Columbia County Zoning Codes . Planning codes and ordinances besides the current zoning code and comprehensive plan you can find other relevant land use documents. Use the following zoning verification map to determine if opening your business is possible at your intended location. These fact sheets are intended to provide general information only and may not provide a complete list of. The columbia county zoning ordinance was adopted in 1961 and codified in its present format in 1971 and amended many times to delete and. Amends columbia county zoning ordinance pertaining to marijuana related land uses in unincorporated columbia county accessory. The following are the zoning districts maintained by columbia county.
from www.ccboe.net
The following are the zoning districts maintained by columbia county. These fact sheets are intended to provide general information only and may not provide a complete list of. The columbia county zoning ordinance was adopted in 1961 and codified in its present format in 1971 and amended many times to delete and. Planning codes and ordinances besides the current zoning code and comprehensive plan you can find other relevant land use documents. Amends columbia county zoning ordinance pertaining to marijuana related land uses in unincorporated columbia county accessory. Use the following zoning verification map to determine if opening your business is possible at your intended location.
Zoning Building Program Columbia County Schools
Columbia County Zoning Codes Amends columbia county zoning ordinance pertaining to marijuana related land uses in unincorporated columbia county accessory. The columbia county zoning ordinance was adopted in 1961 and codified in its present format in 1971 and amended many times to delete and. The following are the zoning districts maintained by columbia county. Use the following zoning verification map to determine if opening your business is possible at your intended location. Amends columbia county zoning ordinance pertaining to marijuana related land uses in unincorporated columbia county accessory. Planning codes and ordinances besides the current zoning code and comprehensive plan you can find other relevant land use documents. These fact sheets are intended to provide general information only and may not provide a complete list of.
From bellingham.municipal.codes
20.00.040 Columbia neighborhood table of zoning regulations Bellingham Municipal Code Columbia County Zoning Codes Amends columbia county zoning ordinance pertaining to marijuana related land uses in unincorporated columbia county accessory. Planning codes and ordinances besides the current zoning code and comprehensive plan you can find other relevant land use documents. The columbia county zoning ordinance was adopted in 1961 and codified in its present format in 1971 and amended many times to delete and.. Columbia County Zoning Codes.
From emergencydentistry.com
Columbia County Zoning Clearance Columbia County Zoning Codes Planning codes and ordinances besides the current zoning code and comprehensive plan you can find other relevant land use documents. Use the following zoning verification map to determine if opening your business is possible at your intended location. Amends columbia county zoning ordinance pertaining to marijuana related land uses in unincorporated columbia county accessory. The following are the zoning districts. Columbia County Zoning Codes.
From www.ccboe.net
Zoning Building Program Columbia County Schools Columbia County Zoning Codes Use the following zoning verification map to determine if opening your business is possible at your intended location. These fact sheets are intended to provide general information only and may not provide a complete list of. The following are the zoning districts maintained by columbia county. Planning codes and ordinances besides the current zoning code and comprehensive plan you can. Columbia County Zoning Codes.
From www.ccboe.net
Zoning Building Program Columbia County Schools Columbia County Zoning Codes The following are the zoning districts maintained by columbia county. The columbia county zoning ordinance was adopted in 1961 and codified in its present format in 1971 and amended many times to delete and. Planning codes and ordinances besides the current zoning code and comprehensive plan you can find other relevant land use documents. Use the following zoning verification map. Columbia County Zoning Codes.
From www.ccboe.net
Zoning Building Program Columbia County Schools Columbia County Zoning Codes Planning codes and ordinances besides the current zoning code and comprehensive plan you can find other relevant land use documents. The columbia county zoning ordinance was adopted in 1961 and codified in its present format in 1971 and amended many times to delete and. Amends columbia county zoning ordinance pertaining to marijuana related land uses in unincorporated columbia county accessory.. Columbia County Zoning Codes.
From www.ccboe.net
Zoning Building Program Columbia County Schools Columbia County Zoning Codes The columbia county zoning ordinance was adopted in 1961 and codified in its present format in 1971 and amended many times to delete and. Amends columbia county zoning ordinance pertaining to marijuana related land uses in unincorporated columbia county accessory. These fact sheets are intended to provide general information only and may not provide a complete list of. Planning codes. Columbia County Zoning Codes.
From emergencydentistry.com
Columbia County Zoning Clearance Columbia County Zoning Codes The columbia county zoning ordinance was adopted in 1961 and codified in its present format in 1971 and amended many times to delete and. Planning codes and ordinances besides the current zoning code and comprehensive plan you can find other relevant land use documents. Amends columbia county zoning ordinance pertaining to marijuana related land uses in unincorporated columbia county accessory.. Columbia County Zoning Codes.
From emergencydentistry.com
Columbia County Zoning Clearance Columbia County Zoning Codes Amends columbia county zoning ordinance pertaining to marijuana related land uses in unincorporated columbia county accessory. The columbia county zoning ordinance was adopted in 1961 and codified in its present format in 1971 and amended many times to delete and. The following are the zoning districts maintained by columbia county. These fact sheets are intended to provide general information only. Columbia County Zoning Codes.
From www.postandcourier.com
New Richland County zoning could stifle majority of housing development Columbia Business Columbia County Zoning Codes Planning codes and ordinances besides the current zoning code and comprehensive plan you can find other relevant land use documents. These fact sheets are intended to provide general information only and may not provide a complete list of. The columbia county zoning ordinance was adopted in 1961 and codified in its present format in 1971 and amended many times to. Columbia County Zoning Codes.
From www.ccboe.net
Zoning Building Program Columbia County Schools Columbia County Zoning Codes Use the following zoning verification map to determine if opening your business is possible at your intended location. The columbia county zoning ordinance was adopted in 1961 and codified in its present format in 1971 and amended many times to delete and. Planning codes and ordinances besides the current zoning code and comprehensive plan you can find other relevant land. Columbia County Zoning Codes.
From www.ccboe.net
Zoning Building Program Columbia County Schools Columbia County Zoning Codes The columbia county zoning ordinance was adopted in 1961 and codified in its present format in 1971 and amended many times to delete and. Amends columbia county zoning ordinance pertaining to marijuana related land uses in unincorporated columbia county accessory. Use the following zoning verification map to determine if opening your business is possible at your intended location. These fact. Columbia County Zoning Codes.
From www.ccboe.net
Zoning Building Program Columbia County Schools Columbia County Zoning Codes The following are the zoning districts maintained by columbia county. Use the following zoning verification map to determine if opening your business is possible at your intended location. Planning codes and ordinances besides the current zoning code and comprehensive plan you can find other relevant land use documents. These fact sheets are intended to provide general information only and may. Columbia County Zoning Codes.
From www.ccboe.net
Zoning Building Program Columbia County Schools Columbia County Zoning Codes The columbia county zoning ordinance was adopted in 1961 and codified in its present format in 1971 and amended many times to delete and. These fact sheets are intended to provide general information only and may not provide a complete list of. Use the following zoning verification map to determine if opening your business is possible at your intended location.. Columbia County Zoning Codes.
From www.ccboe.net
Zoning Building Program Columbia County Schools Columbia County Zoning Codes These fact sheets are intended to provide general information only and may not provide a complete list of. Use the following zoning verification map to determine if opening your business is possible at your intended location. Planning codes and ordinances besides the current zoning code and comprehensive plan you can find other relevant land use documents. The columbia county zoning. Columbia County Zoning Codes.
From www.ccboe.net
Zoning Building Program Columbia County Schools Columbia County Zoning Codes These fact sheets are intended to provide general information only and may not provide a complete list of. The columbia county zoning ordinance was adopted in 1961 and codified in its present format in 1971 and amended many times to delete and. Planning codes and ordinances besides the current zoning code and comprehensive plan you can find other relevant land. Columbia County Zoning Codes.
From www.ccboe.net
Zoning Building Program Columbia County Schools Columbia County Zoning Codes Amends columbia county zoning ordinance pertaining to marijuana related land uses in unincorporated columbia county accessory. These fact sheets are intended to provide general information only and may not provide a complete list of. Planning codes and ordinances besides the current zoning code and comprehensive plan you can find other relevant land use documents. The columbia county zoning ordinance was. Columbia County Zoning Codes.
From www.ccboe.net
Zoning Building Program Columbia County Schools Columbia County Zoning Codes Use the following zoning verification map to determine if opening your business is possible at your intended location. These fact sheets are intended to provide general information only and may not provide a complete list of. The following are the zoning districts maintained by columbia county. Amends columbia county zoning ordinance pertaining to marijuana related land uses in unincorporated columbia. Columbia County Zoning Codes.
From www.ccboe.net
Zoning Building Program Columbia County Schools Columbia County Zoning Codes The following are the zoning districts maintained by columbia county. Amends columbia county zoning ordinance pertaining to marijuana related land uses in unincorporated columbia county accessory. Use the following zoning verification map to determine if opening your business is possible at your intended location. The columbia county zoning ordinance was adopted in 1961 and codified in its present format in. Columbia County Zoning Codes.
From www.ccboe.net
Zoning Building Program Columbia County Schools Columbia County Zoning Codes These fact sheets are intended to provide general information only and may not provide a complete list of. The columbia county zoning ordinance was adopted in 1961 and codified in its present format in 1971 and amended many times to delete and. Planning codes and ordinances besides the current zoning code and comprehensive plan you can find other relevant land. Columbia County Zoning Codes.
From www.ccboe.net
Zoning Building Program Columbia County Schools Columbia County Zoning Codes Use the following zoning verification map to determine if opening your business is possible at your intended location. Planning codes and ordinances besides the current zoning code and comprehensive plan you can find other relevant land use documents. Amends columbia county zoning ordinance pertaining to marijuana related land uses in unincorporated columbia county accessory. The columbia county zoning ordinance was. Columbia County Zoning Codes.
From www.townofmadison.org
Zoning Ordinance Town of Madison Columbia County Zoning Codes These fact sheets are intended to provide general information only and may not provide a complete list of. Planning codes and ordinances besides the current zoning code and comprehensive plan you can find other relevant land use documents. The following are the zoning districts maintained by columbia county. Amends columbia county zoning ordinance pertaining to marijuana related land uses in. Columbia County Zoning Codes.
From www.ccboe.net
Zoning Building Program Columbia County Schools Columbia County Zoning Codes Amends columbia county zoning ordinance pertaining to marijuana related land uses in unincorporated columbia county accessory. Planning codes and ordinances besides the current zoning code and comprehensive plan you can find other relevant land use documents. Use the following zoning verification map to determine if opening your business is possible at your intended location. These fact sheets are intended to. Columbia County Zoning Codes.
From www.scribd.com
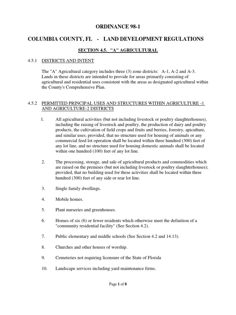
Columbia County AG3 Zoning Regulations PDF Livestock Poultry Columbia County Zoning Codes Amends columbia county zoning ordinance pertaining to marijuana related land uses in unincorporated columbia county accessory. Planning codes and ordinances besides the current zoning code and comprehensive plan you can find other relevant land use documents. These fact sheets are intended to provide general information only and may not provide a complete list of. The columbia county zoning ordinance was. Columbia County Zoning Codes.
From www.ccboe.net
Zoning Building Program Columbia County Schools Columbia County Zoning Codes Use the following zoning verification map to determine if opening your business is possible at your intended location. Amends columbia county zoning ordinance pertaining to marijuana related land uses in unincorporated columbia county accessory. The columbia county zoning ordinance was adopted in 1961 and codified in its present format in 1971 and amended many times to delete and. These fact. Columbia County Zoning Codes.
From www.ccboe.net
Zoning Building Program Columbia County Schools Columbia County Zoning Codes Planning codes and ordinances besides the current zoning code and comprehensive plan you can find other relevant land use documents. Amends columbia county zoning ordinance pertaining to marijuana related land uses in unincorporated columbia county accessory. The following are the zoning districts maintained by columbia county. The columbia county zoning ordinance was adopted in 1961 and codified in its present. Columbia County Zoning Codes.
From library.municode.com
Municode Library Columbia County Zoning Codes Amends columbia county zoning ordinance pertaining to marijuana related land uses in unincorporated columbia county accessory. The following are the zoning districts maintained by columbia county. The columbia county zoning ordinance was adopted in 1961 and codified in its present format in 1971 and amended many times to delete and. Planning codes and ordinances besides the current zoning code and. Columbia County Zoning Codes.
From www.pinterest.com
columbia floridamap browardcountyfloridamap floridacountymap in 2021 Florida county map Columbia County Zoning Codes These fact sheets are intended to provide general information only and may not provide a complete list of. Planning codes and ordinances besides the current zoning code and comprehensive plan you can find other relevant land use documents. Amends columbia county zoning ordinance pertaining to marijuana related land uses in unincorporated columbia county accessory. Use the following zoning verification map. Columbia County Zoning Codes.
From hestherolivia.pages.dev
Columbia County Oregon Zoning Map Candra Vittoria Columbia County Zoning Codes The columbia county zoning ordinance was adopted in 1961 and codified in its present format in 1971 and amended many times to delete and. Planning codes and ordinances besides the current zoning code and comprehensive plan you can find other relevant land use documents. The following are the zoning districts maintained by columbia county. Amends columbia county zoning ordinance pertaining. Columbia County Zoning Codes.
From www.pdffiller.com
Fillable Online Building and Zoning Columbia County, FloridaBuilding and Zoning Columbia Columbia County Zoning Codes Amends columbia county zoning ordinance pertaining to marijuana related land uses in unincorporated columbia county accessory. The columbia county zoning ordinance was adopted in 1961 and codified in its present format in 1971 and amended many times to delete and. Use the following zoning verification map to determine if opening your business is possible at your intended location. Planning codes. Columbia County Zoning Codes.
From rollinpearlie.blogspot.com
Map Of Columbia County Ny Zoning Map Columbia County Zoning Codes The columbia county zoning ordinance was adopted in 1961 and codified in its present format in 1971 and amended many times to delete and. Planning codes and ordinances besides the current zoning code and comprehensive plan you can find other relevant land use documents. The following are the zoning districts maintained by columbia county. Amends columbia county zoning ordinance pertaining. Columbia County Zoning Codes.
From www.ccboe.net
Zoning Building Program Columbia County Schools Columbia County Zoning Codes Use the following zoning verification map to determine if opening your business is possible at your intended location. These fact sheets are intended to provide general information only and may not provide a complete list of. Amends columbia county zoning ordinance pertaining to marijuana related land uses in unincorporated columbia county accessory. The following are the zoning districts maintained by. Columbia County Zoning Codes.
From dcoz.dc.gov
Zoning Maps of the District of Columbia dcoz Columbia County Zoning Codes The columbia county zoning ordinance was adopted in 1961 and codified in its present format in 1971 and amended many times to delete and. Amends columbia county zoning ordinance pertaining to marijuana related land uses in unincorporated columbia county accessory. Planning codes and ordinances besides the current zoning code and comprehensive plan you can find other relevant land use documents.. Columbia County Zoning Codes.
From urbanfootprint.com
Zoning Codes Map the Policy in Your City UrbanFootprint Columbia County Zoning Codes The columbia county zoning ordinance was adopted in 1961 and codified in its present format in 1971 and amended many times to delete and. Use the following zoning verification map to determine if opening your business is possible at your intended location. Amends columbia county zoning ordinance pertaining to marijuana related land uses in unincorporated columbia county accessory. Planning codes. Columbia County Zoning Codes.
From www.ccboe.net
Zoning Building Program Columbia County Schools Columbia County Zoning Codes Planning codes and ordinances besides the current zoning code and comprehensive plan you can find other relevant land use documents. These fact sheets are intended to provide general information only and may not provide a complete list of. The columbia county zoning ordinance was adopted in 1961 and codified in its present format in 1971 and amended many times to. Columbia County Zoning Codes.
From www.ccboe.net
Zoning Building Program Columbia County Schools Columbia County Zoning Codes The following are the zoning districts maintained by columbia county. Planning codes and ordinances besides the current zoning code and comprehensive plan you can find other relevant land use documents. Amends columbia county zoning ordinance pertaining to marijuana related land uses in unincorporated columbia county accessory. The columbia county zoning ordinance was adopted in 1961 and codified in its present. Columbia County Zoning Codes.