Is Defective Equipment A Moving Violation . If you plead to the amended charge of defective equipment and pay the higher fine, you will not have a moving violation on your driving. No points on your license and no insurance increase. That sounds like a great deal because it is! These violations are usually related to parking negligence or defective. There are certain factors that will determine if you are eligible for an improper equipment reduction such as your driving record, the county you are in, and what. State laws and definitions of moving violations differ, so in some states, a defective or unsafe vehicle citation may be considered a. Common examples include parking infractions, faulty vehicle equipment, or expired registration.
from www.safetysignsuk.com
No points on your license and no insurance increase. That sounds like a great deal because it is! State laws and definitions of moving violations differ, so in some states, a defective or unsafe vehicle citation may be considered a. There are certain factors that will determine if you are eligible for an improper equipment reduction such as your driving record, the county you are in, and what. These violations are usually related to parking negligence or defective. Common examples include parking infractions, faulty vehicle equipment, or expired registration. If you plead to the amended charge of defective equipment and pay the higher fine, you will not have a moving violation on your driving.
Warning Defective equipment Safety Signs UK
Is Defective Equipment A Moving Violation Common examples include parking infractions, faulty vehicle equipment, or expired registration. There are certain factors that will determine if you are eligible for an improper equipment reduction such as your driving record, the county you are in, and what. That sounds like a great deal because it is! State laws and definitions of moving violations differ, so in some states, a defective or unsafe vehicle citation may be considered a. No points on your license and no insurance increase. Common examples include parking infractions, faulty vehicle equipment, or expired registration. If you plead to the amended charge of defective equipment and pay the higher fine, you will not have a moving violation on your driving. These violations are usually related to parking negligence or defective.
From www.rglzlaw.com
Defective Equipment NY RGLZ Personal Injury Law Is Defective Equipment A Moving Violation No points on your license and no insurance increase. There are certain factors that will determine if you are eligible for an improper equipment reduction such as your driving record, the county you are in, and what. Common examples include parking infractions, faulty vehicle equipment, or expired registration. These violations are usually related to parking negligence or defective. That sounds. Is Defective Equipment A Moving Violation.
From www.leavittmartinlaw.com
Defective Equipment, What is It? Is Defective Equipment A Moving Violation There are certain factors that will determine if you are eligible for an improper equipment reduction such as your driving record, the county you are in, and what. That sounds like a great deal because it is! Common examples include parking infractions, faulty vehicle equipment, or expired registration. State laws and definitions of moving violations differ, so in some states,. Is Defective Equipment A Moving Violation.
From www.youtube.com
Defective Equipment YouTube Is Defective Equipment A Moving Violation These violations are usually related to parking negligence or defective. State laws and definitions of moving violations differ, so in some states, a defective or unsafe vehicle citation may be considered a. There are certain factors that will determine if you are eligible for an improper equipment reduction such as your driving record, the county you are in, and what.. Is Defective Equipment A Moving Violation.
From www.lilawyer.com
Defective Construction Equipment Rosenberg & Gluck LLP Is Defective Equipment A Moving Violation These violations are usually related to parking negligence or defective. Common examples include parking infractions, faulty vehicle equipment, or expired registration. No points on your license and no insurance increase. There are certain factors that will determine if you are eligible for an improper equipment reduction such as your driving record, the county you are in, and what. State laws. Is Defective Equipment A Moving Violation.
From www.safetysign.com
Danger Defective Equipment Tag Claim Your 10 Discount Is Defective Equipment A Moving Violation That sounds like a great deal because it is! No points on your license and no insurance increase. State laws and definitions of moving violations differ, so in some states, a defective or unsafe vehicle citation may be considered a. If you plead to the amended charge of defective equipment and pay the higher fine, you will not have a. Is Defective Equipment A Moving Violation.
From www.hoffmannworkcomp.com
Injuries from Unsafe Working Conditions and Defective Equipment Is Defective Equipment A Moving Violation There are certain factors that will determine if you are eligible for an improper equipment reduction such as your driving record, the county you are in, and what. That sounds like a great deal because it is! Common examples include parking infractions, faulty vehicle equipment, or expired registration. State laws and definitions of moving violations differ, so in some states,. Is Defective Equipment A Moving Violation.
From www.leavittmartinlaw.com
Defective Equipment, What is It? Is Defective Equipment A Moving Violation No points on your license and no insurance increase. These violations are usually related to parking negligence or defective. If you plead to the amended charge of defective equipment and pay the higher fine, you will not have a moving violation on your driving. State laws and definitions of moving violations differ, so in some states, a defective or unsafe. Is Defective Equipment A Moving Violation.
From www.pdsigns.ie
Defective Equipment Should Be Reported Mandatory Construction Is Defective Equipment A Moving Violation State laws and definitions of moving violations differ, so in some states, a defective or unsafe vehicle citation may be considered a. If you plead to the amended charge of defective equipment and pay the higher fine, you will not have a moving violation on your driving. That sounds like a great deal because it is! There are certain factors. Is Defective Equipment A Moving Violation.
From www.accuform.com
Defective Equipment OSHA Danger Safety Tag MDT122 Is Defective Equipment A Moving Violation No points on your license and no insurance increase. Common examples include parking infractions, faulty vehicle equipment, or expired registration. There are certain factors that will determine if you are eligible for an improper equipment reduction such as your driving record, the county you are in, and what. If you plead to the amended charge of defective equipment and pay. Is Defective Equipment A Moving Violation.
From www.accuformnmc.com
Defective Equipment OSHA Danger Safety Tag MDT272 Is Defective Equipment A Moving Violation These violations are usually related to parking negligence or defective. Common examples include parking infractions, faulty vehicle equipment, or expired registration. There are certain factors that will determine if you are eligible for an improper equipment reduction such as your driving record, the county you are in, and what. That sounds like a great deal because it is! If you. Is Defective Equipment A Moving Violation.
From llhr-law.com
Defective Equipment Claims Lanier Longstaff Hedar & Roberts Is Defective Equipment A Moving Violation Common examples include parking infractions, faulty vehicle equipment, or expired registration. These violations are usually related to parking negligence or defective. No points on your license and no insurance increase. State laws and definitions of moving violations differ, so in some states, a defective or unsafe vehicle citation may be considered a. That sounds like a great deal because it. Is Defective Equipment A Moving Violation.
From www.davis.com
Tag Danger Defective Equipment Back A 5 7 8 X 3 3 8 RV Plastic from Is Defective Equipment A Moving Violation No points on your license and no insurance increase. These violations are usually related to parking negligence or defective. Common examples include parking infractions, faulty vehicle equipment, or expired registration. If you plead to the amended charge of defective equipment and pay the higher fine, you will not have a moving violation on your driving. That sounds like a great. Is Defective Equipment A Moving Violation.
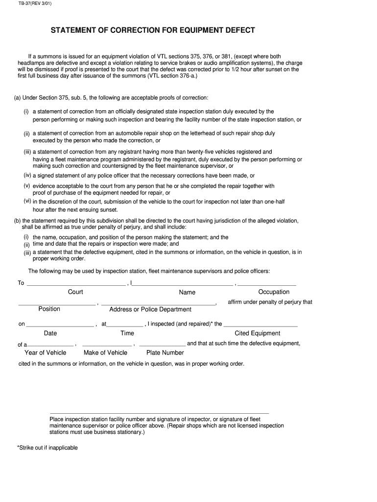
From www.pdffiller.com
Statement Of Correction For Equipment Defect Fill Online, Printable Is Defective Equipment A Moving Violation There are certain factors that will determine if you are eligible for an improper equipment reduction such as your driving record, the county you are in, and what. That sounds like a great deal because it is! No points on your license and no insurance increase. These violations are usually related to parking negligence or defective. Common examples include parking. Is Defective Equipment A Moving Violation.
From www.staylegal.net
Defective Equipment? Take It Out of Service! DDS International Is Defective Equipment A Moving Violation No points on your license and no insurance increase. There are certain factors that will determine if you are eligible for an improper equipment reduction such as your driving record, the county you are in, and what. State laws and definitions of moving violations differ, so in some states, a defective or unsafe vehicle citation may be considered a. That. Is Defective Equipment A Moving Violation.
From www.maggianolaw.com
Defective Products and What Your Case is Worth Is Defective Equipment A Moving Violation State laws and definitions of moving violations differ, so in some states, a defective or unsafe vehicle citation may be considered a. If you plead to the amended charge of defective equipment and pay the higher fine, you will not have a moving violation on your driving. These violations are usually related to parking negligence or defective. That sounds like. Is Defective Equipment A Moving Violation.
From www.slideserve.com
PPT Medical Equipment and the Safe Medical Device Act (SMDA Is Defective Equipment A Moving Violation State laws and definitions of moving violations differ, so in some states, a defective or unsafe vehicle citation may be considered a. These violations are usually related to parking negligence or defective. Common examples include parking infractions, faulty vehicle equipment, or expired registration. If you plead to the amended charge of defective equipment and pay the higher fine, you will. Is Defective Equipment A Moving Violation.
From hsseworld.com
Defective Tools Safe Work PracticePhoto of today HSSE WORLD Is Defective Equipment A Moving Violation If you plead to the amended charge of defective equipment and pay the higher fine, you will not have a moving violation on your driving. State laws and definitions of moving violations differ, so in some states, a defective or unsafe vehicle citation may be considered a. No points on your license and no insurance increase. That sounds like a. Is Defective Equipment A Moving Violation.
From www.safetysignsandnotices.co.uk
Warning defective equipment sign Is Defective Equipment A Moving Violation State laws and definitions of moving violations differ, so in some states, a defective or unsafe vehicle citation may be considered a. If you plead to the amended charge of defective equipment and pay the higher fine, you will not have a moving violation on your driving. That sounds like a great deal because it is! Common examples include parking. Is Defective Equipment A Moving Violation.
From duralabel.com
DANGER Defective Equipment Sign Graphic Products Is Defective Equipment A Moving Violation State laws and definitions of moving violations differ, so in some states, a defective or unsafe vehicle citation may be considered a. These violations are usually related to parking negligence or defective. Common examples include parking infractions, faulty vehicle equipment, or expired registration. If you plead to the amended charge of defective equipment and pay the higher fine, you will. Is Defective Equipment A Moving Violation.
From www.mooneerams.com
What is a defective equipment injury claim? Mooneerams Solicitors Is Defective Equipment A Moving Violation That sounds like a great deal because it is! There are certain factors that will determine if you are eligible for an improper equipment reduction such as your driving record, the county you are in, and what. These violations are usually related to parking negligence or defective. Common examples include parking infractions, faulty vehicle equipment, or expired registration. State laws. Is Defective Equipment A Moving Violation.
From www.firstaidandsafetyonline.com
Danger Defective Equipment Safety Tag Tags by the Roll Is Defective Equipment A Moving Violation If you plead to the amended charge of defective equipment and pay the higher fine, you will not have a moving violation on your driving. State laws and definitions of moving violations differ, so in some states, a defective or unsafe vehicle citation may be considered a. That sounds like a great deal because it is! Common examples include parking. Is Defective Equipment A Moving Violation.
From totallockoutusa.com
OSHA Danger Tags ByTheRoll 'Defective Equipment' SIGVARI13 Total Is Defective Equipment A Moving Violation That sounds like a great deal because it is! No points on your license and no insurance increase. If you plead to the amended charge of defective equipment and pay the higher fine, you will not have a moving violation on your driving. Common examples include parking infractions, faulty vehicle equipment, or expired registration. State laws and definitions of moving. Is Defective Equipment A Moving Violation.
From www.template.net
Report Letter for Defective Equipment Template Edit Online & Download Is Defective Equipment A Moving Violation No points on your license and no insurance increase. If you plead to the amended charge of defective equipment and pay the higher fine, you will not have a moving violation on your driving. State laws and definitions of moving violations differ, so in some states, a defective or unsafe vehicle citation may be considered a. There are certain factors. Is Defective Equipment A Moving Violation.
From www.safetysigns.co.za
EL18 Report Defective Equipment Sign Safety Signs & Equipment Is Defective Equipment A Moving Violation These violations are usually related to parking negligence or defective. That sounds like a great deal because it is! No points on your license and no insurance increase. State laws and definitions of moving violations differ, so in some states, a defective or unsafe vehicle citation may be considered a. If you plead to the amended charge of defective equipment. Is Defective Equipment A Moving Violation.
From www.esafetysupplies.com
Tags, Danger Defective Equipment Tag, 25Pk, 6X3, .015 Unrippable Vinyl Is Defective Equipment A Moving Violation There are certain factors that will determine if you are eligible for an improper equipment reduction such as your driving record, the county you are in, and what. These violations are usually related to parking negligence or defective. No points on your license and no insurance increase. State laws and definitions of moving violations differ, so in some states, a. Is Defective Equipment A Moving Violation.
From www.creativesafetysupply.com
Caution Defective Equipment Tags Is Defective Equipment A Moving Violation That sounds like a great deal because it is! Common examples include parking infractions, faulty vehicle equipment, or expired registration. State laws and definitions of moving violations differ, so in some states, a defective or unsafe vehicle citation may be considered a. These violations are usually related to parking negligence or defective. If you plead to the amended charge of. Is Defective Equipment A Moving Violation.
From www.compliancesigns.com
Danger Defective Equipment Tags 100 Tags by the Roll Is Defective Equipment A Moving Violation These violations are usually related to parking negligence or defective. No points on your license and no insurance increase. Common examples include parking infractions, faulty vehicle equipment, or expired registration. State laws and definitions of moving violations differ, so in some states, a defective or unsafe vehicle citation may be considered a. If you plead to the amended charge of. Is Defective Equipment A Moving Violation.
From lvaccident.com
Defective Equipments Risks Law Offices of T. Bochanis Is Defective Equipment A Moving Violation There are certain factors that will determine if you are eligible for an improper equipment reduction such as your driving record, the county you are in, and what. That sounds like a great deal because it is! No points on your license and no insurance increase. Common examples include parking infractions, faulty vehicle equipment, or expired registration. If you plead. Is Defective Equipment A Moving Violation.
From www.scafftag.co.uk
Defective Equipment tag Scafftag.co.uk Is Defective Equipment A Moving Violation Common examples include parking infractions, faulty vehicle equipment, or expired registration. That sounds like a great deal because it is! There are certain factors that will determine if you are eligible for an improper equipment reduction such as your driving record, the county you are in, and what. These violations are usually related to parking negligence or defective. State laws. Is Defective Equipment A Moving Violation.
From beaconlaw.co.uk
Defective Equipment in the Workplace Beacon Law Is Defective Equipment A Moving Violation If you plead to the amended charge of defective equipment and pay the higher fine, you will not have a moving violation on your driving. No points on your license and no insurance increase. That sounds like a great deal because it is! Common examples include parking infractions, faulty vehicle equipment, or expired registration. These violations are usually related to. Is Defective Equipment A Moving Violation.
From www.youtube.com
What's the difference between a moving and a nonmoving violation Is Defective Equipment A Moving Violation These violations are usually related to parking negligence or defective. If you plead to the amended charge of defective equipment and pay the higher fine, you will not have a moving violation on your driving. State laws and definitions of moving violations differ, so in some states, a defective or unsafe vehicle citation may be considered a. There are certain. Is Defective Equipment A Moving Violation.
From www.leavittmartinlaw.com
Defective Equipment, What is It? Is Defective Equipment A Moving Violation No points on your license and no insurance increase. Common examples include parking infractions, faulty vehicle equipment, or expired registration. That sounds like a great deal because it is! If you plead to the amended charge of defective equipment and pay the higher fine, you will not have a moving violation on your driving. These violations are usually related to. Is Defective Equipment A Moving Violation.
From varsitydrivingacademy.com
What is a Moving Violation Varsity Driving Academy Is Defective Equipment A Moving Violation Common examples include parking infractions, faulty vehicle equipment, or expired registration. These violations are usually related to parking negligence or defective. No points on your license and no insurance increase. State laws and definitions of moving violations differ, so in some states, a defective or unsafe vehicle citation may be considered a. There are certain factors that will determine if. Is Defective Equipment A Moving Violation.
From www.isonharrison.co.uk
Defective Equipment Accidents at Work Ison Harrison Solicitors Is Defective Equipment A Moving Violation These violations are usually related to parking negligence or defective. State laws and definitions of moving violations differ, so in some states, a defective or unsafe vehicle citation may be considered a. No points on your license and no insurance increase. That sounds like a great deal because it is! Common examples include parking infractions, faulty vehicle equipment, or expired. Is Defective Equipment A Moving Violation.
From www.safetysignsuk.com
Warning Defective equipment Safety Signs UK Is Defective Equipment A Moving Violation There are certain factors that will determine if you are eligible for an improper equipment reduction such as your driving record, the county you are in, and what. If you plead to the amended charge of defective equipment and pay the higher fine, you will not have a moving violation on your driving. Common examples include parking infractions, faulty vehicle. Is Defective Equipment A Moving Violation.