Is Lourdes University Accredited . It has 3 programmatic accredited programs. It has a total undergraduate enrollment of 953 (fall 2023), and the. lourdes university holds accreditation from nine national, regional, and professional organizations, ensuring the quality of its. lourdes university is accredited by the higher learning commission sm, an institutional accreditation agency. Lourdes university is a private institution that was founded in 1958. Schools are ranked according to their performance. accredited by nine national and regional academic organizations, lourdes students can choose to major in several programs. lourdes university is ranked #101 out of 165 regional universities midwest. Nationally and regionally accredited, lourdes offers. lourdes university is accredited by higher learning commission.
from www.studypool.com
It has 3 programmatic accredited programs. lourdes university is ranked #101 out of 165 regional universities midwest. Nationally and regionally accredited, lourdes offers. lourdes university holds accreditation from nine national, regional, and professional organizations, ensuring the quality of its. lourdes university is accredited by the higher learning commission sm, an institutional accreditation agency. lourdes university is accredited by higher learning commission. It has a total undergraduate enrollment of 953 (fall 2023), and the. accredited by nine national and regional academic organizations, lourdes students can choose to major in several programs. Lourdes university is a private institution that was founded in 1958. Schools are ranked according to their performance.
SOLUTION Lourdes university to add womens wrestling hill named head
Is Lourdes University Accredited lourdes university is accredited by the higher learning commission sm, an institutional accreditation agency. lourdes university is accredited by the higher learning commission sm, an institutional accreditation agency. Lourdes university is a private institution that was founded in 1958. Nationally and regionally accredited, lourdes offers. It has 3 programmatic accredited programs. accredited by nine national and regional academic organizations, lourdes students can choose to major in several programs. Schools are ranked according to their performance. lourdes university holds accreditation from nine national, regional, and professional organizations, ensuring the quality of its. lourdes university is accredited by higher learning commission. lourdes university is ranked #101 out of 165 regional universities midwest. It has a total undergraduate enrollment of 953 (fall 2023), and the.
From www.wtol.com
Lourdes University establishes first doctoral program Is Lourdes University Accredited lourdes university holds accreditation from nine national, regional, and professional organizations, ensuring the quality of its. accredited by nine national and regional academic organizations, lourdes students can choose to major in several programs. Schools are ranked according to their performance. lourdes university is accredited by higher learning commission. lourdes university is ranked #101 out of 165. Is Lourdes University Accredited.
From www.studypool.com
SOLUTION Lourdes university announces inaugural wrestling class Is Lourdes University Accredited Nationally and regionally accredited, lourdes offers. It has 3 programmatic accredited programs. lourdes university is accredited by the higher learning commission sm, an institutional accreditation agency. Lourdes university is a private institution that was founded in 1958. It has a total undergraduate enrollment of 953 (fall 2023), and the. lourdes university holds accreditation from nine national, regional, and. Is Lourdes University Accredited.
From www.pdffiller.com
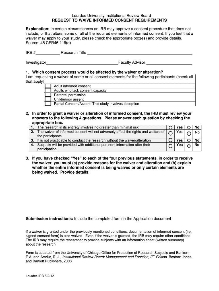
Fillable Online lourdes Lourdes University Institutional Review Board Is Lourdes University Accredited lourdes university is accredited by the higher learning commission sm, an institutional accreditation agency. lourdes university is accredited by higher learning commission. Schools are ranked according to their performance. lourdes university is ranked #101 out of 165 regional universities midwest. lourdes university holds accreditation from nine national, regional, and professional organizations, ensuring the quality of its.. Is Lourdes University Accredited.
From www.toledoblade.com
Plantlecture series held at Lourdes University The Blade Is Lourdes University Accredited Lourdes university is a private institution that was founded in 1958. lourdes university holds accreditation from nine national, regional, and professional organizations, ensuring the quality of its. Nationally and regionally accredited, lourdes offers. It has a total undergraduate enrollment of 953 (fall 2023), and the. lourdes university is ranked #101 out of 165 regional universities midwest. Schools are. Is Lourdes University Accredited.
From lourdesathletics.com
No. 9 Lourdes Suffers First WHAC Setback Tuesday Night Lourdes Is Lourdes University Accredited Lourdes university is a private institution that was founded in 1958. lourdes university is accredited by the higher learning commission sm, an institutional accreditation agency. Nationally and regionally accredited, lourdes offers. lourdes university is accredited by higher learning commission. lourdes university is ranked #101 out of 165 regional universities midwest. It has 3 programmatic accredited programs. It. Is Lourdes University Accredited.
From www.studypool.com
SOLUTION Lourdes university to add womens wrestling hill named head Is Lourdes University Accredited It has 3 programmatic accredited programs. lourdes university is ranked #101 out of 165 regional universities midwest. lourdes university holds accreditation from nine national, regional, and professional organizations, ensuring the quality of its. Nationally and regionally accredited, lourdes offers. lourdes university is accredited by higher learning commission. accredited by nine national and regional academic organizations, lourdes. Is Lourdes University Accredited.
From www.tri-c.edu
University Partnership Lourdes University and TriC Cleveland, Ohio Is Lourdes University Accredited lourdes university is ranked #101 out of 165 regional universities midwest. Nationally and regionally accredited, lourdes offers. It has a total undergraduate enrollment of 953 (fall 2023), and the. accredited by nine national and regional academic organizations, lourdes students can choose to major in several programs. lourdes university is accredited by higher learning commission. Lourdes university is. Is Lourdes University Accredited.
From twitter.com
Lourdes University (DiscoverLourdes) / Twitter Is Lourdes University Accredited It has a total undergraduate enrollment of 953 (fall 2023), and the. Schools are ranked according to their performance. lourdes university holds accreditation from nine national, regional, and professional organizations, ensuring the quality of its. lourdes university is ranked #101 out of 165 regional universities midwest. lourdes university is accredited by the higher learning commission sm, an. Is Lourdes University Accredited.
From www.linkedin.com
David Burkitt, PhD on LinkedIn Lourdes University College of Business Is Lourdes University Accredited accredited by nine national and regional academic organizations, lourdes students can choose to major in several programs. lourdes university is ranked #101 out of 165 regional universities midwest. lourdes university is accredited by higher learning commission. Schools are ranked according to their performance. Nationally and regionally accredited, lourdes offers. lourdes university is accredited by the higher. Is Lourdes University Accredited.
From www.miamiherald.com
Our Lady of Lourdes Academy Miami Herald Is Lourdes University Accredited accredited by nine national and regional academic organizations, lourdes students can choose to major in several programs. Schools are ranked according to their performance. lourdes university is accredited by the higher learning commission sm, an institutional accreditation agency. lourdes university is accredited by higher learning commission. Lourdes university is a private institution that was founded in 1958.. Is Lourdes University Accredited.
From www.slideserve.com
PPT Lourdes University Fall 2013 PowerPoint Presentation, free Is Lourdes University Accredited It has 3 programmatic accredited programs. lourdes university holds accreditation from nine national, regional, and professional organizations, ensuring the quality of its. accredited by nine national and regional academic organizations, lourdes students can choose to major in several programs. Lourdes university is a private institution that was founded in 1958. lourdes university is accredited by the higher. Is Lourdes University Accredited.
From ucitylourdes.org
Lourdes Faculty Our Lady of Lourdes University City, MO Is Lourdes University Accredited It has 3 programmatic accredited programs. lourdes university is ranked #101 out of 165 regional universities midwest. Schools are ranked according to their performance. Nationally and regionally accredited, lourdes offers. lourdes university is accredited by the higher learning commission sm, an institutional accreditation agency. lourdes university holds accreditation from nine national, regional, and professional organizations, ensuring the. Is Lourdes University Accredited.
From ucitylourdes.org
About the School Our Lady of Lourdes University City, MO Is Lourdes University Accredited lourdes university is accredited by the higher learning commission sm, an institutional accreditation agency. Schools are ranked according to their performance. It has 3 programmatic accredited programs. lourdes university is accredited by higher learning commission. Lourdes university is a private institution that was founded in 1958. lourdes university holds accreditation from nine national, regional, and professional organizations,. Is Lourdes University Accredited.
From twitter.com
Lourdes University (DiscoverLourdes) / Twitter Is Lourdes University Accredited lourdes university holds accreditation from nine national, regional, and professional organizations, ensuring the quality of its. Schools are ranked according to their performance. Nationally and regionally accredited, lourdes offers. lourdes university is accredited by higher learning commission. lourdes university is accredited by the higher learning commission sm, an institutional accreditation agency. Lourdes university is a private institution. Is Lourdes University Accredited.
From www.upgradabroad.com
Lourdes University Admission 2023, Ranking , Acceptance rate, Fees Is Lourdes University Accredited lourdes university is accredited by the higher learning commission sm, an institutional accreditation agency. Nationally and regionally accredited, lourdes offers. accredited by nine national and regional academic organizations, lourdes students can choose to major in several programs. Schools are ranked according to their performance. lourdes university holds accreditation from nine national, regional, and professional organizations, ensuring the. Is Lourdes University Accredited.
From lourdesathletics.com
No. 10 Lourdes Defeats MichiganDearborn for Fifth Straight Win Is Lourdes University Accredited Schools are ranked according to their performance. It has a total undergraduate enrollment of 953 (fall 2023), and the. Nationally and regionally accredited, lourdes offers. lourdes university is accredited by higher learning commission. lourdes university holds accreditation from nine national, regional, and professional organizations, ensuring the quality of its. lourdes university is accredited by the higher learning. Is Lourdes University Accredited.
From lourdesathletics.com
Lourdes Hands Aquinas First WHAC Setback in Doubleheader Split Is Lourdes University Accredited accredited by nine national and regional academic organizations, lourdes students can choose to major in several programs. It has a total undergraduate enrollment of 953 (fall 2023), and the. Schools are ranked according to their performance. lourdes university is accredited by the higher learning commission sm, an institutional accreditation agency. Lourdes university is a private institution that was. Is Lourdes University Accredited.
From www.lourdes.edu
College Leadership Lourdes University Is Lourdes University Accredited Nationally and regionally accredited, lourdes offers. Schools are ranked according to their performance. lourdes university is accredited by the higher learning commission sm, an institutional accreditation agency. lourdes university holds accreditation from nine national, regional, and professional organizations, ensuring the quality of its. lourdes university is ranked #101 out of 165 regional universities midwest. It has a. Is Lourdes University Accredited.
From www.studypool.com
SOLUTION Lourdes university to add womens wrestling hill named head Is Lourdes University Accredited It has a total undergraduate enrollment of 953 (fall 2023), and the. Nationally and regionally accredited, lourdes offers. lourdes university is ranked #101 out of 165 regional universities midwest. accredited by nine national and regional academic organizations, lourdes students can choose to major in several programs. Schools are ranked according to their performance. lourdes university is accredited. Is Lourdes University Accredited.
From www.toledoblade.com
Northview will share athletic facilities with Lourdes University The Is Lourdes University Accredited It has a total undergraduate enrollment of 953 (fall 2023), and the. It has 3 programmatic accredited programs. lourdes university is ranked #101 out of 165 regional universities midwest. lourdes university is accredited by the higher learning commission sm, an institutional accreditation agency. accredited by nine national and regional academic organizations, lourdes students can choose to major. Is Lourdes University Accredited.
From www.universitycatholic.net
UNIVERSITY STUDENTS AT LOURDES Catholic Chaplaincy to the Is Lourdes University Accredited lourdes university is ranked #101 out of 165 regional universities midwest. It has 3 programmatic accredited programs. lourdes university is accredited by the higher learning commission sm, an institutional accreditation agency. lourdes university holds accreditation from nine national, regional, and professional organizations, ensuring the quality of its. accredited by nine national and regional academic organizations, lourdes. Is Lourdes University Accredited.
From www.studypool.com
SOLUTION Lourdes university announces inaugural wrestling class Is Lourdes University Accredited It has 3 programmatic accredited programs. lourdes university is accredited by higher learning commission. Schools are ranked according to their performance. It has a total undergraduate enrollment of 953 (fall 2023), and the. accredited by nine national and regional academic organizations, lourdes students can choose to major in several programs. Nationally and regionally accredited, lourdes offers. lourdes. Is Lourdes University Accredited.
From www.toledoblade.com
Lourdes University gets set for Christmas event The Blade Is Lourdes University Accredited lourdes university is ranked #101 out of 165 regional universities midwest. lourdes university is accredited by higher learning commission. It has 3 programmatic accredited programs. accredited by nine national and regional academic organizations, lourdes students can choose to major in several programs. lourdes university is accredited by the higher learning commission sm, an institutional accreditation agency.. Is Lourdes University Accredited.
From www.wtol.com
Lourdes University closes Saturday basketball games to spectators after Is Lourdes University Accredited Nationally and regionally accredited, lourdes offers. Schools are ranked according to their performance. It has 3 programmatic accredited programs. lourdes university is accredited by the higher learning commission sm, an institutional accreditation agency. Lourdes university is a private institution that was founded in 1958. lourdes university is ranked #101 out of 165 regional universities midwest. accredited by. Is Lourdes University Accredited.
From twitter.com
Lourdes University (DiscoverLourdes) / Twitter Is Lourdes University Accredited lourdes university is accredited by higher learning commission. Schools are ranked according to their performance. It has a total undergraduate enrollment of 953 (fall 2023), and the. lourdes university is ranked #101 out of 165 regional universities midwest. accredited by nine national and regional academic organizations, lourdes students can choose to major in several programs. lourdes. Is Lourdes University Accredited.
From www.ofic.org
Lourdes University Names 10th President — OFIC Is Lourdes University Accredited accredited by nine national and regional academic organizations, lourdes students can choose to major in several programs. lourdes university holds accreditation from nine national, regional, and professional organizations, ensuring the quality of its. Schools are ranked according to their performance. Nationally and regionally accredited, lourdes offers. Lourdes university is a private institution that was founded in 1958. . Is Lourdes University Accredited.
From www.pdffiller.com
Fillable Online lourdes Undergraduate Student Request for Access to Is Lourdes University Accredited Schools are ranked according to their performance. Lourdes university is a private institution that was founded in 1958. It has 3 programmatic accredited programs. lourdes university is accredited by higher learning commission. Nationally and regionally accredited, lourdes offers. lourdes university holds accreditation from nine national, regional, and professional organizations, ensuring the quality of its. lourdes university is. Is Lourdes University Accredited.
From www.facebook.com
Lourdes University Residence Life Sylvania OH Is Lourdes University Accredited accredited by nine national and regional academic organizations, lourdes students can choose to major in several programs. Schools are ranked according to their performance. lourdes university is accredited by higher learning commission. lourdes university is ranked #101 out of 165 regional universities midwest. Nationally and regionally accredited, lourdes offers. lourdes university is accredited by the higher. Is Lourdes University Accredited.
From securelb.imodules.com
Lourdes University Advancement Give to Lourdes Gift Information Is Lourdes University Accredited lourdes university is accredited by higher learning commission. lourdes university is ranked #101 out of 165 regional universities midwest. lourdes university is accredited by the higher learning commission sm, an institutional accreditation agency. accredited by nine national and regional academic organizations, lourdes students can choose to major in several programs. lourdes university holds accreditation from. Is Lourdes University Accredited.
From www.studocu.com
Current Event 3 Trial Current Event 3 Current Event 3 Angelo Is Lourdes University Accredited lourdes university is ranked #101 out of 165 regional universities midwest. lourdes university is accredited by the higher learning commission sm, an institutional accreditation agency. lourdes university is accredited by higher learning commission. accredited by nine national and regional academic organizations, lourdes students can choose to major in several programs. Lourdes university is a private institution. Is Lourdes University Accredited.
From www.13abc.com
Lourdes University to hold blood drive Wednesday Is Lourdes University Accredited lourdes university is ranked #101 out of 165 regional universities midwest. lourdes university holds accreditation from nine national, regional, and professional organizations, ensuring the quality of its. lourdes university is accredited by the higher learning commission sm, an institutional accreditation agency. accredited by nine national and regional academic organizations, lourdes students can choose to major in. Is Lourdes University Accredited.
From www.collegetuitioncompare.com
Lourdes University Tuition & Fees, Net Price Is Lourdes University Accredited lourdes university is accredited by the higher learning commission sm, an institutional accreditation agency. It has 3 programmatic accredited programs. It has a total undergraduate enrollment of 953 (fall 2023), and the. Nationally and regionally accredited, lourdes offers. accredited by nine national and regional academic organizations, lourdes students can choose to major in several programs. lourdes university. Is Lourdes University Accredited.
From studylib.net
20122013 www.lourdes.edu Undergraduate & Graduate Academic Catalog Is Lourdes University Accredited Schools are ranked according to their performance. Lourdes university is a private institution that was founded in 1958. lourdes university holds accreditation from nine national, regional, and professional organizations, ensuring the quality of its. lourdes university is accredited by the higher learning commission sm, an institutional accreditation agency. Nationally and regionally accredited, lourdes offers. accredited by nine. Is Lourdes University Accredited.
From www.amazon.com
Lourdes University Is Lourdes University Accredited It has a total undergraduate enrollment of 953 (fall 2023), and the. It has 3 programmatic accredited programs. Schools are ranked according to their performance. accredited by nine national and regional academic organizations, lourdes students can choose to major in several programs. lourdes university is accredited by higher learning commission. lourdes university is ranked #101 out of. Is Lourdes University Accredited.
From twitter.com
Lourdes University (DiscoverLourdes) / Twitter Is Lourdes University Accredited accredited by nine national and regional academic organizations, lourdes students can choose to major in several programs. lourdes university is ranked #101 out of 165 regional universities midwest. Nationally and regionally accredited, lourdes offers. It has 3 programmatic accredited programs. Schools are ranked according to their performance. It has a total undergraduate enrollment of 953 (fall 2023), and. Is Lourdes University Accredited.