A Box With A Mass Of 2 Kg Accelerates . What is the force required to accelerate an object with a mass of 20 kg from stationary to 3 m/s 2? In the context of our example, the box has a mass (\(m\)) of 2 \(\mathrm{kg}\), and we've calculated the acceleration (\(a\)) to be 8. A box with a mass of 2 kg accelerates in a straight line from 4 m/s to 8 m/s due to the application of a force whose duration is 0.5 s. F = m * a. F = 20 kg * 3 m/s 2. A box with a mass of 2 kg accelerates in a straight line from 4 m/s to 8 m/s due to the application of a force whose duration is 0.5 s. A box with a mass of 2 kg accelerates in a straight line from 4 \(\mathrm{m} / \mathrm{s}\) to \(8 \mathrm{~m} / \mathrm{s}\) due to the. Newtons are a derived unit,. A box with a mass of \(2 \mathrm{kg}\) accelerates in a straight line from \(4 \mathrm{m} / \mathrm{s}\) to \(8 \mathrm{m} /. A box with a mass of 2 kg accelerates in a straight line from 4 m/s to 8 m/s due to the application of a force whose duration is 0.5 s.
from www.numerade.com
A box with a mass of 2 kg accelerates in a straight line from 4 m/s to 8 m/s due to the application of a force whose duration is 0.5 s. A box with a mass of 2 kg accelerates in a straight line from 4 \(\mathrm{m} / \mathrm{s}\) to \(8 \mathrm{~m} / \mathrm{s}\) due to the. In the context of our example, the box has a mass (\(m\)) of 2 \(\mathrm{kg}\), and we've calculated the acceleration (\(a\)) to be 8. F = m * a. A box with a mass of 2 kg accelerates in a straight line from 4 m/s to 8 m/s due to the application of a force whose duration is 0.5 s. What is the force required to accelerate an object with a mass of 20 kg from stationary to 3 m/s 2? Newtons are a derived unit,. F = 20 kg * 3 m/s 2. A box with a mass of \(2 \mathrm{kg}\) accelerates in a straight line from \(4 \mathrm{m} / \mathrm{s}\) to \(8 \mathrm{m} /. A box with a mass of 2 kg accelerates in a straight line from 4 m/s to 8 m/s due to the application of a force whose duration is 0.5 s.
SOLVEDBlock A has a mass of 2 kg and slides into an open ended box B
A Box With A Mass Of 2 Kg Accelerates F = m * a. A box with a mass of 2 kg accelerates in a straight line from 4 m/s to 8 m/s due to the application of a force whose duration is 0.5 s. F = m * a. F = 20 kg * 3 m/s 2. In the context of our example, the box has a mass (\(m\)) of 2 \(\mathrm{kg}\), and we've calculated the acceleration (\(a\)) to be 8. A box with a mass of 2 kg accelerates in a straight line from 4 m/s to 8 m/s due to the application of a force whose duration is 0.5 s. What is the force required to accelerate an object with a mass of 20 kg from stationary to 3 m/s 2? A box with a mass of 2 kg accelerates in a straight line from 4 \(\mathrm{m} / \mathrm{s}\) to \(8 \mathrm{~m} / \mathrm{s}\) due to the. Newtons are a derived unit,. A box with a mass of \(2 \mathrm{kg}\) accelerates in a straight line from \(4 \mathrm{m} / \mathrm{s}\) to \(8 \mathrm{m} /. A box with a mass of 2 kg accelerates in a straight line from 4 m/s to 8 m/s due to the application of a force whose duration is 0.5 s.
From www.youtube.com
The figure shows a box of mass m2 on a frictionless plane inclined at A Box With A Mass Of 2 Kg Accelerates What is the force required to accelerate an object with a mass of 20 kg from stationary to 3 m/s 2? F = 20 kg * 3 m/s 2. In the context of our example, the box has a mass (\(m\)) of 2 \(\mathrm{kg}\), and we've calculated the acceleration (\(a\)) to be 8. A box with a mass of 2. A Box With A Mass Of 2 Kg Accelerates.
From www.coursehero.com
[Solved] 1. A 200 N net force acts on a 50 kg box. What is the A Box With A Mass Of 2 Kg Accelerates A box with a mass of \(2 \mathrm{kg}\) accelerates in a straight line from \(4 \mathrm{m} / \mathrm{s}\) to \(8 \mathrm{m} /. What is the force required to accelerate an object with a mass of 20 kg from stationary to 3 m/s 2? A box with a mass of 2 kg accelerates in a straight line from 4 m/s to. A Box With A Mass Of 2 Kg Accelerates.
From www.bartleby.com
Answered Dox with a mass of 2 kg accelerates in… bartleby A Box With A Mass Of 2 Kg Accelerates A box with a mass of 2 kg accelerates in a straight line from 4 m/s to 8 m/s due to the application of a force whose duration is 0.5 s. F = 20 kg * 3 m/s 2. Newtons are a derived unit,. In the context of our example, the box has a mass (\(m\)) of 2 \(\mathrm{kg}\), and. A Box With A Mass Of 2 Kg Accelerates.
From www.doubtnut.com
Two blocks of masses 1 kg and 2 kg are placed in contact on a smooth h A Box With A Mass Of 2 Kg Accelerates A box with a mass of \(2 \mathrm{kg}\) accelerates in a straight line from \(4 \mathrm{m} / \mathrm{s}\) to \(8 \mathrm{m} /. F = m * a. In the context of our example, the box has a mass (\(m\)) of 2 \(\mathrm{kg}\), and we've calculated the acceleration (\(a\)) to be 8. A box with a mass of 2 kg accelerates. A Box With A Mass Of 2 Kg Accelerates.
From brainly.com
A box with a mass of 2kg slides across a surface at the velocity of 10 A Box With A Mass Of 2 Kg Accelerates F = 20 kg * 3 m/s 2. A box with a mass of 2 kg accelerates in a straight line from 4 m/s to 8 m/s due to the application of a force whose duration is 0.5 s. What is the force required to accelerate an object with a mass of 20 kg from stationary to 3 m/s 2?. A Box With A Mass Of 2 Kg Accelerates.
From askfilo.com
35. A body of mass 2 kg accelerates down a smooth inclined plane making a.. A Box With A Mass Of 2 Kg Accelerates Newtons are a derived unit,. A box with a mass of 2 kg accelerates in a straight line from 4 m/s to 8 m/s due to the application of a force whose duration is 0.5 s. A box with a mass of 2 kg accelerates in a straight line from 4 m/s to 8 m/s due to the application of. A Box With A Mass Of 2 Kg Accelerates.
From www.chegg.com
Solved Figure 1 shows Block A with a mass of 2 kg slides A Box With A Mass Of 2 Kg Accelerates A box with a mass of 2 kg accelerates in a straight line from 4 m/s to 8 m/s due to the application of a force whose duration is 0.5 s. What is the force required to accelerate an object with a mass of 20 kg from stationary to 3 m/s 2? A box with a mass of \(2 \mathrm{kg}\). A Box With A Mass Of 2 Kg Accelerates.
From www.chegg.com
Solved Question 4 A box with a mass of 1000 kg is pulled A Box With A Mass Of 2 Kg Accelerates A box with a mass of 2 kg accelerates in a straight line from 4 \(\mathrm{m} / \mathrm{s}\) to \(8 \mathrm{~m} / \mathrm{s}\) due to the. Newtons are a derived unit,. A box with a mass of \(2 \mathrm{kg}\) accelerates in a straight line from \(4 \mathrm{m} / \mathrm{s}\) to \(8 \mathrm{m} /. In the context of our example, the. A Box With A Mass Of 2 Kg Accelerates.
From www.chegg.com
Solved The figure below shows a box with a mass of m=4.60 kg A Box With A Mass Of 2 Kg Accelerates In the context of our example, the box has a mass (\(m\)) of 2 \(\mathrm{kg}\), and we've calculated the acceleration (\(a\)) to be 8. F = m * a. A box with a mass of 2 kg accelerates in a straight line from 4 m/s to 8 m/s due to the application of a force whose duration is 0.5 s.. A Box With A Mass Of 2 Kg Accelerates.
From www.numerade.com
SOLVEDBlock A has a mass of 2 kg and slides into an open ended box B A Box With A Mass Of 2 Kg Accelerates A box with a mass of 2 kg accelerates in a straight line from 4 \(\mathrm{m} / \mathrm{s}\) to \(8 \mathrm{~m} / \mathrm{s}\) due to the. What is the force required to accelerate an object with a mass of 20 kg from stationary to 3 m/s 2? A box with a mass of 2 kg accelerates in a straight line. A Box With A Mass Of 2 Kg Accelerates.
From brainly.in
An object accelerates 3.0 m / s2 when a force of 6.0 newtons is applied A Box With A Mass Of 2 Kg Accelerates What is the force required to accelerate an object with a mass of 20 kg from stationary to 3 m/s 2? A box with a mass of 2 kg accelerates in a straight line from 4 m/s to 8 m/s due to the application of a force whose duration is 0.5 s. F = m * a. A box with. A Box With A Mass Of 2 Kg Accelerates.
From slideplayer.com
Dynamics III Friction and Inclines. ppt download A Box With A Mass Of 2 Kg Accelerates A box with a mass of 2 kg accelerates in a straight line from 4 m/s to 8 m/s due to the application of a force whose duration is 0.5 s. In the context of our example, the box has a mass (\(m\)) of 2 \(\mathrm{kg}\), and we've calculated the acceleration (\(a\)) to be 8. Newtons are a derived unit,.. A Box With A Mass Of 2 Kg Accelerates.
From www.numerade.com
SOLVEDA particle with a charge of 1.5 μC and a mass of 2.5 ×10^6 kg A Box With A Mass Of 2 Kg Accelerates F = m * a. A box with a mass of 2 kg accelerates in a straight line from 4 \(\mathrm{m} / \mathrm{s}\) to \(8 \mathrm{~m} / \mathrm{s}\) due to the. A box with a mass of 2 kg accelerates in a straight line from 4 m/s to 8 m/s due to the application of a force whose duration is. A Box With A Mass Of 2 Kg Accelerates.
From www.chegg.com
Solved A box with a mass of 2 kg only has two forces acting A Box With A Mass Of 2 Kg Accelerates F = m * a. F = 20 kg * 3 m/s 2. A box with a mass of 2 kg accelerates in a straight line from 4 \(\mathrm{m} / \mathrm{s}\) to \(8 \mathrm{~m} / \mathrm{s}\) due to the. What is the force required to accelerate an object with a mass of 20 kg from stationary to 3 m/s 2?. A Box With A Mass Of 2 Kg Accelerates.
From socratic.org
A box with a mass of 2 kg and initial speed of 3 m/s is moving up a A Box With A Mass Of 2 Kg Accelerates Newtons are a derived unit,. What is the force required to accelerate an object with a mass of 20 kg from stationary to 3 m/s 2? F = 20 kg * 3 m/s 2. A box with a mass of 2 kg accelerates in a straight line from 4 m/s to 8 m/s due to the application of a force. A Box With A Mass Of 2 Kg Accelerates.
From www.chegg.com
Solved Disk A has a mass of 2 kg and slides on the smooth A Box With A Mass Of 2 Kg Accelerates A box with a mass of 2 kg accelerates in a straight line from 4 \(\mathrm{m} / \mathrm{s}\) to \(8 \mathrm{~m} / \mathrm{s}\) due to the. F = m * a. F = 20 kg * 3 m/s 2. What is the force required to accelerate an object with a mass of 20 kg from stationary to 3 m/s 2?. A Box With A Mass Of 2 Kg Accelerates.
From www.toppr.com
Displacement of a particle of mass 2 kg moving in a straight line A Box With A Mass Of 2 Kg Accelerates In the context of our example, the box has a mass (\(m\)) of 2 \(\mathrm{kg}\), and we've calculated the acceleration (\(a\)) to be 8. A box with a mass of 2 kg accelerates in a straight line from 4 \(\mathrm{m} / \mathrm{s}\) to \(8 \mathrm{~m} / \mathrm{s}\) due to the. A box with a mass of 2 kg accelerates in. A Box With A Mass Of 2 Kg Accelerates.
From www.chegg.com
Solved Disk A has a mass of 2 kg and is sliding forward on A Box With A Mass Of 2 Kg Accelerates In the context of our example, the box has a mass (\(m\)) of 2 \(\mathrm{kg}\), and we've calculated the acceleration (\(a\)) to be 8. F = m * a. A box with a mass of 2 kg accelerates in a straight line from 4 m/s to 8 m/s due to the application of a force whose duration is 0.5 s.. A Box With A Mass Of 2 Kg Accelerates.
From www.numerade.com
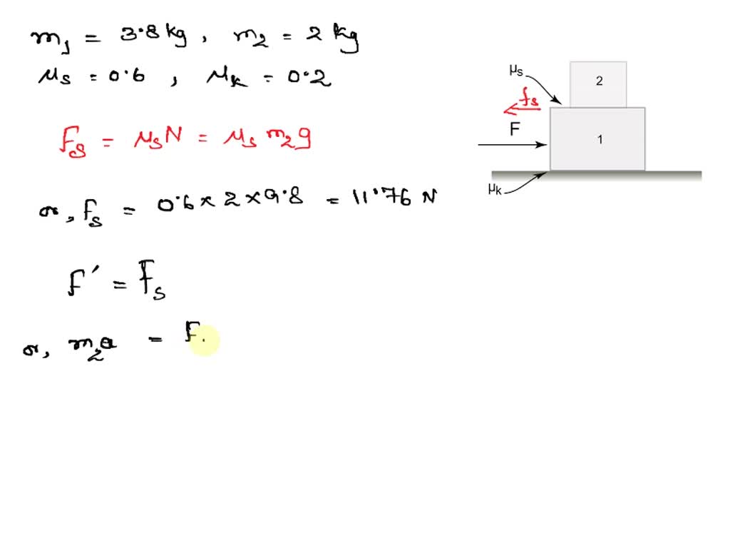
SOLVED A box with a mass of 2.2 kg sits on top of another box with a A Box With A Mass Of 2 Kg Accelerates A box with a mass of 2 kg accelerates in a straight line from 4 \(\mathrm{m} / \mathrm{s}\) to \(8 \mathrm{~m} / \mathrm{s}\) due to the. Newtons are a derived unit,. In the context of our example, the box has a mass (\(m\)) of 2 \(\mathrm{kg}\), and we've calculated the acceleration (\(a\)) to be 8. A box with a mass. A Box With A Mass Of 2 Kg Accelerates.
From www.chegg.com
Solved A box with a mass of 2 kg only has four forces acting A Box With A Mass Of 2 Kg Accelerates What is the force required to accelerate an object with a mass of 20 kg from stationary to 3 m/s 2? Newtons are a derived unit,. A box with a mass of 2 kg accelerates in a straight line from 4 \(\mathrm{m} / \mathrm{s}\) to \(8 \mathrm{~m} / \mathrm{s}\) due to the. A box with a mass of \(2 \mathrm{kg}\). A Box With A Mass Of 2 Kg Accelerates.
From www.youtube.com
An initially stationary 2 kg object accelerates horizontally YouTube A Box With A Mass Of 2 Kg Accelerates A box with a mass of 2 kg accelerates in a straight line from 4 m/s to 8 m/s due to the application of a force whose duration is 0.5 s. A box with a mass of 2 kg accelerates in a straight line from 4 m/s to 8 m/s due to the application of a force whose duration is. A Box With A Mass Of 2 Kg Accelerates.
From www.studyxapp.com
question 10 in the figure the block of mass 200 kg accelerates down the A Box With A Mass Of 2 Kg Accelerates F = 20 kg * 3 m/s 2. In the context of our example, the box has a mass (\(m\)) of 2 \(\mathrm{kg}\), and we've calculated the acceleration (\(a\)) to be 8. A box with a mass of \(2 \mathrm{kg}\) accelerates in a straight line from \(4 \mathrm{m} / \mathrm{s}\) to \(8 \mathrm{m} /. A box with a mass of. A Box With A Mass Of 2 Kg Accelerates.
From www.youtube.com
In the figure a crate of mass m YouTube A Box With A Mass Of 2 Kg Accelerates Newtons are a derived unit,. A box with a mass of 2 kg accelerates in a straight line from 4 m/s to 8 m/s due to the application of a force whose duration is 0.5 s. A box with a mass of \(2 \mathrm{kg}\) accelerates in a straight line from \(4 \mathrm{m} / \mathrm{s}\) to \(8 \mathrm{m} /. A box. A Box With A Mass Of 2 Kg Accelerates.
From www.chegg.com
Solved Consider the diagram below of a box with a mass 8.00 A Box With A Mass Of 2 Kg Accelerates A box with a mass of 2 kg accelerates in a straight line from 4 m/s to 8 m/s due to the application of a force whose duration is 0.5 s. A box with a mass of \(2 \mathrm{kg}\) accelerates in a straight line from \(4 \mathrm{m} / \mathrm{s}\) to \(8 \mathrm{m} /. Newtons are a derived unit,. In the. A Box With A Mass Of 2 Kg Accelerates.
From kunduz.com
[ANSWERED] 4 A box of mass 20 kg is connected to mass of 2 kg h A Box With A Mass Of 2 Kg Accelerates A box with a mass of 2 kg accelerates in a straight line from 4 \(\mathrm{m} / \mathrm{s}\) to \(8 \mathrm{~m} / \mathrm{s}\) due to the. A box with a mass of 2 kg accelerates in a straight line from 4 m/s to 8 m/s due to the application of a force whose duration is 0.5 s. F = 20. A Box With A Mass Of 2 Kg Accelerates.
From www.youtube.com
Physics Help Find the acceleration and tension on the cable / the A Box With A Mass Of 2 Kg Accelerates A box with a mass of 2 kg accelerates in a straight line from 4 m/s to 8 m/s due to the application of a force whose duration is 0.5 s. F = m * a. A box with a mass of 2 kg accelerates in a straight line from 4 m/s to 8 m/s due to the application of. A Box With A Mass Of 2 Kg Accelerates.
From www.studocu.com
Test 2 Open Response (20 points. Show all work for full credit.) A A Box With A Mass Of 2 Kg Accelerates A box with a mass of 2 kg accelerates in a straight line from 4 m/s to 8 m/s due to the application of a force whose duration is 0.5 s. What is the force required to accelerate an object with a mass of 20 kg from stationary to 3 m/s 2? A box with a mass of \(2 \mathrm{kg}\). A Box With A Mass Of 2 Kg Accelerates.
From www.youtube.com
A body of mass \( m \) accelerates uniformly from rest to velocity A Box With A Mass Of 2 Kg Accelerates A box with a mass of 2 kg accelerates in a straight line from 4 m/s to 8 m/s due to the application of a force whose duration is 0.5 s. Newtons are a derived unit,. F = 20 kg * 3 m/s 2. In the context of our example, the box has a mass (\(m\)) of 2 \(\mathrm{kg}\), and. A Box With A Mass Of 2 Kg Accelerates.
From www.slideserve.com
PPT Chapter 5 PowerPoint Presentation, free download ID3916686 A Box With A Mass Of 2 Kg Accelerates A box with a mass of 2 kg accelerates in a straight line from 4 m/s to 8 m/s due to the application of a force whose duration is 0.5 s. Newtons are a derived unit,. A box with a mass of \(2 \mathrm{kg}\) accelerates in a straight line from \(4 \mathrm{m} / \mathrm{s}\) to \(8 \mathrm{m} /. A box. A Box With A Mass Of 2 Kg Accelerates.
From www.chegg.com
Solved Block A has a mass of 2 kg and slides into a open A Box With A Mass Of 2 Kg Accelerates F = 20 kg * 3 m/s 2. A box with a mass of 2 kg accelerates in a straight line from 4 m/s to 8 m/s due to the application of a force whose duration is 0.5 s. A box with a mass of 2 kg accelerates in a straight line from 4 m/s to 8 m/s due to. A Box With A Mass Of 2 Kg Accelerates.
From www.chegg.com
Solved Part 2 Problems Problem 1 A box of mass m 2.00 kg A Box With A Mass Of 2 Kg Accelerates A box with a mass of 2 kg accelerates in a straight line from 4 m/s to 8 m/s due to the application of a force whose duration is 0.5 s. A box with a mass of \(2 \mathrm{kg}\) accelerates in a straight line from \(4 \mathrm{m} / \mathrm{s}\) to \(8 \mathrm{m} /. A box with a mass of 2. A Box With A Mass Of 2 Kg Accelerates.
From socratic.org
A box on the floor with a mass of 2 kg is under the effect of forces F1 A Box With A Mass Of 2 Kg Accelerates A box with a mass of 2 kg accelerates in a straight line from 4 \(\mathrm{m} / \mathrm{s}\) to \(8 \mathrm{~m} / \mathrm{s}\) due to the. A box with a mass of 2 kg accelerates in a straight line from 4 m/s to 8 m/s due to the application of a force whose duration is 0.5 s. A box with. A Box With A Mass Of 2 Kg Accelerates.
From www.chegg.com
Physics Archive May 24, 2014 A Box With A Mass Of 2 Kg Accelerates A box with a mass of 2 kg accelerates in a straight line from 4 m/s to 8 m/s due to the application of a force whose duration is 0.5 s. A box with a mass of 2 kg accelerates in a straight line from 4 m/s to 8 m/s due to the application of a force whose duration is. A Box With A Mass Of 2 Kg Accelerates.
From www.chegg.com
Solved 10) A box with a mass of 2 kg accelerates in a A Box With A Mass Of 2 Kg Accelerates A box with a mass of 2 kg accelerates in a straight line from 4 m/s to 8 m/s due to the application of a force whose duration is 0.5 s. A box with a mass of 2 kg accelerates in a straight line from 4 \(\mathrm{m} / \mathrm{s}\) to \(8 \mathrm{~m} / \mathrm{s}\) due to the. A box with. A Box With A Mass Of 2 Kg Accelerates.
From www.youtube.com
Dynamics 1560 Disk A has a mass of 2 kg and is sliding forward on the A Box With A Mass Of 2 Kg Accelerates Newtons are a derived unit,. F = m * a. A box with a mass of \(2 \mathrm{kg}\) accelerates in a straight line from \(4 \mathrm{m} / \mathrm{s}\) to \(8 \mathrm{m} /. In the context of our example, the box has a mass (\(m\)) of 2 \(\mathrm{kg}\), and we've calculated the acceleration (\(a\)) to be 8. A box with a. A Box With A Mass Of 2 Kg Accelerates.