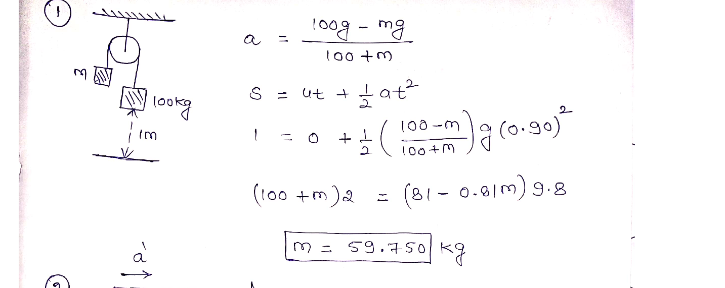
The Figure Shows A 100 Kg Block . mastering physics video solution for problem #5.84 the 100 kg block in figure p5.84 takes 6.0 s to reach the. It then takes it 0.90 s to reach the floor. It then takes 0.90 s to reach the. What is the mass m of the other block? There is no option close to 85.2 kg in the given choices. It then takes 0.90 s to reach the floor. It then takes it 0.90 s to reach the floor. the figure shows a 100 kg block being released from rest from a height of 1.0 m.
from www.chegg.com
What is the mass m of the other block? It then takes it 0.90 s to reach the floor. It then takes 0.90 s to reach the floor. the figure shows a 100 kg block being released from rest from a height of 1.0 m. mastering physics video solution for problem #5.84 the 100 kg block in figure p5.84 takes 6.0 s to reach the. There is no option close to 85.2 kg in the given choices. It then takes 0.90 s to reach the. It then takes it 0.90 s to reach the floor.
Solved The figure shows a 100kg block being released from
The Figure Shows A 100 Kg Block the figure shows a 100 kg block being released from rest from a height of 1.0 m. It then takes it 0.90 s to reach the floor. What is the mass m of the other block? mastering physics video solution for problem #5.84 the 100 kg block in figure p5.84 takes 6.0 s to reach the. There is no option close to 85.2 kg in the given choices. the figure shows a 100 kg block being released from rest from a height of 1.0 m. It then takes it 0.90 s to reach the floor. It then takes 0.90 s to reach the floor. It then takes 0.90 s to reach the.
From www.bartleby.com
Answered The figure shows a 100 kg block being… bartleby The Figure Shows A 100 Kg Block It then takes 0.90 s to reach the. the figure shows a 100 kg block being released from rest from a height of 1.0 m. What is the mass m of the other block? There is no option close to 85.2 kg in the given choices. It then takes it 0.90 s to reach the floor. It then takes. The Figure Shows A 100 Kg Block.
From www.chegg.com
Solved The figure shows a 100kg block being released from The Figure Shows A 100 Kg Block It then takes it 0.90 s to reach the floor. What is the mass m of the other block? the figure shows a 100 kg block being released from rest from a height of 1.0 m. It then takes 0.90 s to reach the. It then takes 0.90 s to reach the floor. There is no option close to. The Figure Shows A 100 Kg Block.
From www.chegg.com
Solved Question 21 (1 point) The figure shows a 100kg block The Figure Shows A 100 Kg Block mastering physics video solution for problem #5.84 the 100 kg block in figure p5.84 takes 6.0 s to reach the. It then takes it 0.90 s to reach the floor. There is no option close to 85.2 kg in the given choices. the figure shows a 100 kg block being released from rest from a height of 1.0. The Figure Shows A 100 Kg Block.
From www.chegg.com
Solved 5. The figure shows a 100kg block being released The Figure Shows A 100 Kg Block It then takes it 0.90 s to reach the floor. What is the mass m of the other block? mastering physics video solution for problem #5.84 the 100 kg block in figure p5.84 takes 6.0 s to reach the. It then takes 0.90 s to reach the. It then takes it 0.90 s to reach the floor. It then. The Figure Shows A 100 Kg Block.
From www.chegg.com
Solved Question 14 The figure shows a 100 kg block being The Figure Shows A 100 Kg Block It then takes 0.90 s to reach the. There is no option close to 85.2 kg in the given choices. mastering physics video solution for problem #5.84 the 100 kg block in figure p5.84 takes 6.0 s to reach the. the figure shows a 100 kg block being released from rest from a height of 1.0 m. It. The Figure Shows A 100 Kg Block.
From www.chegg.com
Solved The figure shows a 100 kg block being released from The Figure Shows A 100 Kg Block It then takes it 0.90 s to reach the floor. What is the mass m of the other block? It then takes 0.90 s to reach the floor. It then takes 0.90 s to reach the. It then takes it 0.90 s to reach the floor. mastering physics video solution for problem #5.84 the 100 kg block in figure. The Figure Shows A 100 Kg Block.
From www.coursehero.com
[Solved] 13 13 18 17 18 10 20 Question 6 The figure shows a 100kg The Figure Shows A 100 Kg Block It then takes it 0.90 s to reach the floor. It then takes 0.90 s to reach the. It then takes it 0.90 s to reach the floor. the figure shows a 100 kg block being released from rest from a height of 1.0 m. There is no option close to 85.2 kg in the given choices. What is. The Figure Shows A 100 Kg Block.
From www.coursehero.com
[Solved] The figure shows a 100kg block being released from rest from The Figure Shows A 100 Kg Block There is no option close to 85.2 kg in the given choices. mastering physics video solution for problem #5.84 the 100 kg block in figure p5.84 takes 6.0 s to reach the. It then takes it 0.90 s to reach the floor. It then takes 0.90 s to reach the. It then takes 0.90 s to reach the floor.. The Figure Shows A 100 Kg Block.
From www.chegg.com
Solved The figure shows a 100 kg block being released from The Figure Shows A 100 Kg Block There is no option close to 85.2 kg in the given choices. It then takes it 0.90 s to reach the floor. What is the mass m of the other block? It then takes 0.90 s to reach the floor. It then takes 0.90 s to reach the. It then takes it 0.90 s to reach the floor. mastering. The Figure Shows A 100 Kg Block.
From www.chegg.com
Solved The figure shows a 100kg block being released from The Figure Shows A 100 Kg Block mastering physics video solution for problem #5.84 the 100 kg block in figure p5.84 takes 6.0 s to reach the. It then takes 0.90 s to reach the. the figure shows a 100 kg block being released from rest from a height of 1.0 m. It then takes it 0.90 s to reach the floor. What is the. The Figure Shows A 100 Kg Block.
From www.chegg.com
Solved QUESTION 7 The figure shows a 100kg block being The Figure Shows A 100 Kg Block mastering physics video solution for problem #5.84 the 100 kg block in figure p5.84 takes 6.0 s to reach the. It then takes it 0.90 s to reach the floor. It then takes 0.90 s to reach the. the figure shows a 100 kg block being released from rest from a height of 1.0 m. It then takes. The Figure Shows A 100 Kg Block.
From www.chegg.com
Solved Figure 5.16 shows a 100 kg block being released from The Figure Shows A 100 Kg Block It then takes 0.90 s to reach the. What is the mass m of the other block? It then takes 0.90 s to reach the floor. mastering physics video solution for problem #5.84 the 100 kg block in figure p5.84 takes 6.0 s to reach the. There is no option close to 85.2 kg in the given choices. . The Figure Shows A 100 Kg Block.
From www.numerade.com
SOLVED Figure 5.16 shows a 100 kg block being released from rest from The Figure Shows A 100 Kg Block the figure shows a 100 kg block being released from rest from a height of 1.0 m. There is no option close to 85.2 kg in the given choices. It then takes 0.90 s to reach the floor. What is the mass m of the other block? It then takes it 0.90 s to reach the floor. mastering. The Figure Shows A 100 Kg Block.
From www.coursehero.com
[Solved] The figure shows a 100kg block being released from rest from The Figure Shows A 100 Kg Block What is the mass m of the other block? It then takes it 0.90 s to reach the floor. It then takes it 0.90 s to reach the floor. mastering physics video solution for problem #5.84 the 100 kg block in figure p5.84 takes 6.0 s to reach the. It then takes 0.90 s to reach the floor. There. The Figure Shows A 100 Kg Block.
From www.numerade.com
13. The figure shows a 100 kg block being released from rest from The Figure Shows A 100 Kg Block the figure shows a 100 kg block being released from rest from a height of 1.0 m. What is the mass m of the other block? It then takes it 0.90 s to reach the floor. It then takes 0.90 s to reach the. It then takes 0.90 s to reach the floor. It then takes it 0.90 s. The Figure Shows A 100 Kg Block.
From www.chegg.com
Solved Figure 5.16 shows a 100 kg block being released from The Figure Shows A 100 Kg Block There is no option close to 85.2 kg in the given choices. It then takes it 0.90 s to reach the floor. What is the mass m of the other block? It then takes it 0.90 s to reach the floor. It then takes 0.90 s to reach the floor. the figure shows a 100 kg block being released. The Figure Shows A 100 Kg Block.
From www.chegg.com
Solved The figure shows a 100 kg block being released from The Figure Shows A 100 Kg Block It then takes 0.90 s to reach the. What is the mass m of the other block? It then takes 0.90 s to reach the floor. There is no option close to 85.2 kg in the given choices. It then takes it 0.90 s to reach the floor. mastering physics video solution for problem #5.84 the 100 kg block. The Figure Shows A 100 Kg Block.
From www.chegg.com
Solved The figure shows a 100kg block being released from The Figure Shows A 100 Kg Block mastering physics video solution for problem #5.84 the 100 kg block in figure p5.84 takes 6.0 s to reach the. It then takes it 0.90 s to reach the floor. There is no option close to 85.2 kg in the given choices. It then takes 0.90 s to reach the. It then takes 0.90 s to reach the floor.. The Figure Shows A 100 Kg Block.
From www.chegg.com
Solved The figure shows a 100kg block being released from The Figure Shows A 100 Kg Block It then takes 0.90 s to reach the. mastering physics video solution for problem #5.84 the 100 kg block in figure p5.84 takes 6.0 s to reach the. It then takes 0.90 s to reach the floor. What is the mass m of the other block? It then takes it 0.90 s to reach the floor. the figure. The Figure Shows A 100 Kg Block.
From tutorbin.com
Solved 1.(5 points) The figure shows a 100kg block being released The Figure Shows A 100 Kg Block What is the mass m of the other block? It then takes it 0.90 s to reach the floor. mastering physics video solution for problem #5.84 the 100 kg block in figure p5.84 takes 6.0 s to reach the. the figure shows a 100 kg block being released from rest from a height of 1.0 m. It then. The Figure Shows A 100 Kg Block.
From www.numerade.com
SOLVED The 100 kg block in the figure below takes 2.0 seconds to reach The Figure Shows A 100 Kg Block the figure shows a 100 kg block being released from rest from a height of 1.0 m. It then takes it 0.90 s to reach the floor. mastering physics video solution for problem #5.84 the 100 kg block in figure p5.84 takes 6.0 s to reach the. It then takes 0.90 s to reach the floor. There is. The Figure Shows A 100 Kg Block.
From www.chegg.com
Solved The 100 kg block in the figure below takes 2.0 s to The Figure Shows A 100 Kg Block mastering physics video solution for problem #5.84 the 100 kg block in figure p5.84 takes 6.0 s to reach the. It then takes 0.90 s to reach the. It then takes 0.90 s to reach the floor. It then takes it 0.90 s to reach the floor. the figure shows a 100 kg block being released from rest. The Figure Shows A 100 Kg Block.
From www.chegg.com
Solved The figure shows a 100kg block being released from The Figure Shows A 100 Kg Block mastering physics video solution for problem #5.84 the 100 kg block in figure p5.84 takes 6.0 s to reach the. There is no option close to 85.2 kg in the given choices. It then takes 0.90 s to reach the. It then takes it 0.90 s to reach the floor. It then takes it 0.90 s to reach the. The Figure Shows A 100 Kg Block.
From www.numerade.com
The figure shows a 100kg block being released from rest from a height The Figure Shows A 100 Kg Block What is the mass m of the other block? It then takes 0.90 s to reach the floor. It then takes it 0.90 s to reach the floor. mastering physics video solution for problem #5.84 the 100 kg block in figure p5.84 takes 6.0 s to reach the. It then takes it 0.90 s to reach the floor. There. The Figure Shows A 100 Kg Block.
From www.chegg.com
Solved A 50.0kg block and 100kg block are connected by a The Figure Shows A 100 Kg Block It then takes it 0.90 s to reach the floor. What is the mass m of the other block? It then takes 0.90 s to reach the floor. It then takes it 0.90 s to reach the floor. There is no option close to 85.2 kg in the given choices. the figure shows a 100 kg block being released. The Figure Shows A 100 Kg Block.
From www.chegg.com
Solved The figure below shows a 100 kg block being released The Figure Shows A 100 Kg Block the figure shows a 100 kg block being released from rest from a height of 1.0 m. There is no option close to 85.2 kg in the given choices. It then takes 0.90 s to reach the floor. It then takes it 0.90 s to reach the floor. It then takes it 0.90 s to reach the floor. It. The Figure Shows A 100 Kg Block.
From www.numerade.com
The 100 [kg] block in the figure takes 6.0 [s] to reach the floor after The Figure Shows A 100 Kg Block It then takes it 0.90 s to reach the floor. It then takes it 0.90 s to reach the floor. the figure shows a 100 kg block being released from rest from a height of 1.0 m. It then takes 0.90 s to reach the. mastering physics video solution for problem #5.84 the 100 kg block in figure. The Figure Shows A 100 Kg Block.
From www.chegg.com
Solved The figure shows a 100kg block being released from The Figure Shows A 100 Kg Block It then takes 0.90 s to reach the. the figure shows a 100 kg block being released from rest from a height of 1.0 m. It then takes it 0.90 s to reach the floor. What is the mass m of the other block? It then takes 0.90 s to reach the floor. There is no option close to. The Figure Shows A 100 Kg Block.
From www.coursehero.com
[Solved] The figure shows a 100 kg block being released from rest from The Figure Shows A 100 Kg Block mastering physics video solution for problem #5.84 the 100 kg block in figure p5.84 takes 6.0 s to reach the. It then takes 0.90 s to reach the floor. There is no option close to 85.2 kg in the given choices. It then takes 0.90 s to reach the. What is the mass m of the other block? . The Figure Shows A 100 Kg Block.
From www.chegg.com
Solved 3) The figure below shows a 100 kg block being The Figure Shows A 100 Kg Block There is no option close to 85.2 kg in the given choices. It then takes it 0.90 s to reach the floor. It then takes 0.90 s to reach the. It then takes 0.90 s to reach the floor. mastering physics video solution for problem #5.84 the 100 kg block in figure p5.84 takes 6.0 s to reach the.. The Figure Shows A 100 Kg Block.
From www.chegg.com
Solved Question 16 The figure shows a 100kg block being The Figure Shows A 100 Kg Block It then takes it 0.90 s to reach the floor. mastering physics video solution for problem #5.84 the 100 kg block in figure p5.84 takes 6.0 s to reach the. It then takes 0.90 s to reach the. What is the mass m of the other block? There is no option close to 85.2 kg in the given choices.. The Figure Shows A 100 Kg Block.
From www.chegg.com
Solved n The figure shows a 100kg block being released from The Figure Shows A 100 Kg Block It then takes it 0.90 s to reach the floor. the figure shows a 100 kg block being released from rest from a height of 1.0 m. It then takes it 0.90 s to reach the floor. It then takes 0.90 s to reach the floor. mastering physics video solution for problem #5.84 the 100 kg block in. The Figure Shows A 100 Kg Block.
From www.bartleby.com
Answered The figure shows a 100kg block being… bartleby The Figure Shows A 100 Kg Block What is the mass m of the other block? It then takes it 0.90 s to reach the floor. There is no option close to 85.2 kg in the given choices. It then takes 0.90 s to reach the. It then takes 0.90 s to reach the floor. It then takes it 0.90 s to reach the floor. the. The Figure Shows A 100 Kg Block.
From www.numerade.com
The figure shows a 100kg block being released from rest from a height The Figure Shows A 100 Kg Block What is the mass m of the other block? the figure shows a 100 kg block being released from rest from a height of 1.0 m. It then takes it 0.90 s to reach the floor. It then takes it 0.90 s to reach the floor. It then takes 0.90 s to reach the. It then takes 0.90 s. The Figure Shows A 100 Kg Block.
From www.chegg.com
Solved As shown in the figure, the 100 kg block is in The Figure Shows A 100 Kg Block the figure shows a 100 kg block being released from rest from a height of 1.0 m. It then takes 0.90 s to reach the floor. There is no option close to 85.2 kg in the given choices. It then takes it 0.90 s to reach the floor. It then takes it 0.90 s to reach the floor. . The Figure Shows A 100 Kg Block.