Inexpensive Table And Chairs . Dining chairs don’t just need to be practical and comfortable,. Find stylish and affordable dining tables and chairs in singapore. From modern dining table sets that embody sleek sophistication to more traditional kitchen table and chairs sets that exude warmth and coziness, our collection includes options to. Shop dining table by size here. Widest range of dining table set 6 / 4 seaters, tables, chairs. Complete your dining setup with our wider range of dining tables, dining chairs and dinnerware. If you're looking to find affordable used tables and chairs in singapore, carousell brings you the most number of choices and prices. Your hunt for stylish yet relatively inexpensive sofas, tables, beds and home decor will be a breeze. Shop our affordable cheap and good dining table set collection at picket&rail. Explore different designs and styles at courts singapore.
from www.pinterest.com
Explore different designs and styles at courts singapore. Your hunt for stylish yet relatively inexpensive sofas, tables, beds and home decor will be a breeze. From modern dining table sets that embody sleek sophistication to more traditional kitchen table and chairs sets that exude warmth and coziness, our collection includes options to. Dining chairs don’t just need to be practical and comfortable,. Shop our affordable cheap and good dining table set collection at picket&rail. Complete your dining setup with our wider range of dining tables, dining chairs and dinnerware. Widest range of dining table set 6 / 4 seaters, tables, chairs. If you're looking to find affordable used tables and chairs in singapore, carousell brings you the most number of choices and prices. Find stylish and affordable dining tables and chairs in singapore. Shop dining table by size here.
Source Cheap price fast food restaurant tables chairs on
Inexpensive Table And Chairs Shop our affordable cheap and good dining table set collection at picket&rail. Dining chairs don’t just need to be practical and comfortable,. From modern dining table sets that embody sleek sophistication to more traditional kitchen table and chairs sets that exude warmth and coziness, our collection includes options to. Complete your dining setup with our wider range of dining tables, dining chairs and dinnerware. Find stylish and affordable dining tables and chairs in singapore. If you're looking to find affordable used tables and chairs in singapore, carousell brings you the most number of choices and prices. Widest range of dining table set 6 / 4 seaters, tables, chairs. Your hunt for stylish yet relatively inexpensive sofas, tables, beds and home decor will be a breeze. Explore different designs and styles at courts singapore. Shop our affordable cheap and good dining table set collection at picket&rail. Shop dining table by size here.
From imagetou.com
Clearance Kitchen Tables Image to u Inexpensive Table And Chairs Explore different designs and styles at courts singapore. Dining chairs don’t just need to be practical and comfortable,. Widest range of dining table set 6 / 4 seaters, tables, chairs. If you're looking to find affordable used tables and chairs in singapore, carousell brings you the most number of choices and prices. Complete your dining setup with our wider range. Inexpensive Table And Chairs.
From fluxdecor.com
20 Compact Tables and Chairs That Maximize Limited Space Inexpensive Table And Chairs Widest range of dining table set 6 / 4 seaters, tables, chairs. Dining chairs don’t just need to be practical and comfortable,. Your hunt for stylish yet relatively inexpensive sofas, tables, beds and home decor will be a breeze. Find stylish and affordable dining tables and chairs in singapore. Explore different designs and styles at courts singapore. If you're looking. Inexpensive Table And Chairs.
From www.icanhasgif.com
Restaurant Table And Chair Sets Decor Ideas Inexpensive Table And Chairs Shop dining table by size here. Complete your dining setup with our wider range of dining tables, dining chairs and dinnerware. From modern dining table sets that embody sleek sophistication to more traditional kitchen table and chairs sets that exude warmth and coziness, our collection includes options to. Your hunt for stylish yet relatively inexpensive sofas, tables, beds and home. Inexpensive Table And Chairs.
From www.schooloutfitters.com
Sprogs Rectangle AdjustableHeight Preschool Table & Four Assorted Inexpensive Table And Chairs If you're looking to find affordable used tables and chairs in singapore, carousell brings you the most number of choices and prices. Find stylish and affordable dining tables and chairs in singapore. Complete your dining setup with our wider range of dining tables, dining chairs and dinnerware. Your hunt for stylish yet relatively inexpensive sofas, tables, beds and home decor. Inexpensive Table And Chairs.
From www.walmart.com
Small Dual Drop Leaf Table with Two Chairs Washed Gray Taupe Inexpensive Table And Chairs Find stylish and affordable dining tables and chairs in singapore. Dining chairs don’t just need to be practical and comfortable,. Complete your dining setup with our wider range of dining tables, dining chairs and dinnerware. Your hunt for stylish yet relatively inexpensive sofas, tables, beds and home decor will be a breeze. From modern dining table sets that embody sleek. Inexpensive Table And Chairs.
From exocoszrf.blob.core.windows.net
Cheap Outdoor Dining Sets Uk at Angela Brown blog Inexpensive Table And Chairs Widest range of dining table set 6 / 4 seaters, tables, chairs. If you're looking to find affordable used tables and chairs in singapore, carousell brings you the most number of choices and prices. Shop dining table by size here. Shop our affordable cheap and good dining table set collection at picket&rail. From modern dining table sets that embody sleek. Inexpensive Table And Chairs.
From www.walmart.com
Zimtown Dining Table Set with Chairs, Rectangle Glass Table Set Modern Inexpensive Table And Chairs Shop dining table by size here. Complete your dining setup with our wider range of dining tables, dining chairs and dinnerware. Explore different designs and styles at courts singapore. Dining chairs don’t just need to be practical and comfortable,. Shop our affordable cheap and good dining table set collection at picket&rail. Your hunt for stylish yet relatively inexpensive sofas, tables,. Inexpensive Table And Chairs.
From www.polkadotchair.com
Inexpensive Tablecloth Idea! The Polkadot Chair Inexpensive Table And Chairs Your hunt for stylish yet relatively inexpensive sofas, tables, beds and home decor will be a breeze. Complete your dining setup with our wider range of dining tables, dining chairs and dinnerware. Dining chairs don’t just need to be practical and comfortable,. From modern dining table sets that embody sleek sophistication to more traditional kitchen table and chairs sets that. Inexpensive Table And Chairs.
From www.numerade.com
SOLVED A furniture company produces inexpensive tables and chairs. The Inexpensive Table And Chairs Your hunt for stylish yet relatively inexpensive sofas, tables, beds and home decor will be a breeze. Widest range of dining table set 6 / 4 seaters, tables, chairs. If you're looking to find affordable used tables and chairs in singapore, carousell brings you the most number of choices and prices. Shop our affordable cheap and good dining table set. Inexpensive Table And Chairs.
From exobcoliq.blob.core.windows.net
Walmart Small Tables And Chairs at Ronnie King blog Inexpensive Table And Chairs Dining chairs don’t just need to be practical and comfortable,. Your hunt for stylish yet relatively inexpensive sofas, tables, beds and home decor will be a breeze. Explore different designs and styles at courts singapore. Shop dining table by size here. From modern dining table sets that embody sleek sophistication to more traditional kitchen table and chairs sets that exude. Inexpensive Table And Chairs.
From www.walmart.com
Dining Table with Four Chairs Inexpensive Table And Chairs Shop dining table by size here. Explore different designs and styles at courts singapore. Widest range of dining table set 6 / 4 seaters, tables, chairs. Your hunt for stylish yet relatively inexpensive sofas, tables, beds and home decor will be a breeze. Shop our affordable cheap and good dining table set collection at picket&rail. From modern dining table sets. Inexpensive Table And Chairs.
From www.pinterest.com
FivePiece Compact Round Dining Set Dining room small, Small round Inexpensive Table And Chairs If you're looking to find affordable used tables and chairs in singapore, carousell brings you the most number of choices and prices. From modern dining table sets that embody sleek sophistication to more traditional kitchen table and chairs sets that exude warmth and coziness, our collection includes options to. Your hunt for stylish yet relatively inexpensive sofas, tables, beds and. Inexpensive Table And Chairs.
From 24hourspartyrental.com
Cheap Tables and Chairs Rentals Perfect for Your Event Inexpensive Table And Chairs Shop our affordable cheap and good dining table set collection at picket&rail. Your hunt for stylish yet relatively inexpensive sofas, tables, beds and home decor will be a breeze. Shop dining table by size here. Explore different designs and styles at courts singapore. Dining chairs don’t just need to be practical and comfortable,. If you're looking to find affordable used. Inexpensive Table And Chairs.
From gotohomerepair.com
2024 Popular Cheap Round Dining Tables Inexpensive Table And Chairs Shop dining table by size here. Complete your dining setup with our wider range of dining tables, dining chairs and dinnerware. Find stylish and affordable dining tables and chairs in singapore. Shop our affordable cheap and good dining table set collection at picket&rail. If you're looking to find affordable used tables and chairs in singapore, carousell brings you the most. Inexpensive Table And Chairs.
From www.chegg.com
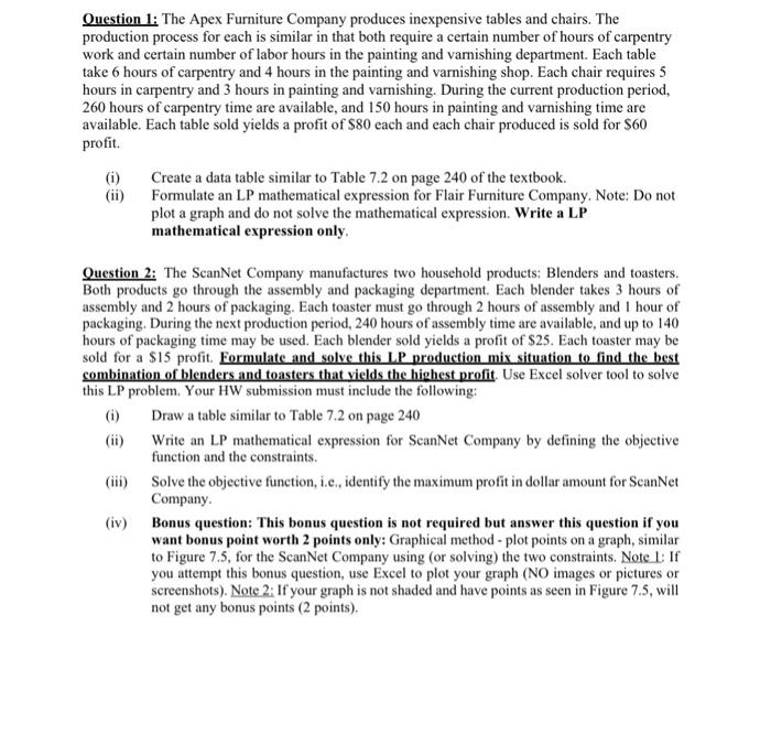
Solved Question 1 The Apex Furniture Company produces Inexpensive Table And Chairs Complete your dining setup with our wider range of dining tables, dining chairs and dinnerware. Shop our affordable cheap and good dining table set collection at picket&rail. If you're looking to find affordable used tables and chairs in singapore, carousell brings you the most number of choices and prices. Your hunt for stylish yet relatively inexpensive sofas, tables, beds and. Inexpensive Table And Chairs.
From kaptenmods.com
Kitchen Table And 4 Chairs For Small Kitchen Kitchen Info Inexpensive Table And Chairs If you're looking to find affordable used tables and chairs in singapore, carousell brings you the most number of choices and prices. Widest range of dining table set 6 / 4 seaters, tables, chairs. Dining chairs don’t just need to be practical and comfortable,. Complete your dining setup with our wider range of dining tables, dining chairs and dinnerware. Shop. Inexpensive Table And Chairs.
From www.walmart.com
9PCS Patio Rattan Dining Set 8 Chairs Cushioned Acacia Table Top Inexpensive Table And Chairs Shop our affordable cheap and good dining table set collection at picket&rail. Find stylish and affordable dining tables and chairs in singapore. Dining chairs don’t just need to be practical and comfortable,. If you're looking to find affordable used tables and chairs in singapore, carousell brings you the most number of choices and prices. Your hunt for stylish yet relatively. Inexpensive Table And Chairs.
From www.jlcatj.gob.mx
Kids Bedside Table Outlet Sales, Save 60 jlcatj.gob.mx Inexpensive Table And Chairs Widest range of dining table set 6 / 4 seaters, tables, chairs. Complete your dining setup with our wider range of dining tables, dining chairs and dinnerware. Explore different designs and styles at courts singapore. Shop our affordable cheap and good dining table set collection at picket&rail. If you're looking to find affordable used tables and chairs in singapore, carousell. Inexpensive Table And Chairs.
From www.daycarefurnituredirect.com
Daycare tables and preschool table and chair sets at Daycare Furniture Inexpensive Table And Chairs From modern dining table sets that embody sleek sophistication to more traditional kitchen table and chairs sets that exude warmth and coziness, our collection includes options to. Find stylish and affordable dining tables and chairs in singapore. Dining chairs don’t just need to be practical and comfortable,. Shop dining table by size here. Your hunt for stylish yet relatively inexpensive. Inexpensive Table And Chairs.
From pimphomee.com
20++ Cheap Small Table And Chairs PIMPHOMEE Inexpensive Table And Chairs If you're looking to find affordable used tables and chairs in singapore, carousell brings you the most number of choices and prices. Find stylish and affordable dining tables and chairs in singapore. Explore different designs and styles at courts singapore. Widest range of dining table set 6 / 4 seaters, tables, chairs. Dining chairs don’t just need to be practical. Inexpensive Table And Chairs.
From www.pinterest.com
Source Cheap price fast food restaurant tables chairs on Inexpensive Table And Chairs Dining chairs don’t just need to be practical and comfortable,. Complete your dining setup with our wider range of dining tables, dining chairs and dinnerware. Shop our affordable cheap and good dining table set collection at picket&rail. Find stylish and affordable dining tables and chairs in singapore. Shop dining table by size here. If you're looking to find affordable used. Inexpensive Table And Chairs.
From www.chegg.com
Solved A furniture company produces inexpensive tables and Inexpensive Table And Chairs From modern dining table sets that embody sleek sophistication to more traditional kitchen table and chairs sets that exude warmth and coziness, our collection includes options to. Shop our affordable cheap and good dining table set collection at picket&rail. Find stylish and affordable dining tables and chairs in singapore. Your hunt for stylish yet relatively inexpensive sofas, tables, beds and. Inexpensive Table And Chairs.
From www.pinterest.com
Tangkula 5 Piece Dining Table Set, Vintage Wood Top Padded Seat Dining Inexpensive Table And Chairs Widest range of dining table set 6 / 4 seaters, tables, chairs. Complete your dining setup with our wider range of dining tables, dining chairs and dinnerware. Explore different designs and styles at courts singapore. Your hunt for stylish yet relatively inexpensive sofas, tables, beds and home decor will be a breeze. From modern dining table sets that embody sleek. Inexpensive Table And Chairs.
From www.chegg.com
Solved II. A furniture company produces inexpensive tables Inexpensive Table And Chairs Shop dining table by size here. Widest range of dining table set 6 / 4 seaters, tables, chairs. Explore different designs and styles at courts singapore. Dining chairs don’t just need to be practical and comfortable,. If you're looking to find affordable used tables and chairs in singapore, carousell brings you the most number of choices and prices. Find stylish. Inexpensive Table And Chairs.
From www.pinterest.com
BaseLine Toddler Table and Chair Set Kids Table Chair Set, Toddler Inexpensive Table And Chairs Your hunt for stylish yet relatively inexpensive sofas, tables, beds and home decor will be a breeze. Explore different designs and styles at courts singapore. Complete your dining setup with our wider range of dining tables, dining chairs and dinnerware. If you're looking to find affordable used tables and chairs in singapore, carousell brings you the most number of choices. Inexpensive Table And Chairs.
From www.chegg.com
Solved The Flair Furniture company produces inexpensive Inexpensive Table And Chairs Your hunt for stylish yet relatively inexpensive sofas, tables, beds and home decor will be a breeze. If you're looking to find affordable used tables and chairs in singapore, carousell brings you the most number of choices and prices. Explore different designs and styles at courts singapore. Shop dining table by size here. From modern dining table sets that embody. Inexpensive Table And Chairs.
From www.easyliveauction.com
Small computer table & office chair Inexpensive Table And Chairs Shop our affordable cheap and good dining table set collection at picket&rail. Find stylish and affordable dining tables and chairs in singapore. From modern dining table sets that embody sleek sophistication to more traditional kitchen table and chairs sets that exude warmth and coziness, our collection includes options to. Widest range of dining table set 6 / 4 seaters, tables,. Inexpensive Table And Chairs.
From www.chegg.com
Solved The Flair Furniture company produces inexpensive Inexpensive Table And Chairs Complete your dining setup with our wider range of dining tables, dining chairs and dinnerware. From modern dining table sets that embody sleek sophistication to more traditional kitchen table and chairs sets that exude warmth and coziness, our collection includes options to. Shop dining table by size here. Explore different designs and styles at courts singapore. If you're looking to. Inexpensive Table And Chairs.
From www.competitiveedgeproducts.com
Lifetime 1 Table and 8 Chair Package on Sale with Fast & Free Shipping Inexpensive Table And Chairs Dining chairs don’t just need to be practical and comfortable,. Shop our affordable cheap and good dining table set collection at picket&rail. If you're looking to find affordable used tables and chairs in singapore, carousell brings you the most number of choices and prices. Complete your dining setup with our wider range of dining tables, dining chairs and dinnerware. From. Inexpensive Table And Chairs.
From www.chegg.com
Solved Question 1 The Apex Furniture Company produces Inexpensive Table And Chairs Find stylish and affordable dining tables and chairs in singapore. Shop our affordable cheap and good dining table set collection at picket&rail. Shop dining table by size here. If you're looking to find affordable used tables and chairs in singapore, carousell brings you the most number of choices and prices. From modern dining table sets that embody sleek sophistication to. Inexpensive Table And Chairs.
From www.chegg.com
Solved 3. The Flair Furniture Company produces inexpensive Inexpensive Table And Chairs Explore different designs and styles at courts singapore. Shop our affordable cheap and good dining table set collection at picket&rail. Complete your dining setup with our wider range of dining tables, dining chairs and dinnerware. Widest range of dining table set 6 / 4 seaters, tables, chairs. Find stylish and affordable dining tables and chairs in singapore. From modern dining. Inexpensive Table And Chairs.
From www.pinterest.com
Table and Chair Rental Home Office Furniture Ideas Check more at http Inexpensive Table And Chairs Explore different designs and styles at courts singapore. Shop dining table by size here. Shop our affordable cheap and good dining table set collection at picket&rail. Dining chairs don’t just need to be practical and comfortable,. Complete your dining setup with our wider range of dining tables, dining chairs and dinnerware. Your hunt for stylish yet relatively inexpensive sofas, tables,. Inexpensive Table And Chairs.
From gotohomerepair.com
2023 Best of Cheap Glass Dining Tables and 4 Chairs Inexpensive Table And Chairs From modern dining table sets that embody sleek sophistication to more traditional kitchen table and chairs sets that exude warmth and coziness, our collection includes options to. If you're looking to find affordable used tables and chairs in singapore, carousell brings you the most number of choices and prices. Shop our affordable cheap and good dining table set collection at. Inexpensive Table And Chairs.
From www.icanhasgif.com
Cheap Table And Chair Set Decor Ideas Inexpensive Table And Chairs Dining chairs don’t just need to be practical and comfortable,. Your hunt for stylish yet relatively inexpensive sofas, tables, beds and home decor will be a breeze. Complete your dining setup with our wider range of dining tables, dining chairs and dinnerware. Shop dining table by size here. From modern dining table sets that embody sleek sophistication to more traditional. Inexpensive Table And Chairs.
From fyotpuqdq.blob.core.windows.net
Kitchen Table Chairs Ebay at Joseph Bourn blog Inexpensive Table And Chairs From modern dining table sets that embody sleek sophistication to more traditional kitchen table and chairs sets that exude warmth and coziness, our collection includes options to. Find stylish and affordable dining tables and chairs in singapore. Shop our affordable cheap and good dining table set collection at picket&rail. If you're looking to find affordable used tables and chairs in. Inexpensive Table And Chairs.