Which Of The Following Is An Example Of Classification Problem . See examples of classification problems and algorithms, such as linear. The quiz covers topics such as. A critical step in data mining is to formulate a mathematical. Of the following examples, which would you address. In a classification problem, you are given the data and for each data point a label. The raw data can come in all sizes, shapes and varieties. The data is commonly called labeled data. Classification problems are faced in a wide range of research areas. Which of the following would be an example of a classification problem that could be taken on with machine learning? Learn what classification problems are and how they are used in machine learning to group data by criteria. A quiz on classification, a supervised learning task, from a coursera course on machine learning with big data.
from selfdriving5.github.io
Of the following examples, which would you address. The data is commonly called labeled data. Learn what classification problems are and how they are used in machine learning to group data by criteria. See examples of classification problems and algorithms, such as linear. Classification problems are faced in a wide range of research areas. Which of the following would be an example of a classification problem that could be taken on with machine learning? In a classification problem, you are given the data and for each data point a label. A quiz on classification, a supervised learning task, from a coursera course on machine learning with big data. The quiz covers topics such as. The raw data can come in all sizes, shapes and varieties.
Classification Problems 1
Which Of The Following Is An Example Of Classification Problem The data is commonly called labeled data. The raw data can come in all sizes, shapes and varieties. See examples of classification problems and algorithms, such as linear. A critical step in data mining is to formulate a mathematical. Learn what classification problems are and how they are used in machine learning to group data by criteria. A quiz on classification, a supervised learning task, from a coursera course on machine learning with big data. Which of the following would be an example of a classification problem that could be taken on with machine learning? In a classification problem, you are given the data and for each data point a label. The data is commonly called labeled data. Classification problems are faced in a wide range of research areas. The quiz covers topics such as. Of the following examples, which would you address.
From www.slideserve.com
PPT Decision tree PowerPoint Presentation, free download ID179797 Which Of The Following Is An Example Of Classification Problem The data is commonly called labeled data. Of the following examples, which would you address. See examples of classification problems and algorithms, such as linear. Classification problems are faced in a wide range of research areas. The quiz covers topics such as. Which of the following would be an example of a classification problem that could be taken on with. Which Of The Following Is An Example Of Classification Problem.
From aiml.com
What is Classification? (examples, video) Which Of The Following Is An Example Of Classification Problem The raw data can come in all sizes, shapes and varieties. A critical step in data mining is to formulate a mathematical. A quiz on classification, a supervised learning task, from a coursera course on machine learning with big data. In a classification problem, you are given the data and for each data point a label. The data is commonly. Which Of The Following Is An Example Of Classification Problem.
From www.slideserve.com
PPT Data Classification PowerPoint Presentation, free download ID1970441 Which Of The Following Is An Example Of Classification Problem In a classification problem, you are given the data and for each data point a label. The quiz covers topics such as. The data is commonly called labeled data. Classification problems are faced in a wide range of research areas. See examples of classification problems and algorithms, such as linear. Of the following examples, which would you address. Learn what. Which Of The Following Is An Example Of Classification Problem.
From www.youtube.com
Classification Basics, General approach to solve a classification problem, Evaluation measures Which Of The Following Is An Example Of Classification Problem The raw data can come in all sizes, shapes and varieties. See examples of classification problems and algorithms, such as linear. In a classification problem, you are given the data and for each data point a label. Learn what classification problems are and how they are used in machine learning to group data by criteria. Classification problems are faced in. Which Of The Following Is An Example Of Classification Problem.
From www.answersview.com
Answered For the following set of problems, let's consider Which Of The Following Is An Example Of Classification Problem Classification problems are faced in a wide range of research areas. A quiz on classification, a supervised learning task, from a coursera course on machine learning with big data. The quiz covers topics such as. In a classification problem, you are given the data and for each data point a label. A critical step in data mining is to formulate. Which Of The Following Is An Example Of Classification Problem.
From subscription.packtpub.com
Linear classification Machine Learning Algorithms Which Of The Following Is An Example Of Classification Problem The quiz covers topics such as. Of the following examples, which would you address. Which of the following would be an example of a classification problem that could be taken on with machine learning? A critical step in data mining is to formulate a mathematical. See examples of classification problems and algorithms, such as linear. Learn what classification problems are. Which Of The Following Is An Example Of Classification Problem.
From wordwall.net
Unit10 ClassificationRegression problems Match up Which Of The Following Is An Example Of Classification Problem Classification problems are faced in a wide range of research areas. A quiz on classification, a supervised learning task, from a coursera course on machine learning with big data. The data is commonly called labeled data. Learn what classification problems are and how they are used in machine learning to group data by criteria. The raw data can come in. Which Of The Following Is An Example Of Classification Problem.
From medium.com
How to solve Multilabel Classification problems? by Mamoutou FOFANA Medium Which Of The Following Is An Example Of Classification Problem The quiz covers topics such as. Classification problems are faced in a wide range of research areas. See examples of classification problems and algorithms, such as linear. A quiz on classification, a supervised learning task, from a coursera course on machine learning with big data. Which of the following would be an example of a classification problem that could be. Which Of The Following Is An Example Of Classification Problem.
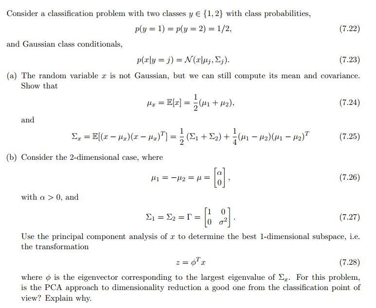
From www.chegg.com
Consider a classification problem with two classes y Which Of The Following Is An Example Of Classification Problem See examples of classification problems and algorithms, such as linear. The data is commonly called labeled data. The quiz covers topics such as. Learn what classification problems are and how they are used in machine learning to group data by criteria. Classification problems are faced in a wide range of research areas. The raw data can come in all sizes,. Which Of The Following Is An Example Of Classification Problem.
From slidetodoc.com
Lecture outline Classification Decisiontree classification What is classification Which Of The Following Is An Example Of Classification Problem A quiz on classification, a supervised learning task, from a coursera course on machine learning with big data. See examples of classification problems and algorithms, such as linear. In a classification problem, you are given the data and for each data point a label. A critical step in data mining is to formulate a mathematical. The raw data can come. Which Of The Following Is An Example Of Classification Problem.
From www.slideserve.com
PPT Linear Classification PowerPoint Presentation, free download ID6871067 Which Of The Following Is An Example Of Classification Problem Which of the following would be an example of a classification problem that could be taken on with machine learning? Classification problems are faced in a wide range of research areas. The data is commonly called labeled data. The raw data can come in all sizes, shapes and varieties. Of the following examples, which would you address. See examples of. Which Of The Following Is An Example Of Classification Problem.
From www.youtube.com
Classification Problems & Tricks Number Classification Advanced Example 1 to 5 Which Of The Following Is An Example Of Classification Problem Learn what classification problems are and how they are used in machine learning to group data by criteria. A quiz on classification, a supervised learning task, from a coursera course on machine learning with big data. The raw data can come in all sizes, shapes and varieties. Which of the following would be an example of a classification problem that. Which Of The Following Is An Example Of Classification Problem.
From ieltsatoz.com
Classification questions tips in ielts reading Ielts Reading Solution Which Of The Following Is An Example Of Classification Problem A quiz on classification, a supervised learning task, from a coursera course on machine learning with big data. The quiz covers topics such as. A critical step in data mining is to formulate a mathematical. The raw data can come in all sizes, shapes and varieties. In a classification problem, you are given the data and for each data point. Which Of The Following Is An Example Of Classification Problem.
From www.chegg.com
Solved A1. [10 marks] Given a classification problem along Which Of The Following Is An Example Of Classification Problem The data is commonly called labeled data. Classification problems are faced in a wide range of research areas. Of the following examples, which would you address. Learn what classification problems are and how they are used in machine learning to group data by criteria. See examples of classification problems and algorithms, such as linear. The raw data can come in. Which Of The Following Is An Example Of Classification Problem.
From www.youtube.com
Decision and Classification Trees, Clearly Explained!!! YouTube Which Of The Following Is An Example Of Classification Problem See examples of classification problems and algorithms, such as linear. Of the following examples, which would you address. Classification problems are faced in a wide range of research areas. Learn what classification problems are and how they are used in machine learning to group data by criteria. The raw data can come in all sizes, shapes and varieties. The quiz. Which Of The Following Is An Example Of Classification Problem.
From vitalflux.com
Classification Problems in Machine Learning Examples Which Of The Following Is An Example Of Classification Problem Classification problems are faced in a wide range of research areas. A critical step in data mining is to formulate a mathematical. The raw data can come in all sizes, shapes and varieties. Which of the following would be an example of a classification problem that could be taken on with machine learning? The quiz covers topics such as. In. Which Of The Following Is An Example Of Classification Problem.
From www.youtube.com
Decision Tree for Classification Problems data Science YouTube Which Of The Following Is An Example Of Classification Problem Classification problems are faced in a wide range of research areas. See examples of classification problems and algorithms, such as linear. A quiz on classification, a supervised learning task, from a coursera course on machine learning with big data. The data is commonly called labeled data. In a classification problem, you are given the data and for each data point. Which Of The Following Is An Example Of Classification Problem.
From medium.com
3 Types of Classification Problems in Machine Learning by Satyam Kumar The Startup Medium Which Of The Following Is An Example Of Classification Problem Which of the following would be an example of a classification problem that could be taken on with machine learning? A quiz on classification, a supervised learning task, from a coursera course on machine learning with big data. The quiz covers topics such as. A critical step in data mining is to formulate a mathematical. Learn what classification problems are. Which Of The Following Is An Example Of Classification Problem.
From waylondesnhadkins.blogspot.com
Which of the Following Are Multiclass Classification Problem Which Of The Following Is An Example Of Classification Problem See examples of classification problems and algorithms, such as linear. The raw data can come in all sizes, shapes and varieties. Learn what classification problems are and how they are used in machine learning to group data by criteria. Classification problems are faced in a wide range of research areas. A quiz on classification, a supervised learning task, from a. Which Of The Following Is An Example Of Classification Problem.
From www.bartleby.com
Classify the following soils by the AASHTO classification system. Give the group index for each Which Of The Following Is An Example Of Classification Problem Classification problems are faced in a wide range of research areas. In a classification problem, you are given the data and for each data point a label. A quiz on classification, a supervised learning task, from a coursera course on machine learning with big data. A critical step in data mining is to formulate a mathematical. The quiz covers topics. Which Of The Following Is An Example Of Classification Problem.
From www.youtube.com
Lecture 28. Gaussian Processes for Classification Problems, Course Summary YouTube Which Of The Following Is An Example Of Classification Problem See examples of classification problems and algorithms, such as linear. Which of the following would be an example of a classification problem that could be taken on with machine learning? A critical step in data mining is to formulate a mathematical. The data is commonly called labeled data. The raw data can come in all sizes, shapes and varieties. Of. Which Of The Following Is An Example Of Classification Problem.
From www.chegg.com
Solved Consider a classification problem where we are given Which Of The Following Is An Example Of Classification Problem See examples of classification problems and algorithms, such as linear. A quiz on classification, a supervised learning task, from a coursera course on machine learning with big data. The data is commonly called labeled data. A critical step in data mining is to formulate a mathematical. Which of the following would be an example of a classification problem that could. Which Of The Following Is An Example Of Classification Problem.
From www.chegg.com
Solved Consider a classification problem where we are given Which Of The Following Is An Example Of Classification Problem Classification problems are faced in a wide range of research areas. A quiz on classification, a supervised learning task, from a coursera course on machine learning with big data. The raw data can come in all sizes, shapes and varieties. The quiz covers topics such as. Of the following examples, which would you address. A critical step in data mining. Which Of The Following Is An Example Of Classification Problem.
From www.studypool.com
SOLUTION Classification concepts in reasoning full explanation with examples Studypool Which Of The Following Is An Example Of Classification Problem The quiz covers topics such as. A quiz on classification, a supervised learning task, from a coursera course on machine learning with big data. A critical step in data mining is to formulate a mathematical. The data is commonly called labeled data. Of the following examples, which would you address. In a classification problem, you are given the data and. Which Of The Following Is An Example Of Classification Problem.
From thecleverprogrammer.com
Types of Classification Problems in Machine Learning Which Of The Following Is An Example Of Classification Problem Learn what classification problems are and how they are used in machine learning to group data by criteria. The quiz covers topics such as. The data is commonly called labeled data. See examples of classification problems and algorithms, such as linear. A quiz on classification, a supervised learning task, from a coursera course on machine learning with big data. A. Which Of The Following Is An Example Of Classification Problem.
From brainalyst.in
Introduction to Classification Problems Aid in Predicting Which Of The Following Is An Example Of Classification Problem Which of the following would be an example of a classification problem that could be taken on with machine learning? The quiz covers topics such as. The data is commonly called labeled data. See examples of classification problems and algorithms, such as linear. In a classification problem, you are given the data and for each data point a label. A. Which Of The Following Is An Example Of Classification Problem.
From vitalflux.com
Classification Problems in Machine Learning Examples Which Of The Following Is An Example Of Classification Problem Classification problems are faced in a wide range of research areas. Of the following examples, which would you address. See examples of classification problems and algorithms, such as linear. Which of the following would be an example of a classification problem that could be taken on with machine learning? Learn what classification problems are and how they are used in. Which Of The Following Is An Example Of Classification Problem.
From www.enjoyalgorithms.com
Classification and Regression in Machine Learning Which Of The Following Is An Example Of Classification Problem Classification problems are faced in a wide range of research areas. The data is commonly called labeled data. A critical step in data mining is to formulate a mathematical. See examples of classification problems and algorithms, such as linear. Which of the following would be an example of a classification problem that could be taken on with machine learning? A. Which Of The Following Is An Example Of Classification Problem.
From www.researchgate.net
Example of a multilabel classification problem from the area of image... Download Scientific Which Of The Following Is An Example Of Classification Problem Learn what classification problems are and how they are used in machine learning to group data by criteria. A quiz on classification, a supervised learning task, from a coursera course on machine learning with big data. A critical step in data mining is to formulate a mathematical. The raw data can come in all sizes, shapes and varieties. Classification problems. Which Of The Following Is An Example Of Classification Problem.
From www.researchgate.net
An example of classification tree Download Scientific Diagram Which Of The Following Is An Example Of Classification Problem The quiz covers topics such as. Classification problems are faced in a wide range of research areas. Learn what classification problems are and how they are used in machine learning to group data by criteria. See examples of classification problems and algorithms, such as linear. Which of the following would be an example of a classification problem that could be. Which Of The Following Is An Example Of Classification Problem.
From www.studypool.com
SOLUTION General approach to solving a classification problem datamining Studypool Which Of The Following Is An Example Of Classification Problem In a classification problem, you are given the data and for each data point a label. The quiz covers topics such as. Learn what classification problems are and how they are used in machine learning to group data by criteria. The raw data can come in all sizes, shapes and varieties. Which of the following would be an example of. Which Of The Following Is An Example Of Classification Problem.
From towardsdatascience.com
A beginner’s guide to decision tree classification Towards Data Science Which Of The Following Is An Example Of Classification Problem The raw data can come in all sizes, shapes and varieties. Which of the following would be an example of a classification problem that could be taken on with machine learning? In a classification problem, you are given the data and for each data point a label. See examples of classification problems and algorithms, such as linear. The data is. Which Of The Following Is An Example Of Classification Problem.
From selfdriving5.github.io
Classification Problems 1 Which Of The Following Is An Example Of Classification Problem Learn what classification problems are and how they are used in machine learning to group data by criteria. A critical step in data mining is to formulate a mathematical. In a classification problem, you are given the data and for each data point a label. Of the following examples, which would you address. A quiz on classification, a supervised learning. Which Of The Following Is An Example Of Classification Problem.
From www.chegg.com
Solved Consider the training example shown in the following Which Of The Following Is An Example Of Classification Problem In a classification problem, you are given the data and for each data point a label. Which of the following would be an example of a classification problem that could be taken on with machine learning? The raw data can come in all sizes, shapes and varieties. Learn what classification problems are and how they are used in machine learning. Which Of The Following Is An Example Of Classification Problem.
From www.youtube.com
Classification Problems in Machine Learning YouTube Which Of The Following Is An Example Of Classification Problem In a classification problem, you are given the data and for each data point a label. Learn what classification problems are and how they are used in machine learning to group data by criteria. The quiz covers topics such as. A critical step in data mining is to formulate a mathematical. Classification problems are faced in a wide range of. Which Of The Following Is An Example Of Classification Problem.