Iron Atomic Mass In Kg . Instant free online tool for atomic mass unit to kilogram conversion or vice versa. Find out the molar mass of iron (fe) in different units, such as grams per mole and kilograms per mole. The atomic mass is the mass of an atom. Find the density of iron (fe) in different units, such as kg/m3, kg/l, g/ml, oz/cu in, lb/cu ft, etc. The atomic mass or relative isotopic mass refers to. Learn about the chemical element iron,. Use the calculator to convert iron mass or volume. It is the most important metal and the fourth most. Iron is a shiny, greyish metal with atomic number 26 and relative atomic mass 55.845. Compute answers using wolfram's breakthrough technology & knowledgebase, relied on by millions of students & professionals. Find the molar mass of iron (fe) in grams per mole and learn how to calculate it from the atomic weights of iron and other elements. Atomic mass of iron is 55.845 u. The atomic mass unit [u] to kilogram [kg] conversion table.
from reviewhomedecor.co
Use the calculator to convert iron mass or volume. Atomic mass of iron is 55.845 u. Learn about the chemical element iron,. Iron is a shiny, greyish metal with atomic number 26 and relative atomic mass 55.845. The atomic mass or relative isotopic mass refers to. It is the most important metal and the fourth most. Find the density of iron (fe) in different units, such as kg/m3, kg/l, g/ml, oz/cu in, lb/cu ft, etc. Instant free online tool for atomic mass unit to kilogram conversion or vice versa. The atomic mass unit [u] to kilogram [kg] conversion table. The atomic mass is the mass of an atom.
Iron Periodic Table Number Of Neutrons Review Home Decor
Iron Atomic Mass In Kg Find out the molar mass of iron (fe) in different units, such as grams per mole and kilograms per mole. Find out the molar mass of iron (fe) in different units, such as grams per mole and kilograms per mole. Find the density of iron (fe) in different units, such as kg/m3, kg/l, g/ml, oz/cu in, lb/cu ft, etc. Atomic mass of iron is 55.845 u. Iron is a shiny, greyish metal with atomic number 26 and relative atomic mass 55.845. It is the most important metal and the fourth most. The atomic mass is the mass of an atom. The atomic mass or relative isotopic mass refers to. Use the calculator to convert iron mass or volume. Compute answers using wolfram's breakthrough technology & knowledgebase, relied on by millions of students & professionals. Find the molar mass of iron (fe) in grams per mole and learn how to calculate it from the atomic weights of iron and other elements. The atomic mass unit [u] to kilogram [kg] conversion table. Instant free online tool for atomic mass unit to kilogram conversion or vice versa. Learn about the chemical element iron,.
From www.toppr.com
One atomic mass unit in amu = 1.66 × 10^27 kg. The atomic weight of Iron Atomic Mass In Kg Find the molar mass of iron (fe) in grams per mole and learn how to calculate it from the atomic weights of iron and other elements. The atomic mass unit [u] to kilogram [kg] conversion table. The atomic mass is the mass of an atom. Atomic mass of iron is 55.845 u. The atomic mass or relative isotopic mass refers. Iron Atomic Mass In Kg.
From socratic.org
Why don't any of the isotopes of natural iron have the atomic mass of Iron Atomic Mass In Kg The atomic mass unit [u] to kilogram [kg] conversion table. Find the density of iron (fe) in different units, such as kg/m3, kg/l, g/ml, oz/cu in, lb/cu ft, etc. Instant free online tool for atomic mass unit to kilogram conversion or vice versa. It is the most important metal and the fourth most. Learn about the chemical element iron,. Iron. Iron Atomic Mass In Kg.
From www.toppr.com
The density of iron is 7.87 g/cm^3. If the atoms are spherical and Iron Atomic Mass In Kg Atomic mass of iron is 55.845 u. The atomic mass or relative isotopic mass refers to. Find the molar mass of iron (fe) in grams per mole and learn how to calculate it from the atomic weights of iron and other elements. Find the density of iron (fe) in different units, such as kg/m3, kg/l, g/ml, oz/cu in, lb/cu ft,. Iron Atomic Mass In Kg.
From www.youtube.com
ATOMIC MASS OF IRON YouTube Iron Atomic Mass In Kg Learn about the chemical element iron,. Instant free online tool for atomic mass unit to kilogram conversion or vice versa. It is the most important metal and the fourth most. The atomic mass or relative isotopic mass refers to. Iron is a shiny, greyish metal with atomic number 26 and relative atomic mass 55.845. Compute answers using wolfram's breakthrough technology. Iron Atomic Mass In Kg.
From slidetodoc.com
Calculating Particles for an ion Representations from the Iron Atomic Mass In Kg Use the calculator to convert iron mass or volume. Learn about the chemical element iron,. Instant free online tool for atomic mass unit to kilogram conversion or vice versa. Atomic mass of iron is 55.845 u. It is the most important metal and the fourth most. Find the density of iron (fe) in different units, such as kg/m3, kg/l, g/ml,. Iron Atomic Mass In Kg.
From syatillakmk.blogspot.com
SimplyChemistry C1 1.2RELATIVE ATOMIC MASS (R.A.M) Iron Atomic Mass In Kg Iron is a shiny, greyish metal with atomic number 26 and relative atomic mass 55.845. The atomic mass or relative isotopic mass refers to. Use the calculator to convert iron mass or volume. The atomic mass is the mass of an atom. Learn about the chemical element iron,. Compute answers using wolfram's breakthrough technology & knowledgebase, relied on by millions. Iron Atomic Mass In Kg.
From www.alamy.com
Fe Iron Chemical Element Periodic Table. Single vector illustration Iron Atomic Mass In Kg Find the molar mass of iron (fe) in grams per mole and learn how to calculate it from the atomic weights of iron and other elements. Atomic mass of iron is 55.845 u. The atomic mass unit [u] to kilogram [kg] conversion table. The atomic mass is the mass of an atom. Use the calculator to convert iron mass or. Iron Atomic Mass In Kg.
From www.youtube.com
How to Find the Average Atomic Mass of Iron YouTube Iron Atomic Mass In Kg Find the density of iron (fe) in different units, such as kg/m3, kg/l, g/ml, oz/cu in, lb/cu ft, etc. Compute answers using wolfram's breakthrough technology & knowledgebase, relied on by millions of students & professionals. The atomic mass unit [u] to kilogram [kg] conversion table. It is the most important metal and the fourth most. Iron is a shiny, greyish. Iron Atomic Mass In Kg.
From oneclass.com
OneClass please i want the answer as soo as possible with steps thank Iron Atomic Mass In Kg Find the molar mass of iron (fe) in grams per mole and learn how to calculate it from the atomic weights of iron and other elements. Use the calculator to convert iron mass or volume. The atomic mass or relative isotopic mass refers to. Find out the molar mass of iron (fe) in different units, such as grams per mole. Iron Atomic Mass In Kg.
From www.coursehero.com
[Solved] explain with steps An iron atom has a mass of 9.27 x 102 g Iron Atomic Mass In Kg Find out the molar mass of iron (fe) in different units, such as grams per mole and kilograms per mole. Compute answers using wolfram's breakthrough technology & knowledgebase, relied on by millions of students & professionals. Atomic mass of iron is 55.845 u. Use the calculator to convert iron mass or volume. It is the most important metal and the. Iron Atomic Mass In Kg.
From tankhrom.weebly.com
Iron atomic number tankhrom Iron Atomic Mass In Kg Use the calculator to convert iron mass or volume. The atomic mass or relative isotopic mass refers to. Compute answers using wolfram's breakthrough technology & knowledgebase, relied on by millions of students & professionals. Find the molar mass of iron (fe) in grams per mole and learn how to calculate it from the atomic weights of iron and other elements.. Iron Atomic Mass In Kg.
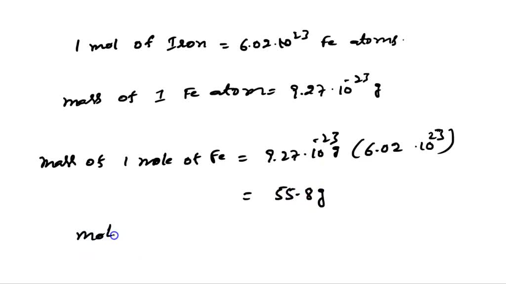
From www.numerade.com
An iron atom has mass of 9.27 x 10 g and cooking pot has a mass of 0. Iron Atomic Mass In Kg Find out the molar mass of iron (fe) in different units, such as grams per mole and kilograms per mole. Atomic mass of iron is 55.845 u. Instant free online tool for atomic mass unit to kilogram conversion or vice versa. Iron is a shiny, greyish metal with atomic number 26 and relative atomic mass 55.845. The atomic mass or. Iron Atomic Mass In Kg.
From www.nuclear-power.com
Iron Atomic Number Atomic Mass Density of Iron Iron Atomic Mass In Kg Find the density of iron (fe) in different units, such as kg/m3, kg/l, g/ml, oz/cu in, lb/cu ft, etc. Find the molar mass of iron (fe) in grams per mole and learn how to calculate it from the atomic weights of iron and other elements. Compute answers using wolfram's breakthrough technology & knowledgebase, relied on by millions of students &. Iron Atomic Mass In Kg.
From www.numerade.com
SOLVED An iron atom has mass of 9.27 x 10 g and cooking pot has mass Iron Atomic Mass In Kg Learn about the chemical element iron,. Compute answers using wolfram's breakthrough technology & knowledgebase, relied on by millions of students & professionals. Instant free online tool for atomic mass unit to kilogram conversion or vice versa. Atomic mass of iron is 55.845 u. Use the calculator to convert iron mass or volume. Iron is a shiny, greyish metal with atomic. Iron Atomic Mass In Kg.
From loehtqxsp.blob.core.windows.net
Iron Electron Configuration Class 10 at Jill Jackson blog Iron Atomic Mass In Kg Find out the molar mass of iron (fe) in different units, such as grams per mole and kilograms per mole. The atomic mass or relative isotopic mass refers to. Find the density of iron (fe) in different units, such as kg/m3, kg/l, g/ml, oz/cu in, lb/cu ft, etc. Find the molar mass of iron (fe) in grams per mole and. Iron Atomic Mass In Kg.
From www.researchgate.net
Atomic mass of the wave and particulate forms in kg/atom., Mev, C and u Iron Atomic Mass In Kg It is the most important metal and the fourth most. Compute answers using wolfram's breakthrough technology & knowledgebase, relied on by millions of students & professionals. Atomic mass of iron is 55.845 u. Learn about the chemical element iron,. The atomic mass unit [u] to kilogram [kg] conversion table. Find out the molar mass of iron (fe) in different units,. Iron Atomic Mass In Kg.
From material-properties.org
Iron Periodic Table and Atomic Properties Iron Atomic Mass In Kg The atomic mass or relative isotopic mass refers to. Find the molar mass of iron (fe) in grams per mole and learn how to calculate it from the atomic weights of iron and other elements. The atomic mass is the mass of an atom. Atomic mass of iron is 55.845 u. Iron is a shiny, greyish metal with atomic number. Iron Atomic Mass In Kg.
From brainly.in
Calculate the amount of aluminiumrequired get 1120 kg of Iron (Atomic Iron Atomic Mass In Kg Find the molar mass of iron (fe) in grams per mole and learn how to calculate it from the atomic weights of iron and other elements. Find out the molar mass of iron (fe) in different units, such as grams per mole and kilograms per mole. Iron is a shiny, greyish metal with atomic number 26 and relative atomic mass. Iron Atomic Mass In Kg.
From www.nuclear-power.com
Magnesium Atomic Number Atomic Mass Density of Magnesium Iron Atomic Mass In Kg Atomic mass of iron is 55.845 u. Instant free online tool for atomic mass unit to kilogram conversion or vice versa. Use the calculator to convert iron mass or volume. Find out the molar mass of iron (fe) in different units, such as grams per mole and kilograms per mole. It is the most important metal and the fourth most.. Iron Atomic Mass In Kg.
From www.politicalfunda.com
Atomic mass Atomic mass definition, Units, & Facts Iron Atomic Mass In Kg Learn about the chemical element iron,. Compute answers using wolfram's breakthrough technology & knowledgebase, relied on by millions of students & professionals. Atomic mass of iron is 55.845 u. Iron is a shiny, greyish metal with atomic number 26 and relative atomic mass 55.845. It is the most important metal and the fourth most. Find the molar mass of iron. Iron Atomic Mass In Kg.
From www.alamy.com
Iron chemical element. Chemical symbol with atomic number and atomic Iron Atomic Mass In Kg The atomic mass unit [u] to kilogram [kg] conversion table. Use the calculator to convert iron mass or volume. Find out the molar mass of iron (fe) in different units, such as grams per mole and kilograms per mole. Learn about the chemical element iron,. Find the molar mass of iron (fe) in grams per mole and learn how to. Iron Atomic Mass In Kg.
From klaysnckd.blob.core.windows.net
Irons Atomic Number at Jerry Hewitt blog Iron Atomic Mass In Kg Iron is a shiny, greyish metal with atomic number 26 and relative atomic mass 55.845. Find out the molar mass of iron (fe) in different units, such as grams per mole and kilograms per mole. Learn about the chemical element iron,. The atomic mass is the mass of an atom. Use the calculator to convert iron mass or volume. The. Iron Atomic Mass In Kg.
From stock.adobe.com
Vetor do Stock Iron chemical element with first ionization energy Iron Atomic Mass In Kg Compute answers using wolfram's breakthrough technology & knowledgebase, relied on by millions of students & professionals. Instant free online tool for atomic mass unit to kilogram conversion or vice versa. Atomic mass of iron is 55.845 u. The atomic mass or relative isotopic mass refers to. Find the molar mass of iron (fe) in grams per mole and learn how. Iron Atomic Mass In Kg.
From utedzz.blogspot.com
Periodic Table Iron Atomic Mass Periodic Table Timeline Iron Atomic Mass In Kg It is the most important metal and the fourth most. Find out the molar mass of iron (fe) in different units, such as grams per mole and kilograms per mole. Iron is a shiny, greyish metal with atomic number 26 and relative atomic mass 55.845. Find the molar mass of iron (fe) in grams per mole and learn how to. Iron Atomic Mass In Kg.
From reviewhomedecor.co
Periodic Table Iron Number Of Protons Review Home Decor Iron Atomic Mass In Kg Compute answers using wolfram's breakthrough technology & knowledgebase, relied on by millions of students & professionals. Find the molar mass of iron (fe) in grams per mole and learn how to calculate it from the atomic weights of iron and other elements. The atomic mass unit [u] to kilogram [kg] conversion table. Atomic mass of iron is 55.845 u. Instant. Iron Atomic Mass In Kg.
From www.nuclear-power.com
Lead Atomic Number Atomic Mass Density of Lead Iron Atomic Mass In Kg Learn about the chemical element iron,. It is the most important metal and the fourth most. Iron is a shiny, greyish metal with atomic number 26 and relative atomic mass 55.845. Atomic mass of iron is 55.845 u. The atomic mass or relative isotopic mass refers to. Find the density of iron (fe) in different units, such as kg/m3, kg/l,. Iron Atomic Mass In Kg.
From ootery.weebly.com
Atomic mass of iron ootery Iron Atomic Mass In Kg Instant free online tool for atomic mass unit to kilogram conversion or vice versa. The atomic mass unit [u] to kilogram [kg] conversion table. Find out the molar mass of iron (fe) in different units, such as grams per mole and kilograms per mole. Atomic mass of iron is 55.845 u. Find the molar mass of iron (fe) in grams. Iron Atomic Mass In Kg.
From www.dreamstime.com
Iron Chemical Element Symbol with Atomic Mass and Atomic Number in Iron Atomic Mass In Kg Use the calculator to convert iron mass or volume. Find the density of iron (fe) in different units, such as kg/m3, kg/l, g/ml, oz/cu in, lb/cu ft, etc. Atomic mass of iron is 55.845 u. Iron is a shiny, greyish metal with atomic number 26 and relative atomic mass 55.845. Compute answers using wolfram's breakthrough technology & knowledgebase, relied on. Iron Atomic Mass In Kg.
From www.chegg.com
Solved Iron has a mass of 7.87 g per cubic centimeter of Iron Atomic Mass In Kg Iron is a shiny, greyish metal with atomic number 26 and relative atomic mass 55.845. Find the molar mass of iron (fe) in grams per mole and learn how to calculate it from the atomic weights of iron and other elements. The atomic mass unit [u] to kilogram [kg] conversion table. Use the calculator to convert iron mass or volume.. Iron Atomic Mass In Kg.
From www.toppr.com
The mass number of iron nucleus is 56, the nuclear density is Iron Atomic Mass In Kg It is the most important metal and the fourth most. Find the molar mass of iron (fe) in grams per mole and learn how to calculate it from the atomic weights of iron and other elements. Compute answers using wolfram's breakthrough technology & knowledgebase, relied on by millions of students & professionals. Use the calculator to convert iron mass or. Iron Atomic Mass In Kg.
From www.chegg.com
Solved Consider the following data for iron atomic mass Iron Atomic Mass In Kg Learn about the chemical element iron,. Find the molar mass of iron (fe) in grams per mole and learn how to calculate it from the atomic weights of iron and other elements. The atomic mass is the mass of an atom. The atomic mass unit [u] to kilogram [kg] conversion table. Atomic mass of iron is 55.845 u. The atomic. Iron Atomic Mass In Kg.
From www.chegg.com
Solved Type numbers in the boxes. The iron isotopes in an Iron Atomic Mass In Kg The atomic mass unit [u] to kilogram [kg] conversion table. Find the molar mass of iron (fe) in grams per mole and learn how to calculate it from the atomic weights of iron and other elements. Instant free online tool for atomic mass unit to kilogram conversion or vice versa. Iron is a shiny, greyish metal with atomic number 26. Iron Atomic Mass In Kg.
From reviewhomedecor.co
Iron Periodic Table Number Of Neutrons Review Home Decor Iron Atomic Mass In Kg Instant free online tool for atomic mass unit to kilogram conversion or vice versa. Find out the molar mass of iron (fe) in different units, such as grams per mole and kilograms per mole. Atomic mass of iron is 55.845 u. It is the most important metal and the fourth most. The atomic mass unit [u] to kilogram [kg] conversion. Iron Atomic Mass In Kg.
From cebfubhp.blob.core.windows.net
Element Symbol For Iron Nitride at Mark Stringfellow blog Iron Atomic Mass In Kg Use the calculator to convert iron mass or volume. Find the density of iron (fe) in different units, such as kg/m3, kg/l, g/ml, oz/cu in, lb/cu ft, etc. Instant free online tool for atomic mass unit to kilogram conversion or vice versa. The atomic mass or relative isotopic mass refers to. Atomic mass of iron is 55.845 u. It is. Iron Atomic Mass In Kg.
From guidedehartfederalist.z21.web.core.windows.net
Iron Electron Dot Diagram Iron Atomic Mass In Kg Use the calculator to convert iron mass or volume. Learn about the chemical element iron,. The atomic mass unit [u] to kilogram [kg] conversion table. Find out the molar mass of iron (fe) in different units, such as grams per mole and kilograms per mole. Iron is a shiny, greyish metal with atomic number 26 and relative atomic mass 55.845.. Iron Atomic Mass In Kg.