What Reading Materials Do You Find Difficult To Understand . Stimulate interest in the topic 4. It is important at university that you read material critically and analyse what you are reading in an academic way. Prime yourself with background knowledge. Start by selecting excerpts from different texts with which you are unfamiliar—text books, essays, novels, news reports, or any kind of text you feel you particularly struggle to understand—and. Let’s take a look at a range of reading strategies to help you become an active academic reader so that. Offer a choice of reading materials 2. When you’re faced with reading material that seems above your level of understanding—whether it’s a couple of pages,. Eight strategies for reading difficult material. Share nonfiction text characteristics 3. Priming is a strategy that involves getting a brief overview of the topic you’ll be reading about before you read it, so that what you read has a place to “stick” in your.
from www.wikihow.com
When you’re faced with reading material that seems above your level of understanding—whether it’s a couple of pages,. Stimulate interest in the topic 4. Share nonfiction text characteristics 3. Priming is a strategy that involves getting a brief overview of the topic you’ll be reading about before you read it, so that what you read has a place to “stick” in your. Start by selecting excerpts from different texts with which you are unfamiliar—text books, essays, novels, news reports, or any kind of text you feel you particularly struggle to understand—and. Prime yourself with background knowledge. It is important at university that you read material critically and analyse what you are reading in an academic way. Eight strategies for reading difficult material. Let’s take a look at a range of reading strategies to help you become an active academic reader so that. Offer a choice of reading materials 2.
How to Tackle Difficult Reading Material 9 Steps (with Pictures)
What Reading Materials Do You Find Difficult To Understand Offer a choice of reading materials 2. Start by selecting excerpts from different texts with which you are unfamiliar—text books, essays, novels, news reports, or any kind of text you feel you particularly struggle to understand—and. Eight strategies for reading difficult material. Let’s take a look at a range of reading strategies to help you become an active academic reader so that. Prime yourself with background knowledge. When you’re faced with reading material that seems above your level of understanding—whether it’s a couple of pages,. Share nonfiction text characteristics 3. It is important at university that you read material critically and analyse what you are reading in an academic way. Priming is a strategy that involves getting a brief overview of the topic you’ll be reading about before you read it, so that what you read has a place to “stick” in your. Stimulate interest in the topic 4. Offer a choice of reading materials 2.
From 101activity.com
Reading Strategies for Kids to Print 101 Activity What Reading Materials Do You Find Difficult To Understand Let’s take a look at a range of reading strategies to help you become an active academic reader so that. It is important at university that you read material critically and analyse what you are reading in an academic way. Priming is a strategy that involves getting a brief overview of the topic you’ll be reading about before you read. What Reading Materials Do You Find Difficult To Understand.
From www.scribd.com
Strategies for Effectively Reading Difficult Material PDF Cognition What Reading Materials Do You Find Difficult To Understand Start by selecting excerpts from different texts with which you are unfamiliar—text books, essays, novels, news reports, or any kind of text you feel you particularly struggle to understand—and. Let’s take a look at a range of reading strategies to help you become an active academic reader so that. Prime yourself with background knowledge. It is important at university that. What Reading Materials Do You Find Difficult To Understand.
From www.scribd.com
Metacognitive Reading Report No. 8 A. DIFFICULT CONCEPTS (What What Reading Materials Do You Find Difficult To Understand When you’re faced with reading material that seems above your level of understanding—whether it’s a couple of pages,. Prime yourself with background knowledge. It is important at university that you read material critically and analyse what you are reading in an academic way. Stimulate interest in the topic 4. Let’s take a look at a range of reading strategies to. What Reading Materials Do You Find Difficult To Understand.
From www.numerade.com
SOLVED In the previous part of the module, you have read the poem What Reading Materials Do You Find Difficult To Understand Offer a choice of reading materials 2. Eight strategies for reading difficult material. Let’s take a look at a range of reading strategies to help you become an active academic reader so that. Start by selecting excerpts from different texts with which you are unfamiliar—text books, essays, novels, news reports, or any kind of text you feel you particularly struggle. What Reading Materials Do You Find Difficult To Understand.
From www.youtube.com
Reading Difficult Material YouTube What Reading Materials Do You Find Difficult To Understand Start by selecting excerpts from different texts with which you are unfamiliar—text books, essays, novels, news reports, or any kind of text you feel you particularly struggle to understand—and. Let’s take a look at a range of reading strategies to help you become an active academic reader so that. It is important at university that you read material critically and. What Reading Materials Do You Find Difficult To Understand.
From www.studocu.com
Studyreadingskills reading materials 5 minute self test What do you What Reading Materials Do You Find Difficult To Understand Prime yourself with background knowledge. When you’re faced with reading material that seems above your level of understanding—whether it’s a couple of pages,. Share nonfiction text characteristics 3. Let’s take a look at a range of reading strategies to help you become an active academic reader so that. Eight strategies for reading difficult material. Stimulate interest in the topic 4.. What Reading Materials Do You Find Difficult To Understand.
From www.gurotayo.com
Reading Comprehension Materials for GRADE 4 (Free Download) Guro Tayo What Reading Materials Do You Find Difficult To Understand Let’s take a look at a range of reading strategies to help you become an active academic reader so that. Start by selecting excerpts from different texts with which you are unfamiliar—text books, essays, novels, news reports, or any kind of text you feel you particularly struggle to understand—and. Priming is a strategy that involves getting a brief overview of. What Reading Materials Do You Find Difficult To Understand.
From www.pinterest.com
strategies to read new/difficult words Read news, Word families What Reading Materials Do You Find Difficult To Understand Start by selecting excerpts from different texts with which you are unfamiliar—text books, essays, novels, news reports, or any kind of text you feel you particularly struggle to understand—and. Stimulate interest in the topic 4. When you’re faced with reading material that seems above your level of understanding—whether it’s a couple of pages,. Eight strategies for reading difficult material. Let’s. What Reading Materials Do You Find Difficult To Understand.
From funteacherfiles.com
Reading Materials with Comprehension Questions Fun Teacher Files What Reading Materials Do You Find Difficult To Understand Let’s take a look at a range of reading strategies to help you become an active academic reader so that. It is important at university that you read material critically and analyse what you are reading in an academic way. Share nonfiction text characteristics 3. Priming is a strategy that involves getting a brief overview of the topic you’ll be. What Reading Materials Do You Find Difficult To Understand.
From www.scribd.com
A. DIFFICULT CONCEPTS (What Concepts Did You Find Difficult To What Reading Materials Do You Find Difficult To Understand Offer a choice of reading materials 2. Share nonfiction text characteristics 3. Eight strategies for reading difficult material. It is important at university that you read material critically and analyse what you are reading in an academic way. Let’s take a look at a range of reading strategies to help you become an active academic reader so that. Start by. What Reading Materials Do You Find Difficult To Understand.
From focusflorida.com
Tackling Reading Difficulties How Our Fort Myers Occupational What Reading Materials Do You Find Difficult To Understand Stimulate interest in the topic 4. Eight strategies for reading difficult material. Let’s take a look at a range of reading strategies to help you become an active academic reader so that. Priming is a strategy that involves getting a brief overview of the topic you’ll be reading about before you read it, so that what you read has a. What Reading Materials Do You Find Difficult To Understand.
From mavink.com
Printable English Reading Materials What Reading Materials Do You Find Difficult To Understand Priming is a strategy that involves getting a brief overview of the topic you’ll be reading about before you read it, so that what you read has a place to “stick” in your. Prime yourself with background knowledge. Stimulate interest in the topic 4. Offer a choice of reading materials 2. Eight strategies for reading difficult material. It is important. What Reading Materials Do You Find Difficult To Understand.
From www.wikihow.com
How to Tackle Difficult Reading Material 9 Steps (with Pictures) What Reading Materials Do You Find Difficult To Understand Offer a choice of reading materials 2. Let’s take a look at a range of reading strategies to help you become an active academic reader so that. Eight strategies for reading difficult material. Prime yourself with background knowledge. Share nonfiction text characteristics 3. It is important at university that you read material critically and analyse what you are reading in. What Reading Materials Do You Find Difficult To Understand.
From mungfali.com
10 Difficult Words What Reading Materials Do You Find Difficult To Understand Prime yourself with background knowledge. Let’s take a look at a range of reading strategies to help you become an active academic reader so that. It is important at university that you read material critically and analyse what you are reading in an academic way. When you’re faced with reading material that seems above your level of understanding—whether it’s a. What Reading Materials Do You Find Difficult To Understand.
From funteacherfiles.com
Reading Materials with Comprehension Questions Fun Teacher Files What Reading Materials Do You Find Difficult To Understand Prime yourself with background knowledge. Eight strategies for reading difficult material. When you’re faced with reading material that seems above your level of understanding—whether it’s a couple of pages,. Stimulate interest in the topic 4. It is important at university that you read material critically and analyse what you are reading in an academic way. Priming is a strategy that. What Reading Materials Do You Find Difficult To Understand.
From www.wikihow.com
How to Tackle Difficult Reading Material 9 Steps (with Pictures) What Reading Materials Do You Find Difficult To Understand Let’s take a look at a range of reading strategies to help you become an active academic reader so that. Prime yourself with background knowledge. When you’re faced with reading material that seems above your level of understanding—whether it’s a couple of pages,. Eight strategies for reading difficult material. It is important at university that you read material critically and. What Reading Materials Do You Find Difficult To Understand.
From www.scribd.com
(Title of The Article/Topic) A. DIFFICULT CONCEPTS (What Concepts Did What Reading Materials Do You Find Difficult To Understand When you’re faced with reading material that seems above your level of understanding—whether it’s a couple of pages,. Offer a choice of reading materials 2. Eight strategies for reading difficult material. Prime yourself with background knowledge. Stimulate interest in the topic 4. Let’s take a look at a range of reading strategies to help you become an active academic reader. What Reading Materials Do You Find Difficult To Understand.
From trentdejong.com
Reading Difficult Material What Reading Materials Do You Find Difficult To Understand Priming is a strategy that involves getting a brief overview of the topic you’ll be reading about before you read it, so that what you read has a place to “stick” in your. Eight strategies for reading difficult material. When you’re faced with reading material that seems above your level of understanding—whether it’s a couple of pages,. Start by selecting. What Reading Materials Do You Find Difficult To Understand.
From hakukumo.blogspot.com
Reading Materials For Beginners English Emanuel Hill's Reading Worksheets What Reading Materials Do You Find Difficult To Understand Prime yourself with background knowledge. It is important at university that you read material critically and analyse what you are reading in an academic way. Priming is a strategy that involves getting a brief overview of the topic you’ll be reading about before you read it, so that what you read has a place to “stick” in your. Share nonfiction. What Reading Materials Do You Find Difficult To Understand.
From www.studocu.com
MRR2 MRR2 What concepts did you find difficult to understand? The What Reading Materials Do You Find Difficult To Understand Share nonfiction text characteristics 3. Stimulate interest in the topic 4. Prime yourself with background knowledge. Priming is a strategy that involves getting a brief overview of the topic you’ll be reading about before you read it, so that what you read has a place to “stick” in your. When you’re faced with reading material that seems above your level. What Reading Materials Do You Find Difficult To Understand.
From www.scribd.com
Metacognitive Reading Report No. 1 A. DIFFICULT CONCEPTS (What What Reading Materials Do You Find Difficult To Understand Priming is a strategy that involves getting a brief overview of the topic you’ll be reading about before you read it, so that what you read has a place to “stick” in your. Offer a choice of reading materials 2. When you’re faced with reading material that seems above your level of understanding—whether it’s a couple of pages,. Let’s take. What Reading Materials Do You Find Difficult To Understand.
From www.wikihow.com
How to Tackle Difficult Reading Material 9 Steps (with Pictures) What Reading Materials Do You Find Difficult To Understand When you’re faced with reading material that seems above your level of understanding—whether it’s a couple of pages,. Priming is a strategy that involves getting a brief overview of the topic you’ll be reading about before you read it, so that what you read has a place to “stick” in your. Prime yourself with background knowledge. Eight strategies for reading. What Reading Materials Do You Find Difficult To Understand.
From autismclassroomresources.com
How To Build Reading Comprehension With an Autism Life Skills Focus What Reading Materials Do You Find Difficult To Understand Share nonfiction text characteristics 3. Priming is a strategy that involves getting a brief overview of the topic you’ll be reading about before you read it, so that what you read has a place to “stick” in your. Stimulate interest in the topic 4. Offer a choice of reading materials 2. Prime yourself with background knowledge. When you’re faced with. What Reading Materials Do You Find Difficult To Understand.
From guroph.com
Let's Read English Reading Materials What Reading Materials Do You Find Difficult To Understand Stimulate interest in the topic 4. Offer a choice of reading materials 2. When you’re faced with reading material that seems above your level of understanding—whether it’s a couple of pages,. Prime yourself with background knowledge. Share nonfiction text characteristics 3. Priming is a strategy that involves getting a brief overview of the topic you’ll be reading about before you. What Reading Materials Do You Find Difficult To Understand.
From www.wikihow.com
How to Tackle Difficult Reading Material 9 Steps (with Pictures) What Reading Materials Do You Find Difficult To Understand Stimulate interest in the topic 4. Eight strategies for reading difficult material. Share nonfiction text characteristics 3. Prime yourself with background knowledge. Offer a choice of reading materials 2. When you’re faced with reading material that seems above your level of understanding—whether it’s a couple of pages,. Let’s take a look at a range of reading strategies to help you. What Reading Materials Do You Find Difficult To Understand.
From www.readabilitytutor.com
How To Help A Child With Reading Difficulties Readability What Reading Materials Do You Find Difficult To Understand When you’re faced with reading material that seems above your level of understanding—whether it’s a couple of pages,. Eight strategies for reading difficult material. Stimulate interest in the topic 4. Priming is a strategy that involves getting a brief overview of the topic you’ll be reading about before you read it, so that what you read has a place to. What Reading Materials Do You Find Difficult To Understand.
From www.studypool.com
SOLUTION Study helpsheet reading skills Studypool What Reading Materials Do You Find Difficult To Understand Prime yourself with background knowledge. Eight strategies for reading difficult material. Stimulate interest in the topic 4. Share nonfiction text characteristics 3. Let’s take a look at a range of reading strategies to help you become an active academic reader so that. Start by selecting excerpts from different texts with which you are unfamiliar—text books, essays, novels, news reports, or. What Reading Materials Do You Find Difficult To Understand.
From www.scribd.com
1c. Reading Difficult Material UNSW Current Students PDF What Reading Materials Do You Find Difficult To Understand It is important at university that you read material critically and analyse what you are reading in an academic way. Stimulate interest in the topic 4. Eight strategies for reading difficult material. Priming is a strategy that involves getting a brief overview of the topic you’ll be reading about before you read it, so that what you read has a. What Reading Materials Do You Find Difficult To Understand.
From mavink.com
Printable English Reading Materials What Reading Materials Do You Find Difficult To Understand Share nonfiction text characteristics 3. Stimulate interest in the topic 4. It is important at university that you read material critically and analyse what you are reading in an academic way. Let’s take a look at a range of reading strategies to help you become an active academic reader so that. When you’re faced with reading material that seems above. What Reading Materials Do You Find Difficult To Understand.
From funteacherfiles.com
English Reading Materials Fun Teacher Files What Reading Materials Do You Find Difficult To Understand When you’re faced with reading material that seems above your level of understanding—whether it’s a couple of pages,. It is important at university that you read material critically and analyse what you are reading in an academic way. Start by selecting excerpts from different texts with which you are unfamiliar—text books, essays, novels, news reports, or any kind of text. What Reading Materials Do You Find Difficult To Understand.
From learningzoneeztreyar2.z13.web.core.windows.net
Grade 3 Reading Materials Pdf What Reading Materials Do You Find Difficult To Understand Start by selecting excerpts from different texts with which you are unfamiliar—text books, essays, novels, news reports, or any kind of text you feel you particularly struggle to understand—and. Priming is a strategy that involves getting a brief overview of the topic you’ll be reading about before you read it, so that what you read has a place to “stick”. What Reading Materials Do You Find Difficult To Understand.
From studylib.net
How to Read and Study Difficult Textbook Material What Reading Materials Do You Find Difficult To Understand Share nonfiction text characteristics 3. Stimulate interest in the topic 4. When you’re faced with reading material that seems above your level of understanding—whether it’s a couple of pages,. Priming is a strategy that involves getting a brief overview of the topic you’ll be reading about before you read it, so that what you read has a place to “stick”. What Reading Materials Do You Find Difficult To Understand.
From www.scribd.com
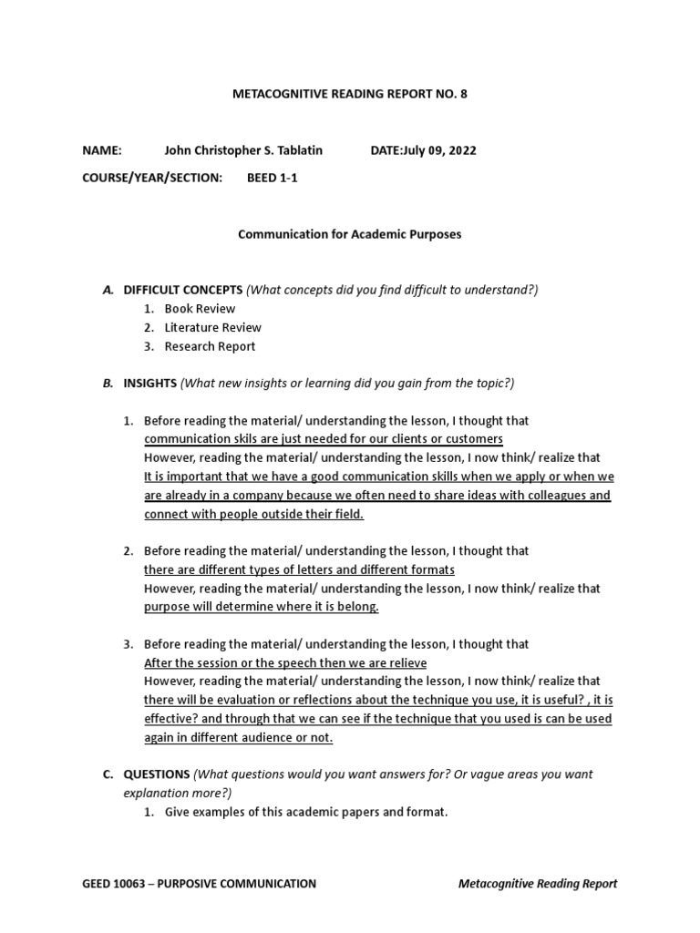
Metacognitive Reading Report No. 8 A. DIFFICULT CONCEPTS (What What Reading Materials Do You Find Difficult To Understand Offer a choice of reading materials 2. Start by selecting excerpts from different texts with which you are unfamiliar—text books, essays, novels, news reports, or any kind of text you feel you particularly struggle to understand—and. When you’re faced with reading material that seems above your level of understanding—whether it’s a couple of pages,. Priming is a strategy that involves. What Reading Materials Do You Find Difficult To Understand.
From www.youtube.com
English Phrases Find Something Difficult Explanation and Examples What Reading Materials Do You Find Difficult To Understand It is important at university that you read material critically and analyse what you are reading in an academic way. Let’s take a look at a range of reading strategies to help you become an active academic reader so that. Share nonfiction text characteristics 3. Prime yourself with background knowledge. Stimulate interest in the topic 4. Priming is a strategy. What Reading Materials Do You Find Difficult To Understand.
From www.scribd.com
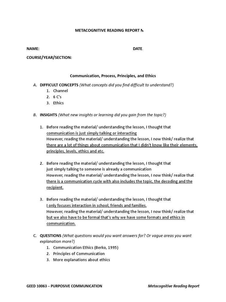
Metacognitive Reading Report No. 7 A. DIFFICULT CONCEPTS (What What Reading Materials Do You Find Difficult To Understand Let’s take a look at a range of reading strategies to help you become an active academic reader so that. Stimulate interest in the topic 4. Offer a choice of reading materials 2. Start by selecting excerpts from different texts with which you are unfamiliar—text books, essays, novels, news reports, or any kind of text you feel you particularly struggle. What Reading Materials Do You Find Difficult To Understand.