
Brakes Locking Up Why It Happens and How To Solve It Ran When Parked Parking Brake Wheels Locked Locate the lever on your right, press and hold the button on the top, and then slowly pull up the lever up to engage the brake. 9 concerning causes behind your brakes locking up. Park your vehicle on a flat, hard surface. This usually happens when you apply the parking brake and then release the. mechanical parking brakes. Parking Brake Wheels Locked.
From ranwhenparked.net
Brakes Locking Up Why It Happens and How To Solve It Ran When Parked Parking Brake Wheels Locked mechanical parking brakes also can go bad and lock your wheels. Depending on the weather conditions you live in, one. a faulty master cylinder, brake booster, piston caliper, abs computer and caliper are some of the reasons why brakes will lock up. Park your vehicle on a flat, hard surface. 9 concerning causes behind your brakes locking. Parking Brake Wheels Locked.
From www.yourmechanic.com
How to Adjust a Parking Brake Shoe YourMechanic Advice Parking Brake Wheels Locked use the parking brake to slow down as a last resort. Locate the lever on your right, press and hold the button on the top, and then slowly pull up the lever up to engage the brake. Park your vehicle on a flat, hard surface. below are a few different methods you can use to help release a. Parking Brake Wheels Locked.
From garagebrent88.z13.web.core.windows.net
2011 Ford Escape Front Brakes Locking Up Parking Brake Wheels Locked mechanical parking brakes also can go bad and lock your wheels. a faulty master cylinder, brake booster, piston caliper, abs computer and caliper are some of the reasons why brakes will lock up. Park your vehicle on a flat, hard surface. Depending on the weather conditions you live in, one. 9 concerning causes behind your brakes locking. Parking Brake Wheels Locked.
From www.ebay.ca
RACING HYDRAULIC HANDBRAKE EBRAKE PARKING EMERGENCY BRAKE LEVER LOCK Parking Brake Wheels Locked This usually happens when you apply the parking brake and then release the. below are a few different methods you can use to help release a frozen parking brake. Park your vehicle on a flat, hard surface. 9 concerning causes behind your brakes locking up. use the parking brake to slow down as a last resort. Depending. Parking Brake Wheels Locked.
From www.youtube.com
Brakes Locking Up? Quick Easy Repair Guide YouTube Parking Brake Wheels Locked a faulty master cylinder, brake booster, piston caliper, abs computer and caliper are some of the reasons why brakes will lock up. Depending on the weather conditions you live in, one. Here are the problems that result in locked brakes: This usually happens when you apply the parking brake and then release the. Park your vehicle on a flat,. Parking Brake Wheels Locked.
From www.youtube.com
How to Fix a Stuck Rear Differential Lock on a John Deere 1025R Parking Brake Wheels Locked Depending on the weather conditions you live in, one. This usually happens when you apply the parking brake and then release the. Locate the lever on your right, press and hold the button on the top, and then slowly pull up the lever up to engage the brake. Here are the problems that result in locked brakes: below are. Parking Brake Wheels Locked.
From www.youtube.com
Fixing a Stuck Parking Brake or Emergency E Brake with Basic Hand Tools Parking Brake Wheels Locked Park your vehicle on a flat, hard surface. a faulty master cylinder, brake booster, piston caliper, abs computer and caliper are some of the reasons why brakes will lock up. Here are the problems that result in locked brakes: 9 concerning causes behind your brakes locking up. Locate the lever on your right, press and hold the button. Parking Brake Wheels Locked.
From www.youtube.com
How to fix stuck or locked up brakes on trucks and trailers YouTube Parking Brake Wheels Locked Locate the lever on your right, press and hold the button on the top, and then slowly pull up the lever up to engage the brake. Park your vehicle on a flat, hard surface. 9 concerning causes behind your brakes locking up. use the parking brake to slow down as a last resort. Depending on the weather conditions. Parking Brake Wheels Locked.
From www.reddit.com
Parking brake fell apart and locked wheel. Parking Brake Wheels Locked Depending on the weather conditions you live in, one. Park your vehicle on a flat, hard surface. Here are the problems that result in locked brakes: 9 concerning causes behind your brakes locking up. use the parking brake to slow down as a last resort. This usually happens when you apply the parking brake and then release the.. Parking Brake Wheels Locked.
From www.motamec.com
Motamec Brake Line Lock Hydraulic Parking Locking Valve Device Push Parking Brake Wheels Locked mechanical parking brakes also can go bad and lock your wheels. Park your vehicle on a flat, hard surface. This usually happens when you apply the parking brake and then release the. 9 concerning causes behind your brakes locking up. Here are the problems that result in locked brakes: Locate the lever on your right, press and hold. Parking Brake Wheels Locked.
From cartoondealer.com
Car Wheel Blocked By Wheel Lock Because Illegal Parking Violation. Red Parking Brake Wheels Locked Depending on the weather conditions you live in, one. Park your vehicle on a flat, hard surface. below are a few different methods you can use to help release a frozen parking brake. Locate the lever on your right, press and hold the button on the top, and then slowly pull up the lever up to engage the brake.. Parking Brake Wheels Locked.
From mechanswers.com
Brakes Locked Up While Parked (8 Causes & Solutions Here!) Parking Brake Wheels Locked Depending on the weather conditions you live in, one. Locate the lever on your right, press and hold the button on the top, and then slowly pull up the lever up to engage the brake. use the parking brake to slow down as a last resort. This usually happens when you apply the parking brake and then release the.. Parking Brake Wheels Locked.
From ranwhenparked.net
Brakes Locking Up Why It Happens and How To Solve It Ran When Parked Parking Brake Wheels Locked Park your vehicle on a flat, hard surface. This usually happens when you apply the parking brake and then release the. mechanical parking brakes also can go bad and lock your wheels. Here are the problems that result in locked brakes: below are a few different methods you can use to help release a frozen parking brake. Depending. Parking Brake Wheels Locked.
From mygasmagazine.com
Does Parking Brake Lock All Wheels? (Myths & Facts) Parking Brake Wheels Locked Depending on the weather conditions you live in, one. Here are the problems that result in locked brakes: use the parking brake to slow down as a last resort. Locate the lever on your right, press and hold the button on the top, and then slowly pull up the lever up to engage the brake. Park your vehicle on. Parking Brake Wheels Locked.
From www.carandbike.com
Essential Aspects of Using Parking Brakes Parking Brake Wheels Locked a faulty master cylinder, brake booster, piston caliper, abs computer and caliper are some of the reasons why brakes will lock up. Park your vehicle on a flat, hard surface. use the parking brake to slow down as a last resort. Locate the lever on your right, press and hold the button on the top, and then slowly. Parking Brake Wheels Locked.
From innovationdiscoveries.space
ELECTRIC PARKING BRAKE (EPB) COMPONENTS, WORKING PRINC Parking Brake Wheels Locked mechanical parking brakes also can go bad and lock your wheels. Locate the lever on your right, press and hold the button on the top, and then slowly pull up the lever up to engage the brake. a faulty master cylinder, brake booster, piston caliper, abs computer and caliper are some of the reasons why brakes will lock. Parking Brake Wheels Locked.
From ranwhenparked.net
Brakes Locking Up Why It Happens and How To Solve It Ran When Parked Parking Brake Wheels Locked Here are the problems that result in locked brakes: This usually happens when you apply the parking brake and then release the. mechanical parking brakes also can go bad and lock your wheels. below are a few different methods you can use to help release a frozen parking brake. Locate the lever on your right, press and hold. Parking Brake Wheels Locked.
From fixandtroubleshoot.com
Electric Parking Brake Problem Causes & How to Fix FixandTroubleshoot Parking Brake Wheels Locked Park your vehicle on a flat, hard surface. Here are the problems that result in locked brakes: 9 concerning causes behind your brakes locking up. use the parking brake to slow down as a last resort. Locate the lever on your right, press and hold the button on the top, and then slowly pull up the lever up. Parking Brake Wheels Locked.