Calibration Procedure Document . The current and proposed procedures cover a variety of measurement parameters including: *file must have.xltx extension in order to work. 7.1 affixing of identification marks, handling, transporting, storing and preparation. A calibrated equipment procedure describes the process that tests and records the accuracy of all measuring, testing, and monitoring equipment. The equipment calibration form provides the necessary documentation to show that equipment is regularly calibrated in accordance with the established procedures,. It details how calibration activities should be performed, the responsibilities for each task and any other conditions or limitations to the calibration. Hb 145 was developed as a source of calibration procedures for weights and measures laboratories and covered mass, length and. 7 procedure include any special items as noted in this list: Here is a link to a catalog of weighing designs. The purpose of this document is to provide guidance to canadian food inspection agency (cfia) inspection staff on the calibration or. This document recommends environmental practices and documentary and operational protocols for calibration laboratories that.
from www.scribd.com
The current and proposed procedures cover a variety of measurement parameters including: The equipment calibration form provides the necessary documentation to show that equipment is regularly calibrated in accordance with the established procedures,. This document recommends environmental practices and documentary and operational protocols for calibration laboratories that. A calibrated equipment procedure describes the process that tests and records the accuracy of all measuring, testing, and monitoring equipment. Here is a link to a catalog of weighing designs. 7.1 affixing of identification marks, handling, transporting, storing and preparation. It details how calibration activities should be performed, the responsibilities for each task and any other conditions or limitations to the calibration. Hb 145 was developed as a source of calibration procedures for weights and measures laboratories and covered mass, length and. *file must have.xltx extension in order to work. The purpose of this document is to provide guidance to canadian food inspection agency (cfia) inspection staff on the calibration or.
Centrifuge Calibration PDF Centrifuge Business
Calibration Procedure Document It details how calibration activities should be performed, the responsibilities for each task and any other conditions or limitations to the calibration. This document recommends environmental practices and documentary and operational protocols for calibration laboratories that. 7.1 affixing of identification marks, handling, transporting, storing and preparation. *file must have.xltx extension in order to work. The current and proposed procedures cover a variety of measurement parameters including: Hb 145 was developed as a source of calibration procedures for weights and measures laboratories and covered mass, length and. Here is a link to a catalog of weighing designs. It details how calibration activities should be performed, the responsibilities for each task and any other conditions or limitations to the calibration. A calibrated equipment procedure describes the process that tests and records the accuracy of all measuring, testing, and monitoring equipment. 7 procedure include any special items as noted in this list: The purpose of this document is to provide guidance to canadian food inspection agency (cfia) inspection staff on the calibration or. The equipment calibration form provides the necessary documentation to show that equipment is regularly calibrated in accordance with the established procedures,.
From pdfslide.net
(PDF) CALIBRATION PROCEDURE Wabtec Corporation PROCEDURE (Digital Calibration Procedure Document The purpose of this document is to provide guidance to canadian food inspection agency (cfia) inspection staff on the calibration or. This document recommends environmental practices and documentary and operational protocols for calibration laboratories that. It details how calibration activities should be performed, the responsibilities for each task and any other conditions or limitations to the calibration. 7 procedure include. Calibration Procedure Document.
From templates.rjuuc.edu.np
Calibration Procedure Template Calibration Procedure Document 7 procedure include any special items as noted in this list: 7.1 affixing of identification marks, handling, transporting, storing and preparation. The current and proposed procedures cover a variety of measurement parameters including: The purpose of this document is to provide guidance to canadian food inspection agency (cfia) inspection staff on the calibration or. A calibrated equipment procedure describes the. Calibration Procedure Document.
From pdfyar.com
PRESSURE INDICATOR CALIBRATION PROCEDURE PDFYAR Engineering Notes Calibration Procedure Document 7 procedure include any special items as noted in this list: The purpose of this document is to provide guidance to canadian food inspection agency (cfia) inspection staff on the calibration or. 7.1 affixing of identification marks, handling, transporting, storing and preparation. Hb 145 was developed as a source of calibration procedures for weights and measures laboratories and covered mass,. Calibration Procedure Document.
From dokumen.tips
(PDF) Calibration Procedure No.601 Hydraulic Type (Pressure) Rev Calibration Procedure Document 7 procedure include any special items as noted in this list: The current and proposed procedures cover a variety of measurement parameters including: *file must have.xltx extension in order to work. A calibrated equipment procedure describes the process that tests and records the accuracy of all measuring, testing, and monitoring equipment. Here is a link to a catalog of weighing. Calibration Procedure Document.
From www.scribd.com
Centrifuge Calibration PDF Electricity Calibration Procedure Document Hb 145 was developed as a source of calibration procedures for weights and measures laboratories and covered mass, length and. A calibrated equipment procedure describes the process that tests and records the accuracy of all measuring, testing, and monitoring equipment. This document recommends environmental practices and documentary and operational protocols for calibration laboratories that. The current and proposed procedures cover. Calibration Procedure Document.
From www.scribd.com
Calibration Procedure Calibration Scientific Observation Calibration Procedure Document *file must have.xltx extension in order to work. The equipment calibration form provides the necessary documentation to show that equipment is regularly calibrated in accordance with the established procedures,. 7.1 affixing of identification marks, handling, transporting, storing and preparation. Hb 145 was developed as a source of calibration procedures for weights and measures laboratories and covered mass, length and. 7. Calibration Procedure Document.
From www.scribd.com
Calibration Procedure PDF Calibration Scientific Observation Calibration Procedure Document Here is a link to a catalog of weighing designs. 7 procedure include any special items as noted in this list: The purpose of this document is to provide guidance to canadian food inspection agency (cfia) inspection staff on the calibration or. A calibrated equipment procedure describes the process that tests and records the accuracy of all measuring, testing, and. Calibration Procedure Document.
From ciqa.net
How to Fill a Calibration Record Form as per cGMP? Calibration Procedure Document *file must have.xltx extension in order to work. A calibrated equipment procedure describes the process that tests and records the accuracy of all measuring, testing, and monitoring equipment. 7.1 affixing of identification marks, handling, transporting, storing and preparation. The equipment calibration form provides the necessary documentation to show that equipment is regularly calibrated in accordance with the established procedures,. The. Calibration Procedure Document.
From www.scribd.com
Centrifuge Calibration PDF Centrifuge Business Calibration Procedure Document *file must have.xltx extension in order to work. It details how calibration activities should be performed, the responsibilities for each task and any other conditions or limitations to the calibration. The purpose of this document is to provide guidance to canadian food inspection agency (cfia) inspection staff on the calibration or. The equipment calibration form provides the necessary documentation to. Calibration Procedure Document.
From carelabz.com
Calibration certificate 1 SAMPLE Carelabs Calibration Procedure Document The equipment calibration form provides the necessary documentation to show that equipment is regularly calibrated in accordance with the established procedures,. 7.1 affixing of identification marks, handling, transporting, storing and preparation. Here is a link to a catalog of weighing designs. 7 procedure include any special items as noted in this list: Hb 145 was developed as a source of. Calibration Procedure Document.
From www.scribd.com
Instruments Calibration Procedures PDF Calibration Instrumentation Calibration Procedure Document It details how calibration activities should be performed, the responsibilities for each task and any other conditions or limitations to the calibration. Here is a link to a catalog of weighing designs. This document recommends environmental practices and documentary and operational protocols for calibration laboratories that. The current and proposed procedures cover a variety of measurement parameters including: A calibrated. Calibration Procedure Document.
From www.scribd.com
PH Sensor Calibration Procedure Ph Calibration Free 30day Trial Calibration Procedure Document This document recommends environmental practices and documentary and operational protocols for calibration laboratories that. The current and proposed procedures cover a variety of measurement parameters including: Hb 145 was developed as a source of calibration procedures for weights and measures laboratories and covered mass, length and. 7 procedure include any special items as noted in this list: 7.1 affixing of. Calibration Procedure Document.
From www.scribd.com
Calibration Procedure for Oxygen Analyzer OXY Z StepbyStep Calibration Procedure Document 7.1 affixing of identification marks, handling, transporting, storing and preparation. The purpose of this document is to provide guidance to canadian food inspection agency (cfia) inspection staff on the calibration or. The current and proposed procedures cover a variety of measurement parameters including: It details how calibration activities should be performed, the responsibilities for each task and any other conditions. Calibration Procedure Document.
From www.scribd.com
Calibration Procedure PMI Calibration Chemistry Calibration Procedure Document The purpose of this document is to provide guidance to canadian food inspection agency (cfia) inspection staff on the calibration or. It details how calibration activities should be performed, the responsibilities for each task and any other conditions or limitations to the calibration. The equipment calibration form provides the necessary documentation to show that equipment is regularly calibrated in accordance. Calibration Procedure Document.
From www.scribd.com
Calibration Procedure.pdf Calibration Engineering Calibration Procedure Document Hb 145 was developed as a source of calibration procedures for weights and measures laboratories and covered mass, length and. It details how calibration activities should be performed, the responsibilities for each task and any other conditions or limitations to the calibration. The current and proposed procedures cover a variety of measurement parameters including: This document recommends environmental practices and. Calibration Procedure Document.
From www.scribd.com
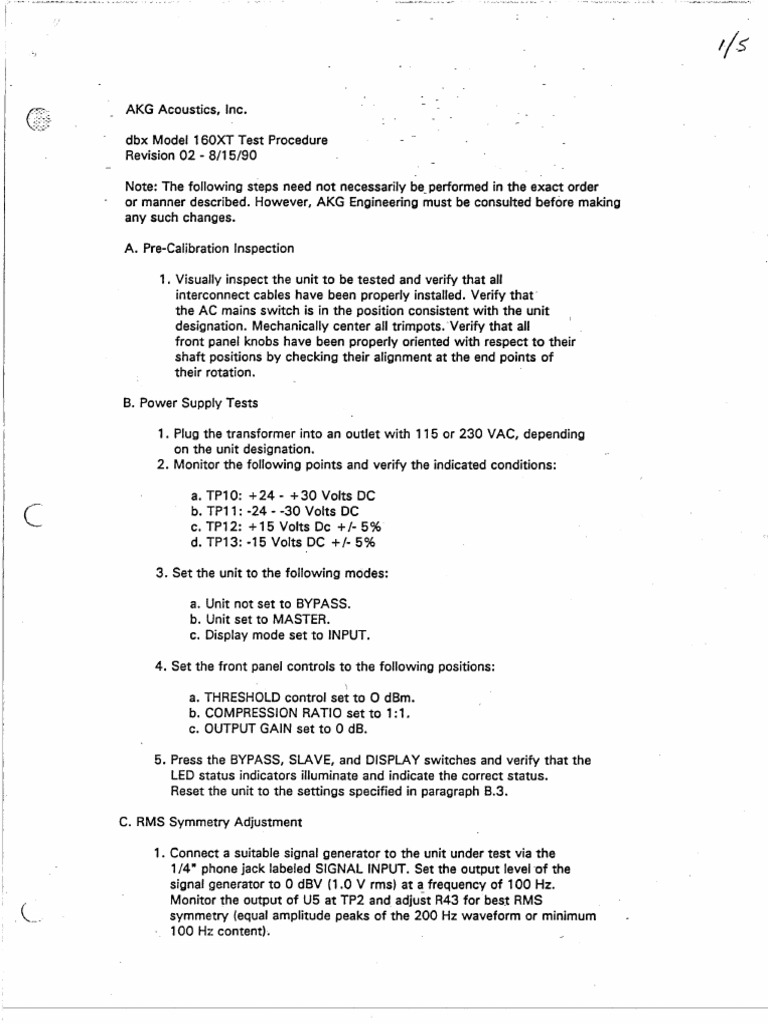
160XT Calibration Procedure Original PDF Calibration Procedure Document 7.1 affixing of identification marks, handling, transporting, storing and preparation. The current and proposed procedures cover a variety of measurement parameters including: Here is a link to a catalog of weighing designs. It details how calibration activities should be performed, the responsibilities for each task and any other conditions or limitations to the calibration. 7 procedure include any special items. Calibration Procedure Document.
From studylib.net
Standard Calibration Procedure Calibration Procedure Document This document recommends environmental practices and documentary and operational protocols for calibration laboratories that. Here is a link to a catalog of weighing designs. 7 procedure include any special items as noted in this list: A calibrated equipment procedure describes the process that tests and records the accuracy of all measuring, testing, and monitoring equipment. Hb 145 was developed as. Calibration Procedure Document.
From www.scribd.com
Altek Model 235 Field Calibration Procedure Document No PDF Calibration Procedure Document Hb 145 was developed as a source of calibration procedures for weights and measures laboratories and covered mass, length and. *file must have.xltx extension in order to work. The current and proposed procedures cover a variety of measurement parameters including: This document recommends environmental practices and documentary and operational protocols for calibration laboratories that. It details how calibration activities should. Calibration Procedure Document.
From instrumentationtools.com
Calibration Procedure of Voltmeter and Ammeter Calibration Procedure Document 7 procedure include any special items as noted in this list: Here is a link to a catalog of weighing designs. The purpose of this document is to provide guidance to canadian food inspection agency (cfia) inspection staff on the calibration or. Hb 145 was developed as a source of calibration procedures for weights and measures laboratories and covered mass,. Calibration Procedure Document.
From pdfslide.net
Vernier Caliper Calibration Procedure ? · Vernier Caliper Calibration Calibration Procedure Document *file must have.xltx extension in order to work. It details how calibration activities should be performed, the responsibilities for each task and any other conditions or limitations to the calibration. A calibrated equipment procedure describes the process that tests and records the accuracy of all measuring, testing, and monitoring equipment. Hb 145 was developed as a source of calibration procedures. Calibration Procedure Document.
From www.apesoftware.com
Calibration System Sample Procedure Calibration Procedure Document The equipment calibration form provides the necessary documentation to show that equipment is regularly calibrated in accordance with the established procedures,. It details how calibration activities should be performed, the responsibilities for each task and any other conditions or limitations to the calibration. A calibrated equipment procedure describes the process that tests and records the accuracy of all measuring, testing,. Calibration Procedure Document.
From www.scribd.com
Calibration Procedure for Calibration of External Micrometer Calibration Procedure Document The current and proposed procedures cover a variety of measurement parameters including: This document recommends environmental practices and documentary and operational protocols for calibration laboratories that. 7.1 affixing of identification marks, handling, transporting, storing and preparation. 7 procedure include any special items as noted in this list: A calibrated equipment procedure describes the process that tests and records the accuracy. Calibration Procedure Document.
From dokumen.tips
(PDF) Measuring Tape Calibration Procedure Memorial … · Measuring Calibration Procedure Document It details how calibration activities should be performed, the responsibilities for each task and any other conditions or limitations to the calibration. The current and proposed procedures cover a variety of measurement parameters including: Here is a link to a catalog of weighing designs. The equipment calibration form provides the necessary documentation to show that equipment is regularly calibrated in. Calibration Procedure Document.
From instrumentationtools.com
Pressure Gauge Calibration Procedure InstrumentationTools Calibration Procedure Document It details how calibration activities should be performed, the responsibilities for each task and any other conditions or limitations to the calibration. 7 procedure include any special items as noted in this list: The current and proposed procedures cover a variety of measurement parameters including: Hb 145 was developed as a source of calibration procedures for weights and measures laboratories. Calibration Procedure Document.
From www.scribd.com
Calibration Procedure Calibration Laboratories Calibration Procedure Document This document recommends environmental practices and documentary and operational protocols for calibration laboratories that. *file must have.xltx extension in order to work. It details how calibration activities should be performed, the responsibilities for each task and any other conditions or limitations to the calibration. Hb 145 was developed as a source of calibration procedures for weights and measures laboratories and. Calibration Procedure Document.
From www.scribd.com
SL2 Calibration Procedures PDF Calibration Screw Calibration Procedure Document 7.1 affixing of identification marks, handling, transporting, storing and preparation. Here is a link to a catalog of weighing designs. The equipment calibration form provides the necessary documentation to show that equipment is regularly calibrated in accordance with the established procedures,. 7 procedure include any special items as noted in this list: It details how calibration activities should be performed,. Calibration Procedure Document.
From www.scribd.com
Calibration Procedure List PDF Calibration Pressure Measurement Calibration Procedure Document *file must have.xltx extension in order to work. Hb 145 was developed as a source of calibration procedures for weights and measures laboratories and covered mass, length and. It details how calibration activities should be performed, the responsibilities for each task and any other conditions or limitations to the calibration. The purpose of this document is to provide guidance to. Calibration Procedure Document.
From www.scribd.com
Calibration Standard Procedure Reference PDF Thermometer Calibration Calibration Procedure Document Hb 145 was developed as a source of calibration procedures for weights and measures laboratories and covered mass, length and. 7 procedure include any special items as noted in this list: *file must have.xltx extension in order to work. A calibrated equipment procedure describes the process that tests and records the accuracy of all measuring, testing, and monitoring equipment. The. Calibration Procedure Document.
From www.scribd.com
Calibration Procedure. Calibration Quality Assurance Calibration Procedure Document The current and proposed procedures cover a variety of measurement parameters including: This document recommends environmental practices and documentary and operational protocols for calibration laboratories that. A calibrated equipment procedure describes the process that tests and records the accuracy of all measuring, testing, and monitoring equipment. 7.1 affixing of identification marks, handling, transporting, storing and preparation. It details how calibration. Calibration Procedure Document.
From www.scribd.com
Calibration Procedure Calibration Electrical Engineering Calibration Procedure Document *file must have.xltx extension in order to work. The current and proposed procedures cover a variety of measurement parameters including: Hb 145 was developed as a source of calibration procedures for weights and measures laboratories and covered mass, length and. Here is a link to a catalog of weighing designs. 7.1 affixing of identification marks, handling, transporting, storing and preparation.. Calibration Procedure Document.
From www.bizmanualz.com
Calibration Record Template Calibration Procedure Document *file must have.xltx extension in order to work. It details how calibration activities should be performed, the responsibilities for each task and any other conditions or limitations to the calibration. This document recommends environmental practices and documentary and operational protocols for calibration laboratories that. The purpose of this document is to provide guidance to canadian food inspection agency (cfia) inspection. Calibration Procedure Document.
From instrumentationtools.com
How to Create Calibration Records? Instrumentation and Control Calibration Procedure Document A calibrated equipment procedure describes the process that tests and records the accuracy of all measuring, testing, and monitoring equipment. It details how calibration activities should be performed, the responsibilities for each task and any other conditions or limitations to the calibration. This document recommends environmental practices and documentary and operational protocols for calibration laboratories that. The purpose of this. Calibration Procedure Document.
From studylib.net
Technical Procedure for Instrument Calibration and Maintenance 1.0 Calibration Procedure Document The equipment calibration form provides the necessary documentation to show that equipment is regularly calibrated in accordance with the established procedures,. The current and proposed procedures cover a variety of measurement parameters including: It details how calibration activities should be performed, the responsibilities for each task and any other conditions or limitations to the calibration. 7 procedure include any special. Calibration Procedure Document.
From www.apesoftware.com
Calibration System Sample Procedure Calibration Procedure Document 7 procedure include any special items as noted in this list: The purpose of this document is to provide guidance to canadian food inspection agency (cfia) inspection staff on the calibration or. The current and proposed procedures cover a variety of measurement parameters including: Here is a link to a catalog of weighing designs. *file must have.xltx extension in order. Calibration Procedure Document.
From www.scribd.com
Calibration Procedure Calibration Procedure Document Here is a link to a catalog of weighing designs. A calibrated equipment procedure describes the process that tests and records the accuracy of all measuring, testing, and monitoring equipment. The purpose of this document is to provide guidance to canadian food inspection agency (cfia) inspection staff on the calibration or. This document recommends environmental practices and documentary and operational. Calibration Procedure Document.