Point Of Inflection Exponential . Is there also a term for the above point on the exponential curve? The problem with saying that an. What is an inflection point? Formally, an inflection point is when the derivative changes sign. A point of inflection does not have to be a stationary point however. In calculus we use the term inflection point for when a curve changes between positive and negative. In this article, the concept and meaning of inflection point, how to determine the inflection point graphically are explained in detail. The swithcing signs of \(f''(x)\) in the table tells us that \(f(x)\) is concave down for \(x<2\) and concave up for \(x>2,\) implying that the point \(\big(2, f(2)\big)=(2, 1)\) is the. This means that a point of. An inflection point is a point on a curve at which the sign of the curvature (i.e., the concavity) changes. A point of inflection is any point at which a curve changes from being convex to being concave. The point where the function is neither concave nor convex is known as inflection point or the point of inflection. Inflection points may be stationary points, but are not local maxima or.
from mathemerize.com
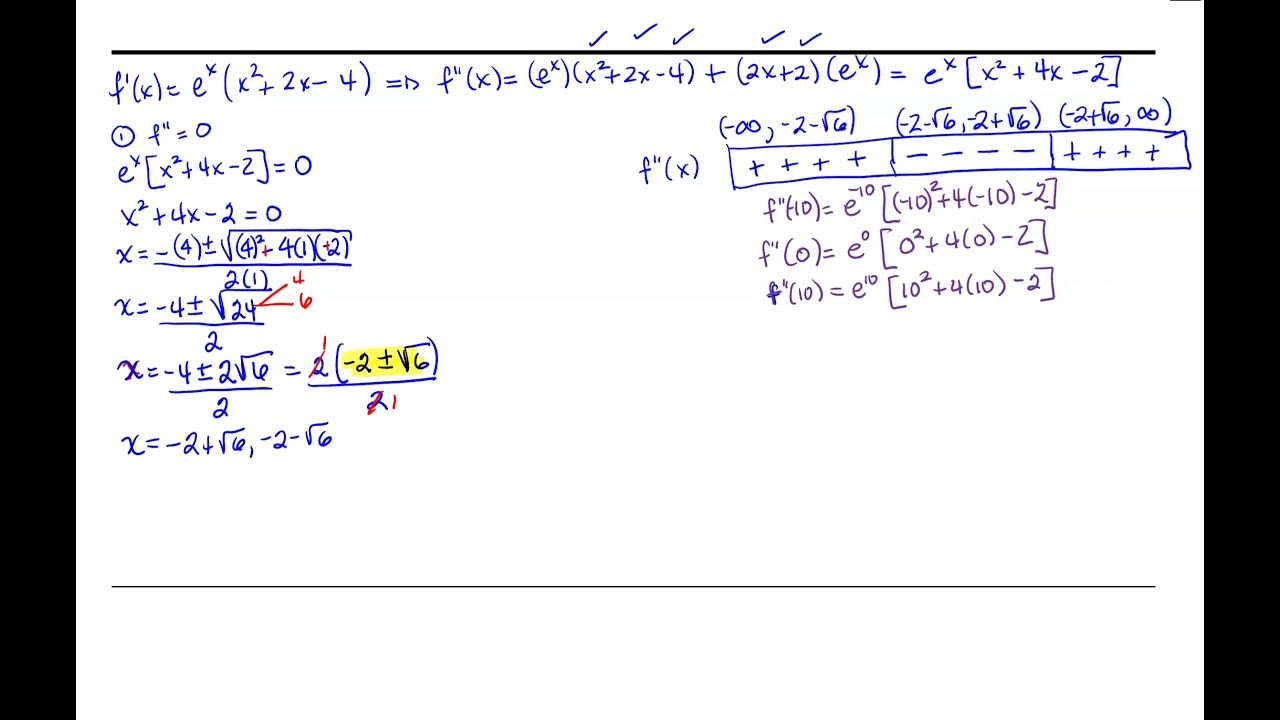
A point of inflection is any point at which a curve changes from being convex to being concave. Formally, an inflection point is when the derivative changes sign. The point where the function is neither concave nor convex is known as inflection point or the point of inflection. What is an inflection point? An inflection point is a point on a curve at which the sign of the curvature (i.e., the concavity) changes. Inflection points may be stationary points, but are not local maxima or. The swithcing signs of \(f''(x)\) in the table tells us that \(f(x)\) is concave down for \(x<2\) and concave up for \(x>2,\) implying that the point \(\big(2, f(2)\big)=(2, 1)\) is the. A point of inflection does not have to be a stationary point however. The problem with saying that an. In this article, the concept and meaning of inflection point, how to determine the inflection point graphically are explained in detail.
What is the Point of Inflection ? Mathemerize
Point Of Inflection Exponential Inflection points may be stationary points, but are not local maxima or. What is an inflection point? In this article, the concept and meaning of inflection point, how to determine the inflection point graphically are explained in detail. Inflection points may be stationary points, but are not local maxima or. In calculus we use the term inflection point for when a curve changes between positive and negative. This means that a point of. An inflection point is a point on a curve at which the sign of the curvature (i.e., the concavity) changes. The point where the function is neither concave nor convex is known as inflection point or the point of inflection. The problem with saying that an. Formally, an inflection point is when the derivative changes sign. A point of inflection is any point at which a curve changes from being convex to being concave. A point of inflection does not have to be a stationary point however. Is there also a term for the above point on the exponential curve? The swithcing signs of \(f''(x)\) in the table tells us that \(f(x)\) is concave down for \(x<2\) and concave up for \(x>2,\) implying that the point \(\big(2, f(2)\big)=(2, 1)\) is the.
From www.youtube.com
Calculus Curve Sketching for exponential Function x^2e^x with Point of Point Of Inflection Exponential In this article, the concept and meaning of inflection point, how to determine the inflection point graphically are explained in detail. In calculus we use the term inflection point for when a curve changes between positive and negative. The point where the function is neither concave nor convex is known as inflection point or the point of inflection. A point. Point Of Inflection Exponential.
From www.dreamstime.com
Inflection Point on Graph of Function. Stock Vector Illustration of Point Of Inflection Exponential A point of inflection is any point at which a curve changes from being convex to being concave. The problem with saying that an. In calculus we use the term inflection point for when a curve changes between positive and negative. A point of inflection does not have to be a stationary point however. An inflection point is a point. Point Of Inflection Exponential.
From www.youtube.com
Cubics unit 2 Point of inflection & finding equations YouTube Point Of Inflection Exponential An inflection point is a point on a curve at which the sign of the curvature (i.e., the concavity) changes. The point where the function is neither concave nor convex is known as inflection point or the point of inflection. The swithcing signs of \(f''(x)\) in the table tells us that \(f(x)\) is concave down for \(x<2\) and concave up. Point Of Inflection Exponential.
From www.radfordmathematics.com
Point of Inflection Calculus Point Of Inflection Exponential An inflection point is a point on a curve at which the sign of the curvature (i.e., the concavity) changes. A point of inflection does not have to be a stationary point however. In calculus we use the term inflection point for when a curve changes between positive and negative. This means that a point of. The point where the. Point Of Inflection Exponential.
From articles.outlier.org
Inflection Point Definition and How to Find It in 5 Steps Outlier Point Of Inflection Exponential What is an inflection point? This means that a point of. In this article, the concept and meaning of inflection point, how to determine the inflection point graphically are explained in detail. Inflection points may be stationary points, but are not local maxima or. The swithcing signs of \(f''(x)\) in the table tells us that \(f(x)\) is concave down for. Point Of Inflection Exponential.
From www.shutterstock.com
Inflection Point On Graph Function Vector Stock Vector (Royalty Free Point Of Inflection Exponential Formally, an inflection point is when the derivative changes sign. The swithcing signs of \(f''(x)\) in the table tells us that \(f(x)\) is concave down for \(x<2\) and concave up for \(x>2,\) implying that the point \(\big(2, f(2)\big)=(2, 1)\) is the. In this article, the concept and meaning of inflection point, how to determine the inflection point graphically are explained. Point Of Inflection Exponential.
From www.youtube.com
Behavior of an Exponential Function Concavity and Points of Inflection Point Of Inflection Exponential Is there also a term for the above point on the exponential curve? A point of inflection does not have to be a stationary point however. This means that a point of. The problem with saying that an. The swithcing signs of \(f''(x)\) in the table tells us that \(f(x)\) is concave down for \(x<2\) and concave up for \(x>2,\). Point Of Inflection Exponential.
From phuongndc.medium.com
Inflection Point — A powerful data analytics method by PhuongNDC Medium Point Of Inflection Exponential What is an inflection point? The swithcing signs of \(f''(x)\) in the table tells us that \(f(x)\) is concave down for \(x<2\) and concave up for \(x>2,\) implying that the point \(\big(2, f(2)\big)=(2, 1)\) is the. The point where the function is neither concave nor convex is known as inflection point or the point of inflection. Inflection points may be. Point Of Inflection Exponential.
From www.nagwa.com
Question Video Finding the Inflection Point of the Curve of a Point Of Inflection Exponential This means that a point of. An inflection point is a point on a curve at which the sign of the curvature (i.e., the concavity) changes. What is an inflection point? Is there also a term for the above point on the exponential curve? The problem with saying that an. In this article, the concept and meaning of inflection point,. Point Of Inflection Exponential.
From www.youtube.com
Calculus I Inflection points from the graph of f'' YouTube Point Of Inflection Exponential A point of inflection is any point at which a curve changes from being convex to being concave. In this article, the concept and meaning of inflection point, how to determine the inflection point graphically are explained in detail. This means that a point of. The point where the function is neither concave nor convex is known as inflection point. Point Of Inflection Exponential.
From www.youtube.com
Fit an exponential regression and calculate the inflection point in Point Of Inflection Exponential In calculus we use the term inflection point for when a curve changes between positive and negative. Is there also a term for the above point on the exponential curve? In this article, the concept and meaning of inflection point, how to determine the inflection point graphically are explained in detail. What is an inflection point? The swithcing signs of. Point Of Inflection Exponential.
From www.radfordmathematics.com
Point of Inflection Calculus Point Of Inflection Exponential This means that a point of. Inflection points may be stationary points, but are not local maxima or. In this article, the concept and meaning of inflection point, how to determine the inflection point graphically are explained in detail. A point of inflection does not have to be a stationary point however. Is there also a term for the above. Point Of Inflection Exponential.
From www.youtube.com
Define inflection point l what is inflection point with example l Point Of Inflection Exponential The point where the function is neither concave nor convex is known as inflection point or the point of inflection. Is there also a term for the above point on the exponential curve? Formally, an inflection point is when the derivative changes sign. A point of inflection is any point at which a curve changes from being convex to being. Point Of Inflection Exponential.
From articles.outlier.org
Inflection Point Definition and How to Find It in 5 Steps Outlier Point Of Inflection Exponential Formally, an inflection point is when the derivative changes sign. This means that a point of. An inflection point is a point on a curve at which the sign of the curvature (i.e., the concavity) changes. In this article, the concept and meaning of inflection point, how to determine the inflection point graphically are explained in detail. The problem with. Point Of Inflection Exponential.
From articles.outlier.org
Inflection Point Definition and How to Find It in 5 Steps Outlier Point Of Inflection Exponential The problem with saying that an. An inflection point is a point on a curve at which the sign of the curvature (i.e., the concavity) changes. A point of inflection does not have to be a stationary point however. A point of inflection is any point at which a curve changes from being convex to being concave. Is there also. Point Of Inflection Exponential.
From www.thetechedvocate.org
How to calculate inflection point The Tech Edvocate Point Of Inflection Exponential This means that a point of. Is there also a term for the above point on the exponential curve? What is an inflection point? In this article, the concept and meaning of inflection point, how to determine the inflection point graphically are explained in detail. The problem with saying that an. Inflection points may be stationary points, but are not. Point Of Inflection Exponential.
From calcworkshop.com
The Second Derivative Test (HowTo w/ 15 StepbyStep Examples!) Point Of Inflection Exponential A point of inflection is any point at which a curve changes from being convex to being concave. An inflection point is a point on a curve at which the sign of the curvature (i.e., the concavity) changes. A point of inflection does not have to be a stationary point however. Inflection points may be stationary points, but are not. Point Of Inflection Exponential.
From www.nagwa.com
Question Video Finding All Inflection Points of the Curve of a Point Of Inflection Exponential What is an inflection point? In this article, the concept and meaning of inflection point, how to determine the inflection point graphically are explained in detail. This means that a point of. A point of inflection is any point at which a curve changes from being convex to being concave. A point of inflection does not have to be a. Point Of Inflection Exponential.
From www.vrogue.co
Regression What Is The Difference Between Ed50 At Inf vrogue.co Point Of Inflection Exponential In calculus we use the term inflection point for when a curve changes between positive and negative. Is there also a term for the above point on the exponential curve? The point where the function is neither concave nor convex is known as inflection point or the point of inflection. The swithcing signs of \(f''(x)\) in the table tells us. Point Of Inflection Exponential.
From www.nagwa.com
Question Video Finding the Inflection Points of a Function from the Point Of Inflection Exponential In calculus we use the term inflection point for when a curve changes between positive and negative. This means that a point of. In this article, the concept and meaning of inflection point, how to determine the inflection point graphically are explained in detail. Formally, an inflection point is when the derivative changes sign. The problem with saying that an.. Point Of Inflection Exponential.
From www.linstitute.net
IB DP Maths AA SL复习笔记5.2.5 Concavity & Points of Inflection翰林国际教育 Point Of Inflection Exponential In calculus we use the term inflection point for when a curve changes between positive and negative. Inflection points may be stationary points, but are not local maxima or. The swithcing signs of \(f''(x)\) in the table tells us that \(f(x)\) is concave down for \(x<2\) and concave up for \(x>2,\) implying that the point \(\big(2, f(2)\big)=(2, 1)\) is the.. Point Of Inflection Exponential.
From www.savemyexams.com
Points of Inflection AQA A Level Maths Pure Revision Notes 2018 Point Of Inflection Exponential The swithcing signs of \(f''(x)\) in the table tells us that \(f(x)\) is concave down for \(x<2\) and concave up for \(x>2,\) implying that the point \(\big(2, f(2)\big)=(2, 1)\) is the. What is an inflection point? A point of inflection is any point at which a curve changes from being convex to being concave. Formally, an inflection point is when. Point Of Inflection Exponential.
From www.youtube.com
Finding Points of Inflection and Intervals of Concavity Calculus Point Of Inflection Exponential Is there also a term for the above point on the exponential curve? The point where the function is neither concave nor convex is known as inflection point or the point of inflection. The problem with saying that an. This means that a point of. The swithcing signs of \(f''(x)\) in the table tells us that \(f(x)\) is concave down. Point Of Inflection Exponential.
From mungfali.com
How To Find Inflection Points Of A Function Point Of Inflection Exponential The point where the function is neither concave nor convex is known as inflection point or the point of inflection. Inflection points may be stationary points, but are not local maxima or. Formally, an inflection point is when the derivative changes sign. This means that a point of. A point of inflection is any point at which a curve changes. Point Of Inflection Exponential.
From www.youtube.com
Inflection Points of an Exponential Function (p. 376 40) YouTube Point Of Inflection Exponential Formally, an inflection point is when the derivative changes sign. This means that a point of. The swithcing signs of \(f''(x)\) in the table tells us that \(f(x)\) is concave down for \(x<2\) and concave up for \(x>2,\) implying that the point \(\big(2, f(2)\big)=(2, 1)\) is the. Is there also a term for the above point on the exponential curve?. Point Of Inflection Exponential.
From articles.outlier.org
Inflection Point Definition and How to Find It in 5 Steps Outlier Point Of Inflection Exponential Inflection points may be stationary points, but are not local maxima or. The problem with saying that an. In this article, the concept and meaning of inflection point, how to determine the inflection point graphically are explained in detail. What is an inflection point? The swithcing signs of \(f''(x)\) in the table tells us that \(f(x)\) is concave down for. Point Of Inflection Exponential.
From raisemymarks.com
Exponential Function Math Worksheets & Math Videos, Ottawa, Toronto Point Of Inflection Exponential In calculus we use the term inflection point for when a curve changes between positive and negative. An inflection point is a point on a curve at which the sign of the curvature (i.e., the concavity) changes. In this article, the concept and meaning of inflection point, how to determine the inflection point graphically are explained in detail. Formally, an. Point Of Inflection Exponential.
From www.radfordmathematics.com
Point of Inflection Calculus Point Of Inflection Exponential This means that a point of. In this article, the concept and meaning of inflection point, how to determine the inflection point graphically are explained in detail. A point of inflection does not have to be a stationary point however. Is there also a term for the above point on the exponential curve? In calculus we use the term inflection. Point Of Inflection Exponential.
From statusq.org
Reflections on Inflections StatusQ Point Of Inflection Exponential Inflection points may be stationary points, but are not local maxima or. The swithcing signs of \(f''(x)\) in the table tells us that \(f(x)\) is concave down for \(x<2\) and concave up for \(x>2,\) implying that the point \(\big(2, f(2)\big)=(2, 1)\) is the. An inflection point is a point on a curve at which the sign of the curvature (i.e.,. Point Of Inflection Exponential.
From www.wikihow.com
5 Ways to Find Inflection Points wikiHow Point Of Inflection Exponential The point where the function is neither concave nor convex is known as inflection point or the point of inflection. This means that a point of. Inflection points may be stationary points, but are not local maxima or. What is an inflection point? A point of inflection is any point at which a curve changes from being convex to being. Point Of Inflection Exponential.
From articles.outlier.org
Inflection Point Definition and How to Find It in 5 Steps Outlier Point Of Inflection Exponential The point where the function is neither concave nor convex is known as inflection point or the point of inflection. A point of inflection is any point at which a curve changes from being convex to being concave. An inflection point is a point on a curve at which the sign of the curvature (i.e., the concavity) changes. Is there. Point Of Inflection Exponential.
From www.radfordmathematics.com
Point of Inflection Calculus Point Of Inflection Exponential A point of inflection is any point at which a curve changes from being convex to being concave. In calculus we use the term inflection point for when a curve changes between positive and negative. In this article, the concept and meaning of inflection point, how to determine the inflection point graphically are explained in detail. Inflection points may be. Point Of Inflection Exponential.
From www.youtube.com
Point of Inflection on Even Exponential Curve YouTube Point Of Inflection Exponential A point of inflection does not have to be a stationary point however. An inflection point is a point on a curve at which the sign of the curvature (i.e., the concavity) changes. This means that a point of. In this article, the concept and meaning of inflection point, how to determine the inflection point graphically are explained in detail.. Point Of Inflection Exponential.
From mathemerize.com
What is the Point of Inflection ? Mathemerize Point Of Inflection Exponential The problem with saying that an. This means that a point of. Is there also a term for the above point on the exponential curve? The swithcing signs of \(f''(x)\) in the table tells us that \(f(x)\) is concave down for \(x<2\) and concave up for \(x>2,\) implying that the point \(\big(2, f(2)\big)=(2, 1)\) is the. In calculus we use. Point Of Inflection Exponential.
From articles.outlier.org
Inflection Point Definition and How to Find It in 5 Steps Outlier Point Of Inflection Exponential In this article, the concept and meaning of inflection point, how to determine the inflection point graphically are explained in detail. Formally, an inflection point is when the derivative changes sign. Is there also a term for the above point on the exponential curve? The swithcing signs of \(f''(x)\) in the table tells us that \(f(x)\) is concave down for. Point Of Inflection Exponential.