Charge Does Zinc Have . You can use this table to predict whether an atom can bond with another atom. 93 rows this electric charge generated on the ion is known as ionic charge. Zinc is the 30th element in the periodic table and has a symbol of zn and atomic number of 30. Uncombined elements have an oxidation state of 0. When atoms gain electron/s, the negatively charged ion is formed, and when the atoms lose. 93 rows this table shows the most common charges for atoms of the chemical elements. Zinc is one of the least common elements and is. It has an atomic weight of 65.38 and a mass. Zinc (zn) is a transition metal which often have have a different ionic charge depending what it. It is defined as being the charge that an atom would have if all bonds were ionic.
from store.drjockers.com
Zinc is the 30th element in the periodic table and has a symbol of zn and atomic number of 30. 93 rows this table shows the most common charges for atoms of the chemical elements. You can use this table to predict whether an atom can bond with another atom. Zinc is one of the least common elements and is. Zinc (zn) is a transition metal which often have have a different ionic charge depending what it. 93 rows this electric charge generated on the ion is known as ionic charge. When atoms gain electron/s, the negatively charged ion is formed, and when the atoms lose. It is defined as being the charge that an atom would have if all bonds were ionic. Uncombined elements have an oxidation state of 0. It has an atomic weight of 65.38 and a mass.
Zinc Charge Dr. Jockers Store
Charge Does Zinc Have When atoms gain electron/s, the negatively charged ion is formed, and when the atoms lose. 93 rows this table shows the most common charges for atoms of the chemical elements. 93 rows this electric charge generated on the ion is known as ionic charge. Uncombined elements have an oxidation state of 0. It is defined as being the charge that an atom would have if all bonds were ionic. Zinc is one of the least common elements and is. Zinc (zn) is a transition metal which often have have a different ionic charge depending what it. It has an atomic weight of 65.38 and a mass. When atoms gain electron/s, the negatively charged ion is formed, and when the atoms lose. You can use this table to predict whether an atom can bond with another atom. Zinc is the 30th element in the periodic table and has a symbol of zn and atomic number of 30.
From solverpharma.com
ZincCharge Solver Agropharma Ltd. Charge Does Zinc Have 93 rows this electric charge generated on the ion is known as ionic charge. Zinc is the 30th element in the periodic table and has a symbol of zn and atomic number of 30. When atoms gain electron/s, the negatively charged ion is formed, and when the atoms lose. 93 rows this table shows the most common charges for atoms. Charge Does Zinc Have.
From store.drjockers.com
Zinc Charge Dr. Jockers Store Charge Does Zinc Have 93 rows this table shows the most common charges for atoms of the chemical elements. It has an atomic weight of 65.38 and a mass. When atoms gain electron/s, the negatively charged ion is formed, and when the atoms lose. Uncombined elements have an oxidation state of 0. 93 rows this electric charge generated on the ion is known as. Charge Does Zinc Have.
From fr.thptnganamst.edu.vn
Ntroduire 79+ imagen formule de l'ion zinc fr.thptnganamst.edu.vn Charge Does Zinc Have 93 rows this electric charge generated on the ion is known as ionic charge. Zinc (zn) is a transition metal which often have have a different ionic charge depending what it. Zinc is the 30th element in the periodic table and has a symbol of zn and atomic number of 30. Zinc is one of the least common elements and. Charge Does Zinc Have.
From www.museoinclusivo.com
Exploring the Electrical Charge of Aluminum Aluminum Profile Blog Charge Does Zinc Have Uncombined elements have an oxidation state of 0. Zinc (zn) is a transition metal which often have have a different ionic charge depending what it. 93 rows this table shows the most common charges for atoms of the chemical elements. 93 rows this electric charge generated on the ion is known as ionic charge. Zinc is the 30th element in. Charge Does Zinc Have.
From probeauty.co.nz
4 Key Benefits of Taking Zinc Supplements for Your Skin and Body Charge Does Zinc Have Uncombined elements have an oxidation state of 0. 93 rows this table shows the most common charges for atoms of the chemical elements. You can use this table to predict whether an atom can bond with another atom. Zinc is the 30th element in the periodic table and has a symbol of zn and atomic number of 30. 93 rows. Charge Does Zinc Have.
From www.numerade.com
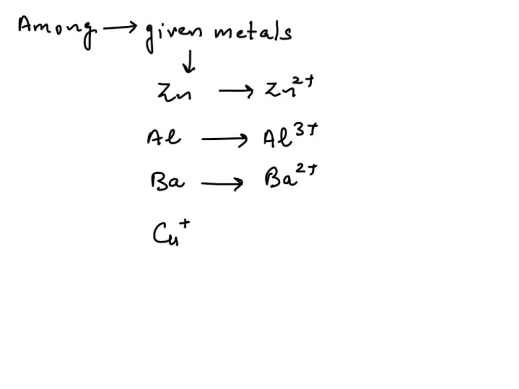
SOLVED QUESTION 7 Identify the metal that is likely to have variable Charge Does Zinc Have Zinc is one of the least common elements and is. You can use this table to predict whether an atom can bond with another atom. Uncombined elements have an oxidation state of 0. Zinc (zn) is a transition metal which often have have a different ionic charge depending what it. Zinc is the 30th element in the periodic table and. Charge Does Zinc Have.
From www.researchgate.net
Rechargeable zincair battery tests. (a) Chargedischarge polarization Charge Does Zinc Have 93 rows this table shows the most common charges for atoms of the chemical elements. Zinc (zn) is a transition metal which often have have a different ionic charge depending what it. Zinc is one of the least common elements and is. Uncombined elements have an oxidation state of 0. Zinc is the 30th element in the periodic table and. Charge Does Zinc Have.
From www.inceptivemind.com
Researchers develop aqueous zincion battery that uses water as an Charge Does Zinc Have Zinc is the 30th element in the periodic table and has a symbol of zn and atomic number of 30. Zinc is one of the least common elements and is. Zinc (zn) is a transition metal which often have have a different ionic charge depending what it. 93 rows this electric charge generated on the ion is known as ionic. Charge Does Zinc Have.
From www.researchgate.net
Charge and discharge cycle test chart of the zinc electrode (A) Zn/Al Charge Does Zinc Have Zinc is the 30th element in the periodic table and has a symbol of zn and atomic number of 30. You can use this table to predict whether an atom can bond with another atom. Zinc is one of the least common elements and is. When atoms gain electron/s, the negatively charged ion is formed, and when the atoms lose.. Charge Does Zinc Have.
From store.drjockers.com
Zinc Charge Dr. Jockers Store Charge Does Zinc Have Zinc (zn) is a transition metal which often have have a different ionic charge depending what it. Uncombined elements have an oxidation state of 0. When atoms gain electron/s, the negatively charged ion is formed, and when the atoms lose. It has an atomic weight of 65.38 and a mass. 93 rows this electric charge generated on the ion is. Charge Does Zinc Have.
From store.drjockers.com
Zinc Charge Dr. Jockers Store Charge Does Zinc Have You can use this table to predict whether an atom can bond with another atom. When atoms gain electron/s, the negatively charged ion is formed, and when the atoms lose. Zinc is the 30th element in the periodic table and has a symbol of zn and atomic number of 30. It has an atomic weight of 65.38 and a mass.. Charge Does Zinc Have.
From valenceelectrons.com
How Many Valence Electrons Does Zinc (Zn) Have? Charge Does Zinc Have You can use this table to predict whether an atom can bond with another atom. 93 rows this electric charge generated on the ion is known as ionic charge. Zinc (zn) is a transition metal which often have have a different ionic charge depending what it. Zinc is one of the least common elements and is. When atoms gain electron/s,. Charge Does Zinc Have.
From www.reuters.com
Zinc treatment charges jump after 2022 smelter bottleneck Reuters Charge Does Zinc Have Zinc is one of the least common elements and is. It is defined as being the charge that an atom would have if all bonds were ionic. When atoms gain electron/s, the negatively charged ion is formed, and when the atoms lose. 93 rows this electric charge generated on the ion is known as ionic charge. You can use this. Charge Does Zinc Have.
From chemicalengineeringworld.com
Zinc Element Properties and Information Chemical Engineering World Charge Does Zinc Have 93 rows this electric charge generated on the ion is known as ionic charge. Uncombined elements have an oxidation state of 0. It has an atomic weight of 65.38 and a mass. Zinc is the 30th element in the periodic table and has a symbol of zn and atomic number of 30. When atoms gain electron/s, the negatively charged ion. Charge Does Zinc Have.
From blog.thepipingmart.com
Zinc vs. Copper What's the Difference Charge Does Zinc Have You can use this table to predict whether an atom can bond with another atom. Zinc is the 30th element in the periodic table and has a symbol of zn and atomic number of 30. It has an atomic weight of 65.38 and a mass. Uncombined elements have an oxidation state of 0. Zinc is one of the least common. Charge Does Zinc Have.
From academicsongs.com
What charge does zinc have? Academic Hacks Charge Does Zinc Have It has an atomic weight of 65.38 and a mass. Zinc is the 30th element in the periodic table and has a symbol of zn and atomic number of 30. Zinc is one of the least common elements and is. It is defined as being the charge that an atom would have if all bonds were ionic. Uncombined elements have. Charge Does Zinc Have.
From successfarmbd.com
চার্জ চিলেটেড জিংক Charge chelated zinc (২০ গ্রাম) Success Farm Charge Does Zinc Have Uncombined elements have an oxidation state of 0. 93 rows this electric charge generated on the ion is known as ionic charge. It is defined as being the charge that an atom would have if all bonds were ionic. You can use this table to predict whether an atom can bond with another atom. Zinc is the 30th element in. Charge Does Zinc Have.
From www.pinterest.com
Pin by Margaret Apte on diet/nutrition in 2021 Zinc rich foods Charge Does Zinc Have 93 rows this table shows the most common charges for atoms of the chemical elements. It has an atomic weight of 65.38 and a mass. 93 rows this electric charge generated on the ion is known as ionic charge. When atoms gain electron/s, the negatively charged ion is formed, and when the atoms lose. Zinc is the 30th element in. Charge Does Zinc Have.
From www.museoinclusivo.com
Exploring the Electrical Charge of Aluminum Aluminum Profile Blog Charge Does Zinc Have Zinc is the 30th element in the periodic table and has a symbol of zn and atomic number of 30. Zinc is one of the least common elements and is. 93 rows this table shows the most common charges for atoms of the chemical elements. Zinc (zn) is a transition metal which often have have a different ionic charge depending. Charge Does Zinc Have.
From sciencetrends.com
What Is The Ionic Charge Of Zinc (Zn)? Science Trends Charge Does Zinc Have Zinc is the 30th element in the periodic table and has a symbol of zn and atomic number of 30. 93 rows this electric charge generated on the ion is known as ionic charge. When atoms gain electron/s, the negatively charged ion is formed, and when the atoms lose. It is defined as being the charge that an atom would. Charge Does Zinc Have.
From hxeiggkqw.blob.core.windows.net
Zinc Symbol And Charge at Alberto Scurlock blog Charge Does Zinc Have Zinc (zn) is a transition metal which often have have a different ionic charge depending what it. Uncombined elements have an oxidation state of 0. You can use this table to predict whether an atom can bond with another atom. 93 rows this electric charge generated on the ion is known as ionic charge. 93 rows this table shows the. Charge Does Zinc Have.
From www.youtube.com
Zinc Burst Charge Testing Pt.1 YouTube Charge Does Zinc Have Uncombined elements have an oxidation state of 0. 93 rows this table shows the most common charges for atoms of the chemical elements. It is defined as being the charge that an atom would have if all bonds were ionic. Zinc is one of the least common elements and is. It has an atomic weight of 65.38 and a mass.. Charge Does Zinc Have.
From universalgalvanizing.com
Is Plating Zinc the Same as Galvanizing? Universal Galvanizing Charge Does Zinc Have When atoms gain electron/s, the negatively charged ion is formed, and when the atoms lose. It has an atomic weight of 65.38 and a mass. You can use this table to predict whether an atom can bond with another atom. Zinc (zn) is a transition metal which often have have a different ionic charge depending what it. 93 rows this. Charge Does Zinc Have.
From awesomehome.co
Zinc Periodic Table Protons Neutrons Electrons Awesome Home Charge Does Zinc Have It has an atomic weight of 65.38 and a mass. When atoms gain electron/s, the negatively charged ion is formed, and when the atoms lose. Zinc (zn) is a transition metal which often have have a different ionic charge depending what it. 93 rows this electric charge generated on the ion is known as ionic charge. Zinc is the 30th. Charge Does Zinc Have.
From solverpharma.com
ZincCharge Solver Agropharma Ltd. Charge Does Zinc Have 93 rows this electric charge generated on the ion is known as ionic charge. It has an atomic weight of 65.38 and a mass. Zinc (zn) is a transition metal which often have have a different ionic charge depending what it. 93 rows this table shows the most common charges for atoms of the chemical elements. When atoms gain electron/s,. Charge Does Zinc Have.
From vancouverdas.weebly.com
Simple printable periodic table of elements with charges vancouverdas Charge Does Zinc Have You can use this table to predict whether an atom can bond with another atom. It is defined as being the charge that an atom would have if all bonds were ionic. Zinc is the 30th element in the periodic table and has a symbol of zn and atomic number of 30. When atoms gain electron/s, the negatively charged ion. Charge Does Zinc Have.
From valenceelectrons.com
How to Write the Electron Configuration for Zinc (Zn)? Charge Does Zinc Have Zinc is the 30th element in the periodic table and has a symbol of zn and atomic number of 30. Zinc is one of the least common elements and is. Uncombined elements have an oxidation state of 0. You can use this table to predict whether an atom can bond with another atom. It has an atomic weight of 65.38. Charge Does Zinc Have.
From www.youtube.com
How To Determine The Charge of Elements and Ions Chemistry YouTube Charge Does Zinc Have Zinc (zn) is a transition metal which often have have a different ionic charge depending what it. 93 rows this electric charge generated on the ion is known as ionic charge. Zinc is the 30th element in the periodic table and has a symbol of zn and atomic number of 30. 93 rows this table shows the most common charges. Charge Does Zinc Have.
From www.youtube.com
How to Find the Charge on the Sulfate Ion YouTube Charge Does Zinc Have 93 rows this table shows the most common charges for atoms of the chemical elements. Zinc (zn) is a transition metal which often have have a different ionic charge depending what it. Zinc is the 30th element in the periodic table and has a symbol of zn and atomic number of 30. Zinc is one of the least common elements. Charge Does Zinc Have.
From www.alibaba.com
Zinc Alloy Metal Usb Data Sync Charge Cable For Iphone 5 5s 5c 6 6s 7 Charge Does Zinc Have It is defined as being the charge that an atom would have if all bonds were ionic. Zinc is the 30th element in the periodic table and has a symbol of zn and atomic number of 30. When atoms gain electron/s, the negatively charged ion is formed, and when the atoms lose. It has an atomic weight of 65.38 and. Charge Does Zinc Have.
From store.drjockers.com
Zinc Charge Dr. Jockers Store Charge Does Zinc Have Zinc (zn) is a transition metal which often have have a different ionic charge depending what it. It is defined as being the charge that an atom would have if all bonds were ionic. Zinc is one of the least common elements and is. You can use this table to predict whether an atom can bond with another atom. When. Charge Does Zinc Have.
From www.researchgate.net
Charge storage mechanism study of zincion hybrid supercapacitors Charge Does Zinc Have Zinc (zn) is a transition metal which often have have a different ionic charge depending what it. 93 rows this table shows the most common charges for atoms of the chemical elements. It is defined as being the charge that an atom would have if all bonds were ionic. 93 rows this electric charge generated on the ion is known. Charge Does Zinc Have.
From elchoroukhost.net
Periodic Table Zinc Protons Neutrons Electrons Elcho Table Charge Does Zinc Have 93 rows this table shows the most common charges for atoms of the chemical elements. It is defined as being the charge that an atom would have if all bonds were ionic. You can use this table to predict whether an atom can bond with another atom. Zinc is one of the least common elements and is. 93 rows this. Charge Does Zinc Have.
From www.researchgate.net
Confinement Engineering of Zinc Single‐Atom Triggered Charge Charge Does Zinc Have It has an atomic weight of 65.38 and a mass. Uncombined elements have an oxidation state of 0. 93 rows this table shows the most common charges for atoms of the chemical elements. It is defined as being the charge that an atom would have if all bonds were ionic. You can use this table to predict whether an atom. Charge Does Zinc Have.
From www.indiamart.com
Zinc Re Charge Syrup, Packaging Size 225 ML at Rs 26/bottle in Sitapur Charge Does Zinc Have 93 rows this table shows the most common charges for atoms of the chemical elements. It is defined as being the charge that an atom would have if all bonds were ionic. It has an atomic weight of 65.38 and a mass. 93 rows this electric charge generated on the ion is known as ionic charge. You can use this. Charge Does Zinc Have.