Protein Denaturation Experiment Observation . In this experiment you will get to explore the phenomenon.   when a protein is exposed to conditions too far outside of a range it can tolerate, that protein’s shape will come undone. Since the native conformation is usually the most water soluble, disrupting.  protein denaturation is an essential part of food science, and an everyday part of cooking.  this is called “denaturing” (basically, breaking) a protein. How might the addition hydrochloric acid lead to protein denaturation? Which type(s) of amino acid sidechains could be altered. In vitro experiments involve denaturing the.  denaturation results in a loss of protein activity. We denature proteins all the time when we cook food (think: The objective of this experiment is to determine whether proteins denature.  scientists have investigated the folding of proteins both in vitro and in vivo.
        
        from www.youtube.com 
     
        
         scientists have investigated the folding of proteins both in vitro and in vivo. In this experiment you will get to explore the phenomenon.  protein denaturation is an essential part of food science, and an everyday part of cooking. The objective of this experiment is to determine whether proteins denature.  this is called “denaturing” (basically, breaking) a protein. Which type(s) of amino acid sidechains could be altered. Since the native conformation is usually the most water soluble, disrupting.   when a protein is exposed to conditions too far outside of a range it can tolerate, that protein’s shape will come undone. In vitro experiments involve denaturing the.  denaturation results in a loss of protein activity.
    
    	
            
	
		 
         
    egg in HCl + proteins denaturation YouTube 
    Protein Denaturation Experiment Observation    when a protein is exposed to conditions too far outside of a range it can tolerate, that protein’s shape will come undone.  denaturation results in a loss of protein activity.  protein denaturation is an essential part of food science, and an everyday part of cooking. In this experiment you will get to explore the phenomenon. In vitro experiments involve denaturing the. How might the addition hydrochloric acid lead to protein denaturation? Which type(s) of amino acid sidechains could be altered.  this is called “denaturing” (basically, breaking) a protein. We denature proteins all the time when we cook food (think:   when a protein is exposed to conditions too far outside of a range it can tolerate, that protein’s shape will come undone.  scientists have investigated the folding of proteins both in vitro and in vivo. The objective of this experiment is to determine whether proteins denature. Since the native conformation is usually the most water soluble, disrupting.
            
	
		 
         
 
    
        From www.youtube.com 
                    egg in HCl + proteins denaturation YouTube Protein Denaturation Experiment Observation   protein denaturation is an essential part of food science, and an everyday part of cooking. We denature proteins all the time when we cook food (think:  this is called “denaturing” (basically, breaking) a protein. In vitro experiments involve denaturing the.   when a protein is exposed to conditions too far outside of a range it can tolerate, that. Protein Denaturation Experiment Observation.
     
    
        From murrayshhs2017.weebly.com 
                    Lessons 1012 Murray SHHs 2017 Protein Denaturation Experiment Observation  The objective of this experiment is to determine whether proteins denature.  this is called “denaturing” (basically, breaking) a protein.  denaturation results in a loss of protein activity. How might the addition hydrochloric acid lead to protein denaturation? In vitro experiments involve denaturing the.  scientists have investigated the folding of proteins both in vitro and in vivo. . Protein Denaturation Experiment Observation.
     
    
        From www.chegg.com 
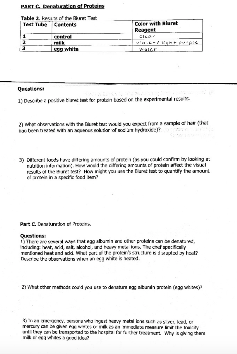
                    PART C. Denaturation of Proteins Table 2. Results of Protein Denaturation Experiment Observation  Which type(s) of amino acid sidechains could be altered.   when a protein is exposed to conditions too far outside of a range it can tolerate, that protein’s shape will come undone.  scientists have investigated the folding of proteins both in vitro and in vivo. How might the addition hydrochloric acid lead to protein denaturation? The objective of this. Protein Denaturation Experiment Observation.
     
    
        From www.studypool.com 
                    SOLUTION Experiment Protein Denaturation Lab Report Studypool Protein Denaturation Experiment Observation  We denature proteins all the time when we cook food (think: In this experiment you will get to explore the phenomenon. Since the native conformation is usually the most water soluble, disrupting. How might the addition hydrochloric acid lead to protein denaturation? Which type(s) of amino acid sidechains could be altered.  scientists have investigated the folding of proteins both. Protein Denaturation Experiment Observation.
     
    
        From www.abiweb.de 
                    Denaturierung Physikalische Chemie OnlineKurse Protein Denaturation Experiment Observation    when a protein is exposed to conditions too far outside of a range it can tolerate, that protein’s shape will come undone. In vitro experiments involve denaturing the.  protein denaturation is an essential part of food science, and an everyday part of cooking. Which type(s) of amino acid sidechains could be altered. In this experiment you will get. Protein Denaturation Experiment Observation.
     
    
        From www.youtube.com 
                    Protein Denaturation Experiment Damage Protein YouTube Protein Denaturation Experiment Observation  Which type(s) of amino acid sidechains could be altered. In vitro experiments involve denaturing the.  scientists have investigated the folding of proteins both in vitro and in vivo.  protein denaturation is an essential part of food science, and an everyday part of cooking.   when a protein is exposed to conditions too far outside of a range it. Protein Denaturation Experiment Observation.
     
    
        From www.chegg.com 
                    Solved For each agent utilized in the experiment of protein Protein Denaturation Experiment Observation  Which type(s) of amino acid sidechains could be altered.   when a protein is exposed to conditions too far outside of a range it can tolerate, that protein’s shape will come undone. How might the addition hydrochloric acid lead to protein denaturation? The objective of this experiment is to determine whether proteins denature. In this experiment you will get to. Protein Denaturation Experiment Observation.
     
    
        From studylib.net 
                    Denaturing Proteins Protein Denaturation Experiment Observation  In this experiment you will get to explore the phenomenon. We denature proteins all the time when we cook food (think: Since the native conformation is usually the most water soluble, disrupting. Which type(s) of amino acid sidechains could be altered.  this is called “denaturing” (basically, breaking) a protein. The objective of this experiment is to determine whether proteins. Protein Denaturation Experiment Observation.
     
    
        From www.slideserve.com 
                    PPT What is ‘denaturing a protein’? PowerPoint Presentation, free Protein Denaturation Experiment Observation  Since the native conformation is usually the most water soluble, disrupting. In this experiment you will get to explore the phenomenon.  this is called “denaturing” (basically, breaking) a protein. Which type(s) of amino acid sidechains could be altered.  protein denaturation is an essential part of food science, and an everyday part of cooking. The objective of this experiment. Protein Denaturation Experiment Observation.
     
    
        From cekmlhrl.blob.core.windows.net 
                    Protein Denaturation Experiment Pdf at Irene Kern blog Protein Denaturation Experiment Observation    when a protein is exposed to conditions too far outside of a range it can tolerate, that protein’s shape will come undone. How might the addition hydrochloric acid lead to protein denaturation? Since the native conformation is usually the most water soluble, disrupting.  protein denaturation is an essential part of food science, and an everyday part of cooking.. Protein Denaturation Experiment Observation.
     
    
        From www.chegg.com 
                    Solved B. Denaturation of Proteins Materials Test tubes, Protein Denaturation Experiment Observation   this is called “denaturing” (basically, breaking) a protein.  protein denaturation is an essential part of food science, and an everyday part of cooking. We denature proteins all the time when we cook food (think: In this experiment you will get to explore the phenomenon.  scientists have investigated the folding of proteins both in vitro and in vivo.. Protein Denaturation Experiment Observation.
     
    
        From www.slideshare.net 
                    Denaturation of protein Protein Denaturation Experiment Observation  How might the addition hydrochloric acid lead to protein denaturation? Which type(s) of amino acid sidechains could be altered. In this experiment you will get to explore the phenomenon.  protein denaturation is an essential part of food science, and an everyday part of cooking.  scientists have investigated the folding of proteins both in vitro and in vivo. . Protein Denaturation Experiment Observation.
     
    
        From www.chegg.com 
                    Solved Protein Denaturation lab DENATURING Protein Denaturation Experiment Observation   denaturation results in a loss of protein activity. Since the native conformation is usually the most water soluble, disrupting. How might the addition hydrochloric acid lead to protein denaturation? In this experiment you will get to explore the phenomenon.  scientists have investigated the folding of proteins both in vitro and in vivo. We denature proteins all the time. Protein Denaturation Experiment Observation.
     
    
        From studylib.net 
                    Denaturing Proteins Lab Protein Denaturation Experiment Observation  In vitro experiments involve denaturing the. How might the addition hydrochloric acid lead to protein denaturation? Since the native conformation is usually the most water soluble, disrupting.  denaturation results in a loss of protein activity. The objective of this experiment is to determine whether proteins denature.  this is called “denaturing” (basically, breaking) a protein. Which type(s) of amino. Protein Denaturation Experiment Observation.
     
    
        From www.studocu.com 
                    Analysis AND Denaturation OF Protein ANALYSIS AND DENATURATION OF Protein Denaturation Experiment Observation  The objective of this experiment is to determine whether proteins denature. Which type(s) of amino acid sidechains could be altered.   when a protein is exposed to conditions too far outside of a range it can tolerate, that protein’s shape will come undone. How might the addition hydrochloric acid lead to protein denaturation?  this is called “denaturing” (basically, breaking). Protein Denaturation Experiment Observation.
     
    
        From www.studocu.com 
                    CHY47 ActivityDenaturationofprotein CHY 47. Denaturation of Protein Denaturation Experiment Observation  Which type(s) of amino acid sidechains could be altered.  this is called “denaturing” (basically, breaking) a protein. In vitro experiments involve denaturing the. The objective of this experiment is to determine whether proteins denature. In this experiment you will get to explore the phenomenon. Since the native conformation is usually the most water soluble, disrupting.  protein denaturation is. Protein Denaturation Experiment Observation.
     
    
        From www.studocu.com 
                    Protein denaturation week2 Name Neethu joyal OL Lab 2 Protein Protein Denaturation Experiment Observation   denaturation results in a loss of protein activity.  protein denaturation is an essential part of food science, and an everyday part of cooking. In this experiment you will get to explore the phenomenon. We denature proteins all the time when we cook food (think: Since the native conformation is usually the most water soluble, disrupting.  scientists have. Protein Denaturation Experiment Observation.
     
    
        From www.studocu.com 
                    Experiment Protein n/a Experiment on Denaturation of Protein I Protein Denaturation Experiment Observation   denaturation results in a loss of protein activity. Which type(s) of amino acid sidechains could be altered.  protein denaturation is an essential part of food science, and an everyday part of cooking. In this experiment you will get to explore the phenomenon. We denature proteins all the time when we cook food (think:  this is called “denaturing”. Protein Denaturation Experiment Observation.
     
    
        From pubs.acs.org 
                    Heightened ColdDenaturation of Proteins at the IceWater Interface Protein Denaturation Experiment Observation    when a protein is exposed to conditions too far outside of a range it can tolerate, that protein’s shape will come undone. In this experiment you will get to explore the phenomenon. The objective of this experiment is to determine whether proteins denature.  protein denaturation is an essential part of food science, and an everyday part of cooking.. Protein Denaturation Experiment Observation.
     
    
        From www.studocu.com 
                    Biochem lab notes PROTEIN DENATURATION EXPERIMENT 2B 1 Protein Protein Denaturation Experiment Observation  Which type(s) of amino acid sidechains could be altered.  protein denaturation is an essential part of food science, and an everyday part of cooking. We denature proteins all the time when we cook food (think:  scientists have investigated the folding of proteins both in vitro and in vivo. In vitro experiments involve denaturing the.   when a protein. Protein Denaturation Experiment Observation.
     
    
        From www.pinterest.com 
                    Protein Denaturation Science Experiment for Kid Biology experiments Protein Denaturation Experiment Observation  The objective of this experiment is to determine whether proteins denature.   when a protein is exposed to conditions too far outside of a range it can tolerate, that protein’s shape will come undone. In this experiment you will get to explore the phenomenon. How might the addition hydrochloric acid lead to protein denaturation? In vitro experiments involve denaturing the.. Protein Denaturation Experiment Observation.
     
    
        From www.youtube.com 
                    Protein Denaturation Experiment// Home Edition YouTube Protein Denaturation Experiment Observation   protein denaturation is an essential part of food science, and an everyday part of cooking. We denature proteins all the time when we cook food (think:  denaturation results in a loss of protein activity. How might the addition hydrochloric acid lead to protein denaturation? The objective of this experiment is to determine whether proteins denature.  scientists have. Protein Denaturation Experiment Observation.
     
    
        From www.researchgate.net 
                    (PDF) Modalities of Protein Denaturation and Nature of Denaturants Protein Denaturation Experiment Observation   this is called “denaturing” (basically, breaking) a protein.  scientists have investigated the folding of proteins both in vitro and in vivo.   when a protein is exposed to conditions too far outside of a range it can tolerate, that protein’s shape will come undone. Which type(s) of amino acid sidechains could be altered. We denature proteins all the. Protein Denaturation Experiment Observation.
     
    
        From www.youtube.com 
                    Protein Denaturing Activity (group 1) YouTube Protein Denaturation Experiment Observation   this is called “denaturing” (basically, breaking) a protein.  scientists have investigated the folding of proteins both in vitro and in vivo. Since the native conformation is usually the most water soluble, disrupting. In this experiment you will get to explore the phenomenon.   when a protein is exposed to conditions too far outside of a range it can. Protein Denaturation Experiment Observation.
     
    
        From chemistrytalk.org 
                    Denaturation of Proteins What is it? ChemTalk Protein Denaturation Experiment Observation  Since the native conformation is usually the most water soluble, disrupting. We denature proteins all the time when we cook food (think: The objective of this experiment is to determine whether proteins denature.   when a protein is exposed to conditions too far outside of a range it can tolerate, that protein’s shape will come undone.  this is called. Protein Denaturation Experiment Observation.
     
    
        From www.coursehero.com 
                    [Solved] Denatured Protein Lab Using household items, do wet lab at Protein Denaturation Experiment Observation  Since the native conformation is usually the most water soluble, disrupting.   when a protein is exposed to conditions too far outside of a range it can tolerate, that protein’s shape will come undone. In this experiment you will get to explore the phenomenon. How might the addition hydrochloric acid lead to protein denaturation? The objective of this experiment is. Protein Denaturation Experiment Observation.
     
    
        From www.chegg.com 
                    Solved Isolation of the chromoprotein from Spirulina Protein Denaturation Experiment Observation  How might the addition hydrochloric acid lead to protein denaturation?  scientists have investigated the folding of proteins both in vitro and in vivo. Since the native conformation is usually the most water soluble, disrupting. In vitro experiments involve denaturing the.  denaturation results in a loss of protein activity.  protein denaturation is an essential part of food science,. Protein Denaturation Experiment Observation.
     
    
        From byjus.com 
                    Denaturation Of Proteins By Urea Enzymes Of Denatured Ph Value Protein Denaturation Experiment Observation   denaturation results in a loss of protein activity. Since the native conformation is usually the most water soluble, disrupting. In vitro experiments involve denaturing the.   when a protein is exposed to conditions too far outside of a range it can tolerate, that protein’s shape will come undone. We denature proteins all the time when we cook food (think:. Protein Denaturation Experiment Observation.
     
    
        From www.youtube.com 
                    Biochemistry Protein Denaturation Experiment YouTube Protein Denaturation Experiment Observation  In this experiment you will get to explore the phenomenon.  denaturation results in a loss of protein activity.  protein denaturation is an essential part of food science, and an everyday part of cooking. In vitro experiments involve denaturing the. How might the addition hydrochloric acid lead to protein denaturation?   when a protein is exposed to conditions too. Protein Denaturation Experiment Observation.
     
    
        From www.numerade.com 
                    SOLVED Text Data Sheets (to fill) t( T7. 431731 Table 2 Protein Denaturation Experiment Observation  Which type(s) of amino acid sidechains could be altered. In vitro experiments involve denaturing the.  this is called “denaturing” (basically, breaking) a protein. In this experiment you will get to explore the phenomenon.   when a protein is exposed to conditions too far outside of a range it can tolerate, that protein’s shape will come undone. The objective of. Protein Denaturation Experiment Observation.
     
    
        From www.studocu.com 
                    Denaturing Proteins Denaturing Proteins Objective To experiment with Protein Denaturation Experiment Observation  In vitro experiments involve denaturing the.  scientists have investigated the folding of proteins both in vitro and in vivo. Since the native conformation is usually the most water soluble, disrupting. How might the addition hydrochloric acid lead to protein denaturation? The objective of this experiment is to determine whether proteins denature. Which type(s) of amino acid sidechains could be. Protein Denaturation Experiment Observation.
     
    
        From www.youtube.com 
                    Denaturing Protein Experiment / Easy Biology (Using Egg Whites to Test Protein Denaturation Experiment Observation  In vitro experiments involve denaturing the. We denature proteins all the time when we cook food (think:  this is called “denaturing” (basically, breaking) a protein.  denaturation results in a loss of protein activity.  protein denaturation is an essential part of food science, and an everyday part of cooking.  scientists have investigated the folding of proteins both. Protein Denaturation Experiment Observation.
     
    
        From www.studocu.com 
                    Denaturation of Protein Experiment No. 4 Denaturation of Protein Protein Denaturation Experiment Observation  We denature proteins all the time when we cook food (think:  this is called “denaturing” (basically, breaking) a protein.  denaturation results in a loss of protein activity.  scientists have investigated the folding of proteins both in vitro and in vivo.  protein denaturation is an essential part of food science, and an everyday part of cooking. Since. Protein Denaturation Experiment Observation.
     
    
        From www.studocu.com 
                    Protein Denaturation in Labster PROTEIN DENATURATION is the Protein Denaturation Experiment Observation  The objective of this experiment is to determine whether proteins denature.  scientists have investigated the folding of proteins both in vitro and in vivo. Which type(s) of amino acid sidechains could be altered. How might the addition hydrochloric acid lead to protein denaturation? In this experiment you will get to explore the phenomenon.   when a protein is exposed. Protein Denaturation Experiment Observation.
     
    
        From www.studypool.com 
                    SOLUTION Experiment Protein Denaturation Lab Report Studypool Protein Denaturation Experiment Observation  The objective of this experiment is to determine whether proteins denature. In this experiment you will get to explore the phenomenon. We denature proteins all the time when we cook food (think: Since the native conformation is usually the most water soluble, disrupting.  denaturation results in a loss of protein activity.  this is called “denaturing” (basically, breaking) a. Protein Denaturation Experiment Observation.