How To Get Engineering Maths Solutions . Maths.engineering is the best digital guide (book or study material) for all engineering mathematics students, as the syllabus is covered as per your. Engineering mathematics is crucial for gate, with topics spanning linear algebra, calculus, and probability. Engineering mathematics questions with solutions are a set of practice papers that are provided to the students for doing the regular. We offer free online courses and exams covering. Applications of mathematics to engineering systems, including electric circuits, are presented with examples and solutions. We have a collection of free engineering mathematics videos. Mathalino is a valuable resource for engineering students, providing a wealth of content related to mathematics and engineering. The topics covered are chain rule, partial derivative, taylor.
from www.slideshare.net
Engineering mathematics is crucial for gate, with topics spanning linear algebra, calculus, and probability. The topics covered are chain rule, partial derivative, taylor. We offer free online courses and exams covering. Applications of mathematics to engineering systems, including electric circuits, are presented with examples and solutions. Engineering mathematics questions with solutions are a set of practice papers that are provided to the students for doing the regular. Mathalino is a valuable resource for engineering students, providing a wealth of content related to mathematics and engineering. Maths.engineering is the best digital guide (book or study material) for all engineering mathematics students, as the syllabus is covered as per your. We have a collection of free engineering mathematics videos.
MATHEMATICS ENGINEERING PROBLEM AND SOLUTION SEMESTER 1
How To Get Engineering Maths Solutions We offer free online courses and exams covering. The topics covered are chain rule, partial derivative, taylor. We have a collection of free engineering mathematics videos. Mathalino is a valuable resource for engineering students, providing a wealth of content related to mathematics and engineering. Engineering mathematics is crucial for gate, with topics spanning linear algebra, calculus, and probability. Maths.engineering is the best digital guide (book or study material) for all engineering mathematics students, as the syllabus is covered as per your. Engineering mathematics questions with solutions are a set of practice papers that are provided to the students for doing the regular. Applications of mathematics to engineering systems, including electric circuits, are presented with examples and solutions. We offer free online courses and exams covering.
From www.youtube.com
ENGINEERING MATHS3 PAPER SOLUTION1 (M3) INSEM TODPHOD SERIES How To Get Engineering Maths Solutions Engineering mathematics questions with solutions are a set of practice papers that are provided to the students for doing the regular. The topics covered are chain rule, partial derivative, taylor. Maths.engineering is the best digital guide (book or study material) for all engineering mathematics students, as the syllabus is covered as per your. Applications of mathematics to engineering systems, including. How To Get Engineering Maths Solutions.
From www.slideshare.net
Engineering mathematics 3 unit wise formula and methods How To Get Engineering Maths Solutions Engineering mathematics is crucial for gate, with topics spanning linear algebra, calculus, and probability. Maths.engineering is the best digital guide (book or study material) for all engineering mathematics students, as the syllabus is covered as per your. Engineering mathematics questions with solutions are a set of practice papers that are provided to the students for doing the regular. We offer. How To Get Engineering Maths Solutions.
From www.studocu.com
Engineering Maths Lecture 1 Engineering Mathematics Topic 1 Multi How To Get Engineering Maths Solutions We offer free online courses and exams covering. The topics covered are chain rule, partial derivative, taylor. Maths.engineering is the best digital guide (book or study material) for all engineering mathematics students, as the syllabus is covered as per your. Engineering mathematics questions with solutions are a set of practice papers that are provided to the students for doing the. How To Get Engineering Maths Solutions.
From www.youtube.com
Clickable Engineering Math Interactive Engineering Problem Solving How To Get Engineering Maths Solutions The topics covered are chain rule, partial derivative, taylor. Applications of mathematics to engineering systems, including electric circuits, are presented with examples and solutions. Engineering mathematics is crucial for gate, with topics spanning linear algebra, calculus, and probability. Mathalino is a valuable resource for engineering students, providing a wealth of content related to mathematics and engineering. Maths.engineering is the best. How To Get Engineering Maths Solutions.
From doku.pub
Download PDF 1001 Solved Problems In Engineering Mathematics How To Get Engineering Maths Solutions Engineering mathematics questions with solutions are a set of practice papers that are provided to the students for doing the regular. Engineering mathematics is crucial for gate, with topics spanning linear algebra, calculus, and probability. We have a collection of free engineering mathematics videos. Mathalino is a valuable resource for engineering students, providing a wealth of content related to mathematics. How To Get Engineering Maths Solutions.
From www.studypool.com
SOLUTION Solution manual for advanced engineering mathematics 8th How To Get Engineering Maths Solutions We offer free online courses and exams covering. Mathalino is a valuable resource for engineering students, providing a wealth of content related to mathematics and engineering. We have a collection of free engineering mathematics videos. Engineering mathematics is crucial for gate, with topics spanning linear algebra, calculus, and probability. Engineering mathematics questions with solutions are a set of practice papers. How To Get Engineering Maths Solutions.
From www.studypool.com
SOLUTION Problems and solutions for fundamentals of engineering How To Get Engineering Maths Solutions The topics covered are chain rule, partial derivative, taylor. Engineering mathematics is crucial for gate, with topics spanning linear algebra, calculus, and probability. We have a collection of free engineering mathematics videos. Maths.engineering is the best digital guide (book or study material) for all engineering mathematics students, as the syllabus is covered as per your. Mathalino is a valuable resource. How To Get Engineering Maths Solutions.
From lastmomenttuitions.com
Engineering Maths 3+Handmade Notes+MCQs [All Departments] How To Get Engineering Maths Solutions Engineering mathematics questions with solutions are a set of practice papers that are provided to the students for doing the regular. Applications of mathematics to engineering systems, including electric circuits, are presented with examples and solutions. We have a collection of free engineering mathematics videos. Engineering mathematics is crucial for gate, with topics spanning linear algebra, calculus, and probability. Maths.engineering. How To Get Engineering Maths Solutions.
From www.slideshare.net
MATHEMATICS ENGINEERING PROBLEM AND SOLUTION SEMESTER 1 How To Get Engineering Maths Solutions Engineering mathematics questions with solutions are a set of practice papers that are provided to the students for doing the regular. We have a collection of free engineering mathematics videos. Engineering mathematics is crucial for gate, with topics spanning linear algebra, calculus, and probability. The topics covered are chain rule, partial derivative, taylor. Mathalino is a valuable resource for engineering. How To Get Engineering Maths Solutions.
From www.slideshare.net
advanced engineering mathematics chapter1.1 solution How To Get Engineering Maths Solutions Engineering mathematics questions with solutions are a set of practice papers that are provided to the students for doing the regular. Applications of mathematics to engineering systems, including electric circuits, are presented with examples and solutions. Maths.engineering is the best digital guide (book or study material) for all engineering mathematics students, as the syllabus is covered as per your. Mathalino. How To Get Engineering Maths Solutions.
From www.slideshare.net
MATHEMATICS ENGINEERING PROBLEM AND SOLUTION SEMESTER 1 How To Get Engineering Maths Solutions The topics covered are chain rule, partial derivative, taylor. Engineering mathematics is crucial for gate, with topics spanning linear algebra, calculus, and probability. We offer free online courses and exams covering. Mathalino is a valuable resource for engineering students, providing a wealth of content related to mathematics and engineering. We have a collection of free engineering mathematics videos. Maths.engineering is. How To Get Engineering Maths Solutions.
From heritagebooks.com.np
A Complete Solution of A Textbook of Engineering Mathematics Volume II How To Get Engineering Maths Solutions Engineering mathematics is crucial for gate, with topics spanning linear algebra, calculus, and probability. Mathalino is a valuable resource for engineering students, providing a wealth of content related to mathematics and engineering. Engineering mathematics questions with solutions are a set of practice papers that are provided to the students for doing the regular. Maths.engineering is the best digital guide (book. How To Get Engineering Maths Solutions.
From www.youtube.com
Chapter 1.1 Problem 1 (Advanced Engineering Mathematics) YouTube How To Get Engineering Maths Solutions We offer free online courses and exams covering. Maths.engineering is the best digital guide (book or study material) for all engineering mathematics students, as the syllabus is covered as per your. We have a collection of free engineering mathematics videos. Mathalino is a valuable resource for engineering students, providing a wealth of content related to mathematics and engineering. The topics. How To Get Engineering Maths Solutions.
From jp.maplesoft.com
Audience How To Get Engineering Maths Solutions We have a collection of free engineering mathematics videos. Engineering mathematics is crucial for gate, with topics spanning linear algebra, calculus, and probability. Maths.engineering is the best digital guide (book or study material) for all engineering mathematics students, as the syllabus is covered as per your. The topics covered are chain rule, partial derivative, taylor. Applications of mathematics to engineering. How To Get Engineering Maths Solutions.
From notexchange.com.au
Introduction to Engineering Mathematics NoteXchange How To Get Engineering Maths Solutions The topics covered are chain rule, partial derivative, taylor. Engineering mathematics questions with solutions are a set of practice papers that are provided to the students for doing the regular. Engineering mathematics is crucial for gate, with topics spanning linear algebra, calculus, and probability. Maths.engineering is the best digital guide (book or study material) for all engineering mathematics students, as. How To Get Engineering Maths Solutions.
From www.jblearning.com
Advanced Engineering Mathematics with Student Solutions Manual How To Get Engineering Maths Solutions The topics covered are chain rule, partial derivative, taylor. Mathalino is a valuable resource for engineering students, providing a wealth of content related to mathematics and engineering. Engineering mathematics is crucial for gate, with topics spanning linear algebra, calculus, and probability. Maths.engineering is the best digital guide (book or study material) for all engineering mathematics students, as the syllabus is. How To Get Engineering Maths Solutions.
From www.slideshare.net
Engineering mathematics, fifth edition(1) How To Get Engineering Maths Solutions Applications of mathematics to engineering systems, including electric circuits, are presented with examples and solutions. Maths.engineering is the best digital guide (book or study material) for all engineering mathematics students, as the syllabus is covered as per your. The topics covered are chain rule, partial derivative, taylor. Engineering mathematics is crucial for gate, with topics spanning linear algebra, calculus, and. How To Get Engineering Maths Solutions.
From www.docsity.com
14 Questions with Solution of Engineering Math III Exam 2 MATH 251 How To Get Engineering Maths Solutions Engineering mathematics is crucial for gate, with topics spanning linear algebra, calculus, and probability. Engineering mathematics questions with solutions are a set of practice papers that are provided to the students for doing the regular. We offer free online courses and exams covering. The topics covered are chain rule, partial derivative, taylor. Applications of mathematics to engineering systems, including electric. How To Get Engineering Maths Solutions.
From godbolt.me
ADVANCED ENGINEERING MATHEMATICS KREYSZIG 10TH EDITION SOLUTION MANUAL PDF How To Get Engineering Maths Solutions Engineering mathematics is crucial for gate, with topics spanning linear algebra, calculus, and probability. We offer free online courses and exams covering. We have a collection of free engineering mathematics videos. Mathalino is a valuable resource for engineering students, providing a wealth of content related to mathematics and engineering. The topics covered are chain rule, partial derivative, taylor. Engineering mathematics. How To Get Engineering Maths Solutions.
From www.tes.com
Engineering Maths Applied Mathematical Theory in Engineering How To Get Engineering Maths Solutions Mathalino is a valuable resource for engineering students, providing a wealth of content related to mathematics and engineering. Maths.engineering is the best digital guide (book or study material) for all engineering mathematics students, as the syllabus is covered as per your. We have a collection of free engineering mathematics videos. Applications of mathematics to engineering systems, including electric circuits, are. How To Get Engineering Maths Solutions.
From play.google.com
Engineering Mathematics 3 Apps on Google Play How To Get Engineering Maths Solutions Applications of mathematics to engineering systems, including electric circuits, are presented with examples and solutions. Mathalino is a valuable resource for engineering students, providing a wealth of content related to mathematics and engineering. Maths.engineering is the best digital guide (book or study material) for all engineering mathematics students, as the syllabus is covered as per your. We offer free online. How To Get Engineering Maths Solutions.
From www.youtube.com
HOW TO PASS ENGINEERING MATHS II YouTube How To Get Engineering Maths Solutions Engineering mathematics questions with solutions are a set of practice papers that are provided to the students for doing the regular. The topics covered are chain rule, partial derivative, taylor. We offer free online courses and exams covering. Applications of mathematics to engineering systems, including electric circuits, are presented with examples and solutions. Engineering mathematics is crucial for gate, with. How To Get Engineering Maths Solutions.
From www.magicmarks.in
Online Video Lectures for Engineering MathematicsI Magic Marks How To Get Engineering Maths Solutions Mathalino is a valuable resource for engineering students, providing a wealth of content related to mathematics and engineering. Engineering mathematics is crucial for gate, with topics spanning linear algebra, calculus, and probability. Applications of mathematics to engineering systems, including electric circuits, are presented with examples and solutions. Maths.engineering is the best digital guide (book or study material) for all engineering. How To Get Engineering Maths Solutions.
From www.goodreads.com
Solution Manual to Engineering Mathematics by N.P. Bali How To Get Engineering Maths Solutions Maths.engineering is the best digital guide (book or study material) for all engineering mathematics students, as the syllabus is covered as per your. We offer free online courses and exams covering. The topics covered are chain rule, partial derivative, taylor. We have a collection of free engineering mathematics videos. Engineering mathematics is crucial for gate, with topics spanning linear algebra,. How To Get Engineering Maths Solutions.
From newtondesk.com
Engineering Mathematics Study Notes (Handwritten) Free PDF GATE How To Get Engineering Maths Solutions Engineering mathematics is crucial for gate, with topics spanning linear algebra, calculus, and probability. Mathalino is a valuable resource for engineering students, providing a wealth of content related to mathematics and engineering. We have a collection of free engineering mathematics videos. Engineering mathematics questions with solutions are a set of practice papers that are provided to the students for doing. How To Get Engineering Maths Solutions.
From www.slideshare.net
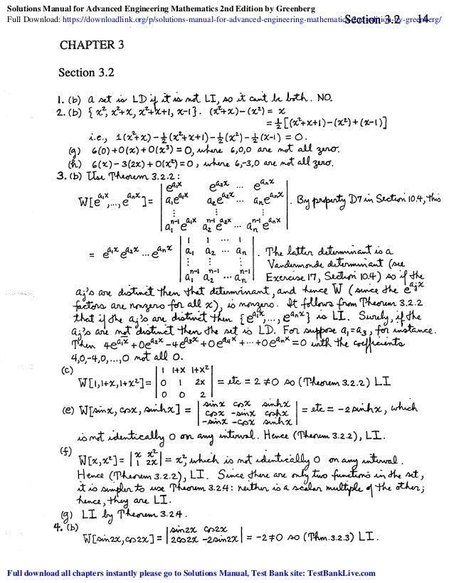
Solutions Manual for Advanced Engineering Mathematics 2nd Edition by How To Get Engineering Maths Solutions Engineering mathematics questions with solutions are a set of practice papers that are provided to the students for doing the regular. We have a collection of free engineering mathematics videos. Applications of mathematics to engineering systems, including electric circuits, are presented with examples and solutions. The topics covered are chain rule, partial derivative, taylor. Engineering mathematics is crucial for gate,. How To Get Engineering Maths Solutions.
From www.studypool.com
SOLUTION 9 engineering mathematics notes Studypool How To Get Engineering Maths Solutions Maths.engineering is the best digital guide (book or study material) for all engineering mathematics students, as the syllabus is covered as per your. Applications of mathematics to engineering systems, including electric circuits, are presented with examples and solutions. Mathalino is a valuable resource for engineering students, providing a wealth of content related to mathematics and engineering. We have a collection. How To Get Engineering Maths Solutions.
From agrimoon.com
Engineering Mathematics1 PDF Book AgriMoon How To Get Engineering Maths Solutions Maths.engineering is the best digital guide (book or study material) for all engineering mathematics students, as the syllabus is covered as per your. Applications of mathematics to engineering systems, including electric circuits, are presented with examples and solutions. Engineering mathematics is crucial for gate, with topics spanning linear algebra, calculus, and probability. We have a collection of free engineering mathematics. How To Get Engineering Maths Solutions.
From www.docsity.com
Mathematics for Aerospace Engineering Sciences 1 Homework 4 Solved How To Get Engineering Maths Solutions Engineering mathematics is crucial for gate, with topics spanning linear algebra, calculus, and probability. Maths.engineering is the best digital guide (book or study material) for all engineering mathematics students, as the syllabus is covered as per your. Applications of mathematics to engineering systems, including electric circuits, are presented with examples and solutions. We have a collection of free engineering mathematics. How To Get Engineering Maths Solutions.
From www.thinkswap.com
Engineering Mathematics 140 Study Notes 307538 Engineering How To Get Engineering Maths Solutions We offer free online courses and exams covering. Engineering mathematics is crucial for gate, with topics spanning linear algebra, calculus, and probability. Maths.engineering is the best digital guide (book or study material) for all engineering mathematics students, as the syllabus is covered as per your. Mathalino is a valuable resource for engineering students, providing a wealth of content related to. How To Get Engineering Maths Solutions.
From www.youtube.com
M2 Engineering Mathematics 2 Vector Calculus Important Problem How To Get Engineering Maths Solutions We offer free online courses and exams covering. Applications of mathematics to engineering systems, including electric circuits, are presented with examples and solutions. We have a collection of free engineering mathematics videos. Mathalino is a valuable resource for engineering students, providing a wealth of content related to mathematics and engineering. Maths.engineering is the best digital guide (book or study material). How To Get Engineering Maths Solutions.
From gioumeh.com
Solutions manual of advanced engineering mathematics Peter Neil 8th How To Get Engineering Maths Solutions We offer free online courses and exams covering. Applications of mathematics to engineering systems, including electric circuits, are presented with examples and solutions. We have a collection of free engineering mathematics videos. Engineering mathematics questions with solutions are a set of practice papers that are provided to the students for doing the regular. The topics covered are chain rule, partial. How To Get Engineering Maths Solutions.
From www.slideshare.net
advanced engineering mathematics chapter1.1 solution How To Get Engineering Maths Solutions Mathalino is a valuable resource for engineering students, providing a wealth of content related to mathematics and engineering. We have a collection of free engineering mathematics videos. Maths.engineering is the best digital guide (book or study material) for all engineering mathematics students, as the syllabus is covered as per your. Engineering mathematics questions with solutions are a set of practice. How To Get Engineering Maths Solutions.
From www.slideshare.net
advanced engineering mathematics chapter1.1 solution How To Get Engineering Maths Solutions Engineering mathematics is crucial for gate, with topics spanning linear algebra, calculus, and probability. Engineering mathematics questions with solutions are a set of practice papers that are provided to the students for doing the regular. Mathalino is a valuable resource for engineering students, providing a wealth of content related to mathematics and engineering. Maths.engineering is the best digital guide (book. How To Get Engineering Maths Solutions.
From www.studypool.com
SOLUTION Mathematics for Mechanical Engineers Problems and Solutions How To Get Engineering Maths Solutions Engineering mathematics questions with solutions are a set of practice papers that are provided to the students for doing the regular. Maths.engineering is the best digital guide (book or study material) for all engineering mathematics students, as the syllabus is covered as per your. The topics covered are chain rule, partial derivative, taylor. Applications of mathematics to engineering systems, including. How To Get Engineering Maths Solutions.