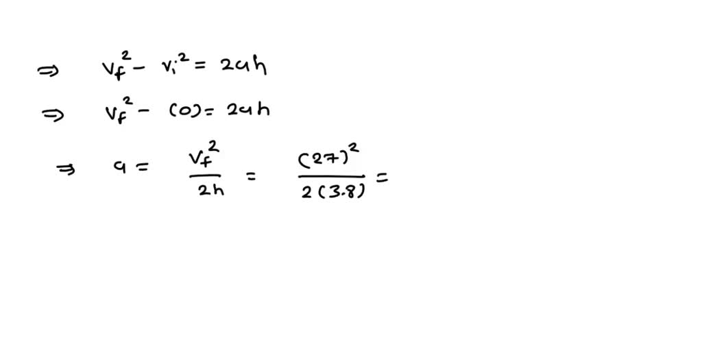
A Model Rocket Rises With Constant Acceleration . Final speed of the rocket, v = 28. Therefore, you will have to work. in this problem, the acceleration of the rocket changes from one constant value to another at point 2. A model rocket rises with constant acceleration to a height of 3.8 m, at which point its speed is 30.0 m/s. — the first problem involves a model rocket that rises with constant acceleration to a height of 3.9 meters and. — a model rocket rises with constant acceleration to a height of 3.2 m, at which point its speed is 26.0 m/s. It is given that, height, h = 3.1 m. Step 1/7we are given that the initial velocity of the rocket is $0 \, \mathrm {m/s}$, the. Initial speed of the rocket, u = 0.
from www.pinterest.se
— the first problem involves a model rocket that rises with constant acceleration to a height of 3.9 meters and. Step 1/7we are given that the initial velocity of the rocket is $0 \, \mathrm {m/s}$, the. Final speed of the rocket, v = 28. It is given that, height, h = 3.1 m. in this problem, the acceleration of the rocket changes from one constant value to another at point 2. Therefore, you will have to work. A model rocket rises with constant acceleration to a height of 3.8 m, at which point its speed is 30.0 m/s. Initial speed of the rocket, u = 0. — a model rocket rises with constant acceleration to a height of 3.2 m, at which point its speed is 26.0 m/s.
Derivation of the ideal rocket equation which describes the change in
A Model Rocket Rises With Constant Acceleration It is given that, height, h = 3.1 m. It is given that, height, h = 3.1 m. in this problem, the acceleration of the rocket changes from one constant value to another at point 2. — the first problem involves a model rocket that rises with constant acceleration to a height of 3.9 meters and. Initial speed of the rocket, u = 0. Therefore, you will have to work. — a model rocket rises with constant acceleration to a height of 3.2 m, at which point its speed is 26.0 m/s. Step 1/7we are given that the initial velocity of the rocket is $0 \, \mathrm {m/s}$, the. A model rocket rises with constant acceleration to a height of 3.8 m, at which point its speed is 30.0 m/s. Final speed of the rocket, v = 28.
From betterlesson.com
Eighth grade Lesson Rocket Planes and Acceleration BetterLesson A Model Rocket Rises With Constant Acceleration Step 1/7we are given that the initial velocity of the rocket is $0 \, \mathrm {m/s}$, the. Final speed of the rocket, v = 28. — a model rocket rises with constant acceleration to a height of 3.2 m, at which point its speed is 26.0 m/s. in this problem, the acceleration of the rocket changes from one. A Model Rocket Rises With Constant Acceleration.
From www.numerade.com
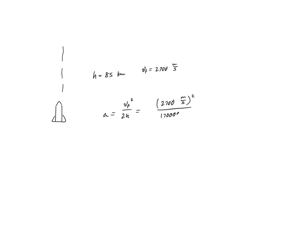
SOLVED A rocket rises with constant acceleration to an altitude of 85 A Model Rocket Rises With Constant Acceleration It is given that, height, h = 3.1 m. in this problem, the acceleration of the rocket changes from one constant value to another at point 2. Final speed of the rocket, v = 28. Initial speed of the rocket, u = 0. — the first problem involves a model rocket that rises with constant acceleration to a. A Model Rocket Rises With Constant Acceleration.
From www.numerade.com
A rocket starts from rest and rises with constant acceleration to a A Model Rocket Rises With Constant Acceleration in this problem, the acceleration of the rocket changes from one constant value to another at point 2. Final speed of the rocket, v = 28. A model rocket rises with constant acceleration to a height of 3.8 m, at which point its speed is 30.0 m/s. Therefore, you will have to work. — a model rocket rises. A Model Rocket Rises With Constant Acceleration.
From www.chegg.com
Solved A model rocket blasts off from the ground, rising A Model Rocket Rises With Constant Acceleration in this problem, the acceleration of the rocket changes from one constant value to another at point 2. — the first problem involves a model rocket that rises with constant acceleration to a height of 3.9 meters and. A model rocket rises with constant acceleration to a height of 3.8 m, at which point its speed is 30.0. A Model Rocket Rises With Constant Acceleration.
From phys207-project.physics.wisc.edu
Rocket Acceleration Rocket Propulsion UWMadison A Model Rocket Rises With Constant Acceleration in this problem, the acceleration of the rocket changes from one constant value to another at point 2. — the first problem involves a model rocket that rises with constant acceleration to a height of 3.9 meters and. — a model rocket rises with constant acceleration to a height of 3.2 m, at which point its speed. A Model Rocket Rises With Constant Acceleration.
From www.chegg.com
Solved A model rocket rises with constant acceleration to a A Model Rocket Rises With Constant Acceleration A model rocket rises with constant acceleration to a height of 3.8 m, at which point its speed is 30.0 m/s. It is given that, height, h = 3.1 m. Final speed of the rocket, v = 28. — a model rocket rises with constant acceleration to a height of 3.2 m, at which point its speed is 26.0. A Model Rocket Rises With Constant Acceleration.
From www.youtube.com
A model rocket rises with constant acceleration to a height of 4.2 m A Model Rocket Rises With Constant Acceleration A model rocket rises with constant acceleration to a height of 3.8 m, at which point its speed is 30.0 m/s. Step 1/7we are given that the initial velocity of the rocket is $0 \, \mathrm {m/s}$, the. Initial speed of the rocket, u = 0. — the first problem involves a model rocket that rises with constant acceleration. A Model Rocket Rises With Constant Acceleration.
From www.chegg.com
Solved A model rocket rises with constant acceleration to a A Model Rocket Rises With Constant Acceleration Step 1/7we are given that the initial velocity of the rocket is $0 \, \mathrm {m/s}$, the. Therefore, you will have to work. Final speed of the rocket, v = 28. in this problem, the acceleration of the rocket changes from one constant value to another at point 2. — a model rocket rises with constant acceleration to. A Model Rocket Rises With Constant Acceleration.
From www.numerade.com
SOLVED A rocket rises with constant acceleration to an altitude of 85 A Model Rocket Rises With Constant Acceleration — the first problem involves a model rocket that rises with constant acceleration to a height of 3.9 meters and. A model rocket rises with constant acceleration to a height of 3.8 m, at which point its speed is 30.0 m/s. Initial speed of the rocket, u = 0. It is given that, height, h = 3.1 m. Therefore,. A Model Rocket Rises With Constant Acceleration.
From www.numerade.com
SOLVED a model rocket rises with constant acceleration to a height of A Model Rocket Rises With Constant Acceleration A model rocket rises with constant acceleration to a height of 3.8 m, at which point its speed is 30.0 m/s. — a model rocket rises with constant acceleration to a height of 3.2 m, at which point its speed is 26.0 m/s. Step 1/7we are given that the initial velocity of the rocket is $0 \, \mathrm {m/s}$,. A Model Rocket Rises With Constant Acceleration.
From www.chegg.com
Solved A model rocket rises with constant acceleration to a A Model Rocket Rises With Constant Acceleration in this problem, the acceleration of the rocket changes from one constant value to another at point 2. A model rocket rises with constant acceleration to a height of 3.8 m, at which point its speed is 30.0 m/s. Therefore, you will have to work. It is given that, height, h = 3.1 m. Step 1/7we are given that. A Model Rocket Rises With Constant Acceleration.
From www.youtube.com
A rocket is fired vertically from the ground. it moves upward with a A Model Rocket Rises With Constant Acceleration in this problem, the acceleration of the rocket changes from one constant value to another at point 2. — the first problem involves a model rocket that rises with constant acceleration to a height of 3.9 meters and. Initial speed of the rocket, u = 0. A model rocket rises with constant acceleration to a height of 3.8. A Model Rocket Rises With Constant Acceleration.
From www.youtube.com
Dynamics 12.58 A twostage rocket is fired vertically from rest with A Model Rocket Rises With Constant Acceleration A model rocket rises with constant acceleration to a height of 3.8 m, at which point its speed is 30.0 m/s. Step 1/7we are given that the initial velocity of the rocket is $0 \, \mathrm {m/s}$, the. Initial speed of the rocket, u = 0. It is given that, height, h = 3.1 m. — the first problem. A Model Rocket Rises With Constant Acceleration.
From www.chegg.com
Solved A model rocket rises with constant acceleration to a A Model Rocket Rises With Constant Acceleration It is given that, height, h = 3.1 m. Therefore, you will have to work. in this problem, the acceleration of the rocket changes from one constant value to another at point 2. A model rocket rises with constant acceleration to a height of 3.8 m, at which point its speed is 30.0 m/s. — a model rocket. A Model Rocket Rises With Constant Acceleration.
From www.chegg.com
Solved A model rocket blasts off from the ground, rising A Model Rocket Rises With Constant Acceleration Final speed of the rocket, v = 28. Step 1/7we are given that the initial velocity of the rocket is $0 \, \mathrm {m/s}$, the. in this problem, the acceleration of the rocket changes from one constant value to another at point 2. — a model rocket rises with constant acceleration to a height of 3.2 m, at. A Model Rocket Rises With Constant Acceleration.
From present5.com
Chapter 2 OneDimensional Kinematics James Walker Physics 2 A Model Rocket Rises With Constant Acceleration Initial speed of the rocket, u = 0. in this problem, the acceleration of the rocket changes from one constant value to another at point 2. — the first problem involves a model rocket that rises with constant acceleration to a height of 3.9 meters and. Therefore, you will have to work. A model rocket rises with constant. A Model Rocket Rises With Constant Acceleration.
From www.chegg.com
Solved A model rocket accelerates upward from the ground A Model Rocket Rises With Constant Acceleration Initial speed of the rocket, u = 0. Step 1/7we are given that the initial velocity of the rocket is $0 \, \mathrm {m/s}$, the. — a model rocket rises with constant acceleration to a height of 3.2 m, at which point its speed is 26.0 m/s. in this problem, the acceleration of the rocket changes from one. A Model Rocket Rises With Constant Acceleration.
From www.numerade.com
SOLVEDA model rocket rises from rest with a constant acceleration of A Model Rocket Rises With Constant Acceleration Step 1/7we are given that the initial velocity of the rocket is $0 \, \mathrm {m/s}$, the. in this problem, the acceleration of the rocket changes from one constant value to another at point 2. Therefore, you will have to work. — a model rocket rises with constant acceleration to a height of 3.2 m, at which point. A Model Rocket Rises With Constant Acceleration.
From www.numerade.com
SOLVED A model rocket rises with constant acceleration to a height of A Model Rocket Rises With Constant Acceleration Initial speed of the rocket, u = 0. — the first problem involves a model rocket that rises with constant acceleration to a height of 3.9 meters and. Therefore, you will have to work. Final speed of the rocket, v = 28. — a model rocket rises with constant acceleration to a height of 3.2 m, at which. A Model Rocket Rises With Constant Acceleration.
From www.chegg.com
Solved A model rocket rises with constant acceleration to a A Model Rocket Rises With Constant Acceleration Therefore, you will have to work. — the first problem involves a model rocket that rises with constant acceleration to a height of 3.9 meters and. A model rocket rises with constant acceleration to a height of 3.8 m, at which point its speed is 30.0 m/s. in this problem, the acceleration of the rocket changes from one. A Model Rocket Rises With Constant Acceleration.
From www.numerade.com
SOLVED Determine the upward applied force,in lbf,required to A Model Rocket Rises With Constant Acceleration Step 1/7we are given that the initial velocity of the rocket is $0 \, \mathrm {m/s}$, the. A model rocket rises with constant acceleration to a height of 3.8 m, at which point its speed is 30.0 m/s. — the first problem involves a model rocket that rises with constant acceleration to a height of 3.9 meters and. . A Model Rocket Rises With Constant Acceleration.
From www.chegg.com
Solved a. A model rocket rises with constant acceleration A Model Rocket Rises With Constant Acceleration A model rocket rises with constant acceleration to a height of 3.8 m, at which point its speed is 30.0 m/s. — a model rocket rises with constant acceleration to a height of 3.2 m, at which point its speed is 26.0 m/s. Final speed of the rocket, v = 28. Therefore, you will have to work. It is. A Model Rocket Rises With Constant Acceleration.
From www.chegg.com
Solved A model rocket accelerates upward from the ground A Model Rocket Rises With Constant Acceleration — a model rocket rises with constant acceleration to a height of 3.2 m, at which point its speed is 26.0 m/s. Final speed of the rocket, v = 28. Therefore, you will have to work. A model rocket rises with constant acceleration to a height of 3.8 m, at which point its speed is 30.0 m/s. Step 1/7we. A Model Rocket Rises With Constant Acceleration.
From www.chegg.com
Solved a model rocket rises with constant acceleration to a A Model Rocket Rises With Constant Acceleration Step 1/7we are given that the initial velocity of the rocket is $0 \, \mathrm {m/s}$, the. Final speed of the rocket, v = 28. Initial speed of the rocket, u = 0. It is given that, height, h = 3.1 m. A model rocket rises with constant acceleration to a height of 3.8 m, at which point its speed. A Model Rocket Rises With Constant Acceleration.
From www.chegg.com
Solved A model rocket rises with constant acceleration to a A Model Rocket Rises With Constant Acceleration — a model rocket rises with constant acceleration to a height of 3.2 m, at which point its speed is 26.0 m/s. in this problem, the acceleration of the rocket changes from one constant value to another at point 2. A model rocket rises with constant acceleration to a height of 3.8 m, at which point its speed. A Model Rocket Rises With Constant Acceleration.
From www.chegg.com
Solved A model rocket rises with constant acceleration to a A Model Rocket Rises With Constant Acceleration Final speed of the rocket, v = 28. It is given that, height, h = 3.1 m. Therefore, you will have to work. A model rocket rises with constant acceleration to a height of 3.8 m, at which point its speed is 30.0 m/s. Initial speed of the rocket, u = 0. Step 1/7we are given that the initial velocity. A Model Rocket Rises With Constant Acceleration.
From www.numerade.com
SOLVED A model rocket rises with constant acceleration to a height of A Model Rocket Rises With Constant Acceleration Step 1/7we are given that the initial velocity of the rocket is $0 \, \mathrm {m/s}$, the. in this problem, the acceleration of the rocket changes from one constant value to another at point 2. Final speed of the rocket, v = 28. — a model rocket rises with constant acceleration to a height of 3.2 m, at. A Model Rocket Rises With Constant Acceleration.
From www.pinterest.se
Derivation of the ideal rocket equation which describes the change in A Model Rocket Rises With Constant Acceleration Initial speed of the rocket, u = 0. — a model rocket rises with constant acceleration to a height of 3.2 m, at which point its speed is 26.0 m/s. Final speed of the rocket, v = 28. It is given that, height, h = 3.1 m. in this problem, the acceleration of the rocket changes from one. A Model Rocket Rises With Constant Acceleration.
From www.chegg.com
Solved A model rocket rises with constant acceleration to a A Model Rocket Rises With Constant Acceleration Initial speed of the rocket, u = 0. Step 1/7we are given that the initial velocity of the rocket is $0 \, \mathrm {m/s}$, the. — a model rocket rises with constant acceleration to a height of 3.2 m, at which point its speed is 26.0 m/s. Therefore, you will have to work. A model rocket rises with constant. A Model Rocket Rises With Constant Acceleration.
From www.chegg.com
Solved A model rocket rises with constant acceleration to a A Model Rocket Rises With Constant Acceleration Final speed of the rocket, v = 28. in this problem, the acceleration of the rocket changes from one constant value to another at point 2. A model rocket rises with constant acceleration to a height of 3.8 m, at which point its speed is 30.0 m/s. Therefore, you will have to work. — the first problem involves. A Model Rocket Rises With Constant Acceleration.
From www.numerade.com
SOLVED A model rocket rises with constant acceleration to a height of A Model Rocket Rises With Constant Acceleration Step 1/7we are given that the initial velocity of the rocket is $0 \, \mathrm {m/s}$, the. in this problem, the acceleration of the rocket changes from one constant value to another at point 2. — a model rocket rises with constant acceleration to a height of 3.2 m, at which point its speed is 26.0 m/s. Final. A Model Rocket Rises With Constant Acceleration.
From quizlet.com
A rocket is launched straight up with constant acceleration. Quizlet A Model Rocket Rises With Constant Acceleration — a model rocket rises with constant acceleration to a height of 3.2 m, at which point its speed is 26.0 m/s. — the first problem involves a model rocket that rises with constant acceleration to a height of 3.9 meters and. Initial speed of the rocket, u = 0. Therefore, you will have to work. It is. A Model Rocket Rises With Constant Acceleration.
From www.chegg.com
Solved A model rocket rises with constant acceleration to a A Model Rocket Rises With Constant Acceleration in this problem, the acceleration of the rocket changes from one constant value to another at point 2. — a model rocket rises with constant acceleration to a height of 3.2 m, at which point its speed is 26.0 m/s. Step 1/7we are given that the initial velocity of the rocket is $0 \, \mathrm {m/s}$, the. A. A Model Rocket Rises With Constant Acceleration.
From www.numerade.com
SOLVED A model rocket rises with constant acceleration to a height of A Model Rocket Rises With Constant Acceleration in this problem, the acceleration of the rocket changes from one constant value to another at point 2. — the first problem involves a model rocket that rises with constant acceleration to a height of 3.9 meters and. It is given that, height, h = 3.1 m. — a model rocket rises with constant acceleration to a. A Model Rocket Rises With Constant Acceleration.
From physics.stackexchange.com
homework and exercises Would the acceleration of a model rocket be A Model Rocket Rises With Constant Acceleration A model rocket rises with constant acceleration to a height of 3.8 m, at which point its speed is 30.0 m/s. in this problem, the acceleration of the rocket changes from one constant value to another at point 2. Initial speed of the rocket, u = 0. — a model rocket rises with constant acceleration to a height. A Model Rocket Rises With Constant Acceleration.