Aluminum Oxide Rocket Fuel . at higher loading, aluminum oxide can agglomerate and prohibit complete combustion of the remaining aluminum,. aluminum particles oxidize to aluminum oxide (alumina, al 2 o 3) in the gas phase under high rocket motor pressures which lead to. the main particulate found in hybrid and solid rocket combustion is made of aluminum. results show that there are three main types of condensed combustion products: hybrid rocket engines suffer from the restricted mechanical properties and low regression rates of current polymeric fuel. Small smoke oxide particles oxidized by. This study focuses on the continuous development. modern solid rocket propellants for aerospace applications commonly contain aluminum powder as a fuel,.
from schematicstenjatius.z4.web.core.windows.net
Small smoke oxide particles oxidized by. This study focuses on the continuous development. hybrid rocket engines suffer from the restricted mechanical properties and low regression rates of current polymeric fuel. the main particulate found in hybrid and solid rocket combustion is made of aluminum. results show that there are three main types of condensed combustion products: at higher loading, aluminum oxide can agglomerate and prohibit complete combustion of the remaining aluminum,. modern solid rocket propellants for aerospace applications commonly contain aluminum powder as a fuel,. aluminum particles oxidize to aluminum oxide (alumina, al 2 o 3) in the gas phase under high rocket motor pressures which lead to.
Liquid Rocket Fuel Types
Aluminum Oxide Rocket Fuel results show that there are three main types of condensed combustion products: hybrid rocket engines suffer from the restricted mechanical properties and low regression rates of current polymeric fuel. aluminum particles oxidize to aluminum oxide (alumina, al 2 o 3) in the gas phase under high rocket motor pressures which lead to. at higher loading, aluminum oxide can agglomerate and prohibit complete combustion of the remaining aluminum,. Small smoke oxide particles oxidized by. the main particulate found in hybrid and solid rocket combustion is made of aluminum. results show that there are three main types of condensed combustion products: modern solid rocket propellants for aerospace applications commonly contain aluminum powder as a fuel,. This study focuses on the continuous development.
From www.purdue.edu
New hybrid energy method could fuel the future of rockets, spacecraft Aluminum Oxide Rocket Fuel hybrid rocket engines suffer from the restricted mechanical properties and low regression rates of current polymeric fuel. modern solid rocket propellants for aerospace applications commonly contain aluminum powder as a fuel,. the main particulate found in hybrid and solid rocket combustion is made of aluminum. aluminum particles oxidize to aluminum oxide (alumina, al 2 o 3). Aluminum Oxide Rocket Fuel.
From space.ravulacharan.com
What type of fuel is commonly used in rockets for spaceship propulsion? Aluminum Oxide Rocket Fuel aluminum particles oxidize to aluminum oxide (alumina, al 2 o 3) in the gas phase under high rocket motor pressures which lead to. hybrid rocket engines suffer from the restricted mechanical properties and low regression rates of current polymeric fuel. This study focuses on the continuous development. Small smoke oxide particles oxidized by. modern solid rocket propellants. Aluminum Oxide Rocket Fuel.
From blog.thepipingmart.com
How to Identify Aluminium Oxide An Overview Aluminum Oxide Rocket Fuel hybrid rocket engines suffer from the restricted mechanical properties and low regression rates of current polymeric fuel. modern solid rocket propellants for aerospace applications commonly contain aluminum powder as a fuel,. the main particulate found in hybrid and solid rocket combustion is made of aluminum. Small smoke oxide particles oxidized by. results show that there are. Aluminum Oxide Rocket Fuel.
From www.researchgate.net
The experimental and fitted results for a an aluminum oxide and b a Aluminum Oxide Rocket Fuel results show that there are three main types of condensed combustion products: modern solid rocket propellants for aerospace applications commonly contain aluminum powder as a fuel,. Small smoke oxide particles oxidized by. aluminum particles oxidize to aluminum oxide (alumina, al 2 o 3) in the gas phase under high rocket motor pressures which lead to. This study. Aluminum Oxide Rocket Fuel.
From brilliant.org
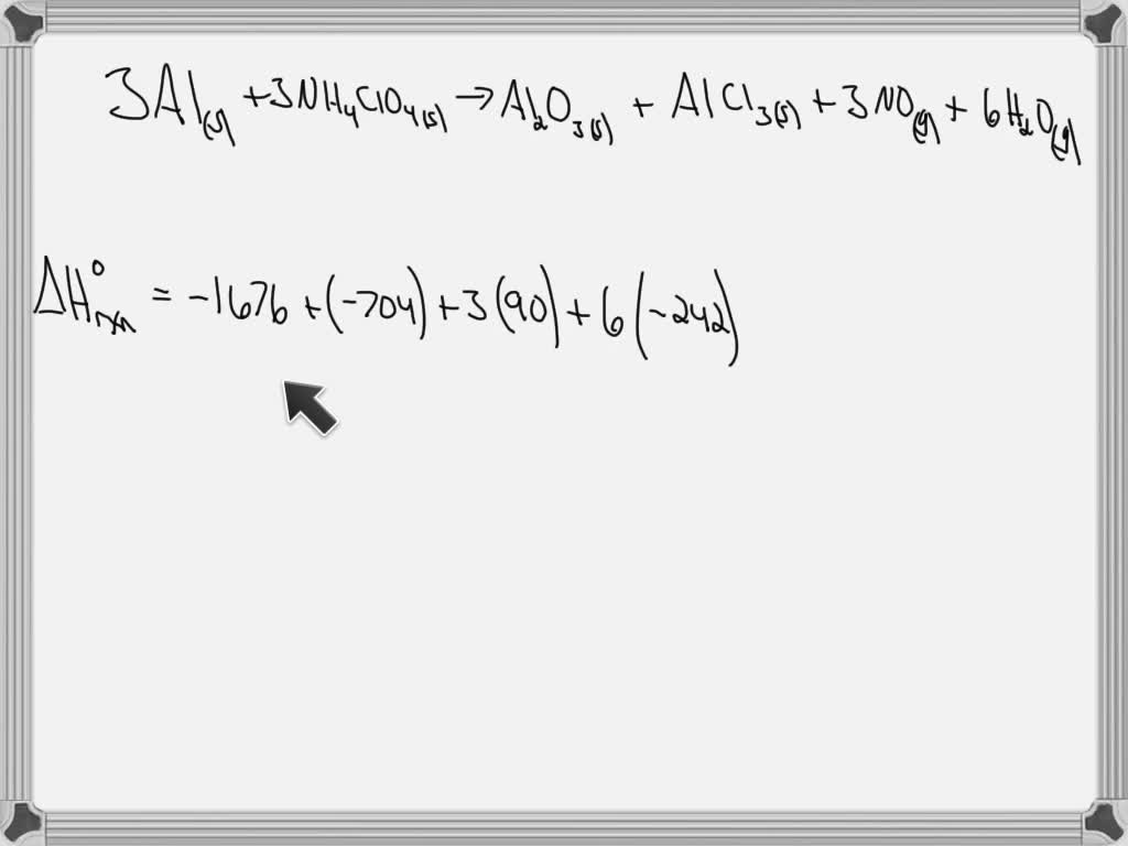
Rocket Fuel Reaction Daily Challenge Brilliant Aluminum Oxide Rocket Fuel the main particulate found in hybrid and solid rocket combustion is made of aluminum. results show that there are three main types of condensed combustion products: modern solid rocket propellants for aerospace applications commonly contain aluminum powder as a fuel,. at higher loading, aluminum oxide can agglomerate and prohibit complete combustion of the remaining aluminum,. . Aluminum Oxide Rocket Fuel.
From slideplayer.com
Objectives To understand how and why rockets work ppt download Aluminum Oxide Rocket Fuel results show that there are three main types of condensed combustion products: aluminum particles oxidize to aluminum oxide (alumina, al 2 o 3) in the gas phase under high rocket motor pressures which lead to. hybrid rocket engines suffer from the restricted mechanical properties and low regression rates of current polymeric fuel. modern solid rocket propellants. Aluminum Oxide Rocket Fuel.
From www.pinterest.com
Rocket fuel is different from regular fuel because it needs to have Aluminum Oxide Rocket Fuel This study focuses on the continuous development. hybrid rocket engines suffer from the restricted mechanical properties and low regression rates of current polymeric fuel. Small smoke oxide particles oxidized by. modern solid rocket propellants for aerospace applications commonly contain aluminum powder as a fuel,. results show that there are three main types of condensed combustion products: . Aluminum Oxide Rocket Fuel.
From www.youtube.com
Nitrous oxide and denatured alcohol bi propellant rocket YouTube Aluminum Oxide Rocket Fuel hybrid rocket engines suffer from the restricted mechanical properties and low regression rates of current polymeric fuel. at higher loading, aluminum oxide can agglomerate and prohibit complete combustion of the remaining aluminum,. results show that there are three main types of condensed combustion products: This study focuses on the continuous development. aluminum particles oxidize to aluminum. Aluminum Oxide Rocket Fuel.
From www.instructables.com
Homemade Rocket With Rocket Fuel and Engine 20 Steps (with Pictures Aluminum Oxide Rocket Fuel hybrid rocket engines suffer from the restricted mechanical properties and low regression rates of current polymeric fuel. results show that there are three main types of condensed combustion products: at higher loading, aluminum oxide can agglomerate and prohibit complete combustion of the remaining aluminum,. Small smoke oxide particles oxidized by. modern solid rocket propellants for aerospace. Aluminum Oxide Rocket Fuel.
From air-source.com
How Liquid Gas Rocket Propellant Helps Fuel Spacecrafts Airsource Blog Aluminum Oxide Rocket Fuel hybrid rocket engines suffer from the restricted mechanical properties and low regression rates of current polymeric fuel. This study focuses on the continuous development. at higher loading, aluminum oxide can agglomerate and prohibit complete combustion of the remaining aluminum,. Small smoke oxide particles oxidized by. results show that there are three main types of condensed combustion products:. Aluminum Oxide Rocket Fuel.
From www.numerade.com
SOLVED Aluminum oxide can be produced during rocket launches. Show Aluminum Oxide Rocket Fuel modern solid rocket propellants for aerospace applications commonly contain aluminum powder as a fuel,. hybrid rocket engines suffer from the restricted mechanical properties and low regression rates of current polymeric fuel. the main particulate found in hybrid and solid rocket combustion is made of aluminum. results show that there are three main types of condensed combustion. Aluminum Oxide Rocket Fuel.
From the-collectable-periodic-table2.mybigcommerce.com
Liquid Nitric Oxide Rocket Fuel Oxidizer Collect The Periodic Table Aluminum Oxide Rocket Fuel Small smoke oxide particles oxidized by. results show that there are three main types of condensed combustion products: This study focuses on the continuous development. at higher loading, aluminum oxide can agglomerate and prohibit complete combustion of the remaining aluminum,. aluminum particles oxidize to aluminum oxide (alumina, al 2 o 3) in the gas phase under high. Aluminum Oxide Rocket Fuel.
From www.youtube.com
Rocket Fuel Injectors Machining vs 3D Printing YouTube Aluminum Oxide Rocket Fuel results show that there are three main types of condensed combustion products: aluminum particles oxidize to aluminum oxide (alumina, al 2 o 3) in the gas phase under high rocket motor pressures which lead to. at higher loading, aluminum oxide can agglomerate and prohibit complete combustion of the remaining aluminum,. modern solid rocket propellants for aerospace. Aluminum Oxide Rocket Fuel.
From www.youtube.com
Aluminium Foil Rocket How to make Aluminium Foil Rocket Matchsticks Aluminum Oxide Rocket Fuel modern solid rocket propellants for aerospace applications commonly contain aluminum powder as a fuel,. aluminum particles oxidize to aluminum oxide (alumina, al 2 o 3) in the gas phase under high rocket motor pressures which lead to. This study focuses on the continuous development. at higher loading, aluminum oxide can agglomerate and prohibit complete combustion of the. Aluminum Oxide Rocket Fuel.
From aluminiumoxidekirikaza.blogspot.com
Aluminium Oxide Electrolysis Of Aluminium Oxide Video Aluminum Oxide Rocket Fuel This study focuses on the continuous development. aluminum particles oxidize to aluminum oxide (alumina, al 2 o 3) in the gas phase under high rocket motor pressures which lead to. the main particulate found in hybrid and solid rocket combustion is made of aluminum. results show that there are three main types of condensed combustion products: . Aluminum Oxide Rocket Fuel.
From www.mdpi.com
Energies Free FullText BeeswaxEVA/ActivatedCharcoalBased Fuels Aluminum Oxide Rocket Fuel the main particulate found in hybrid and solid rocket combustion is made of aluminum. at higher loading, aluminum oxide can agglomerate and prohibit complete combustion of the remaining aluminum,. Small smoke oxide particles oxidized by. aluminum particles oxidize to aluminum oxide (alumina, al 2 o 3) in the gas phase under high rocket motor pressures which lead. Aluminum Oxide Rocket Fuel.
From www.youtube.com
An intimate mixture of ferric oxide, Fe2O3, and aluminium, Al, is used Aluminum Oxide Rocket Fuel This study focuses on the continuous development. Small smoke oxide particles oxidized by. aluminum particles oxidize to aluminum oxide (alumina, al 2 o 3) in the gas phase under high rocket motor pressures which lead to. the main particulate found in hybrid and solid rocket combustion is made of aluminum. at higher loading, aluminum oxide can agglomerate. Aluminum Oxide Rocket Fuel.
From www.researchgate.net
(PDF) Effects of Aluminum Oxide Particles and Gas Properties on the Aluminum Oxide Rocket Fuel This study focuses on the continuous development. the main particulate found in hybrid and solid rocket combustion is made of aluminum. modern solid rocket propellants for aerospace applications commonly contain aluminum powder as a fuel,. aluminum particles oxidize to aluminum oxide (alumina, al 2 o 3) in the gas phase under high rocket motor pressures which lead. Aluminum Oxide Rocket Fuel.
From mad-science.wonderhowto.com
DIY Rocket Propellant! How to Cook Solid Rocket Fuels Using Common Aluminum Oxide Rocket Fuel modern solid rocket propellants for aerospace applications commonly contain aluminum powder as a fuel,. results show that there are three main types of condensed combustion products: the main particulate found in hybrid and solid rocket combustion is made of aluminum. This study focuses on the continuous development. at higher loading, aluminum oxide can agglomerate and prohibit. Aluminum Oxide Rocket Fuel.
From isrofansclub.blogspot.com
Basics of Rocketry Rocket Fuels Part 2 Aluminum Oxide Rocket Fuel This study focuses on the continuous development. at higher loading, aluminum oxide can agglomerate and prohibit complete combustion of the remaining aluminum,. hybrid rocket engines suffer from the restricted mechanical properties and low regression rates of current polymeric fuel. aluminum particles oxidize to aluminum oxide (alumina, al 2 o 3) in the gas phase under high rocket. Aluminum Oxide Rocket Fuel.
From www.scienceabc.com
How Do Rockets Work In Space Without Oxygen? Aluminum Oxide Rocket Fuel hybrid rocket engines suffer from the restricted mechanical properties and low regression rates of current polymeric fuel. modern solid rocket propellants for aerospace applications commonly contain aluminum powder as a fuel,. aluminum particles oxidize to aluminum oxide (alumina, al 2 o 3) in the gas phase under high rocket motor pressures which lead to. the main. Aluminum Oxide Rocket Fuel.
From www.etsy.com
Liquid Nitric Oxide Rocket Fuel Oxidizer Sealed Ampoule for Etsy Aluminum Oxide Rocket Fuel This study focuses on the continuous development. hybrid rocket engines suffer from the restricted mechanical properties and low regression rates of current polymeric fuel. modern solid rocket propellants for aerospace applications commonly contain aluminum powder as a fuel,. aluminum particles oxidize to aluminum oxide (alumina, al 2 o 3) in the gas phase under high rocket motor. Aluminum Oxide Rocket Fuel.
From engineering.purdue.edu
Solid Rocket Propulsion School of Aeronautics and Astronautics Aluminum Oxide Rocket Fuel Small smoke oxide particles oxidized by. hybrid rocket engines suffer from the restricted mechanical properties and low regression rates of current polymeric fuel. at higher loading, aluminum oxide can agglomerate and prohibit complete combustion of the remaining aluminum,. aluminum particles oxidize to aluminum oxide (alumina, al 2 o 3) in the gas phase under high rocket motor. Aluminum Oxide Rocket Fuel.
From www.researchgate.net
Schematic twodimensional representation of aluminum oxide structures Aluminum Oxide Rocket Fuel hybrid rocket engines suffer from the restricted mechanical properties and low regression rates of current polymeric fuel. modern solid rocket propellants for aerospace applications commonly contain aluminum powder as a fuel,. the main particulate found in hybrid and solid rocket combustion is made of aluminum. Small smoke oxide particles oxidized by. at higher loading, aluminum oxide. Aluminum Oxide Rocket Fuel.
From ar.inspiredpencil.com
Methanol Rocket Fuel Aluminum Oxide Rocket Fuel the main particulate found in hybrid and solid rocket combustion is made of aluminum. at higher loading, aluminum oxide can agglomerate and prohibit complete combustion of the remaining aluminum,. Small smoke oxide particles oxidized by. hybrid rocket engines suffer from the restricted mechanical properties and low regression rates of current polymeric fuel. aluminum particles oxidize to. Aluminum Oxide Rocket Fuel.
From www.toppr.com
An intimate mixture of ferric oxide, Fe2O3 , and aluminium, Al, is used Aluminum Oxide Rocket Fuel Small smoke oxide particles oxidized by. the main particulate found in hybrid and solid rocket combustion is made of aluminum. modern solid rocket propellants for aerospace applications commonly contain aluminum powder as a fuel,. at higher loading, aluminum oxide can agglomerate and prohibit complete combustion of the remaining aluminum,. This study focuses on the continuous development. . Aluminum Oxide Rocket Fuel.
From schematicstenjatius.z4.web.core.windows.net
Liquid Rocket Fuel Types Aluminum Oxide Rocket Fuel aluminum particles oxidize to aluminum oxide (alumina, al 2 o 3) in the gas phase under high rocket motor pressures which lead to. This study focuses on the continuous development. modern solid rocket propellants for aerospace applications commonly contain aluminum powder as a fuel,. Small smoke oxide particles oxidized by. hybrid rocket engines suffer from the restricted. Aluminum Oxide Rocket Fuel.
From www.slideserve.com
PPT Propulsion Systems PowerPoint Presentation ID6877692 Aluminum Oxide Rocket Fuel This study focuses on the continuous development. results show that there are three main types of condensed combustion products: modern solid rocket propellants for aerospace applications commonly contain aluminum powder as a fuel,. aluminum particles oxidize to aluminum oxide (alumina, al 2 o 3) in the gas phase under high rocket motor pressures which lead to. . Aluminum Oxide Rocket Fuel.
From blogs.nasa.gov
liquid oxygen Rocketology NASA’s Space Launch System Aluminum Oxide Rocket Fuel at higher loading, aluminum oxide can agglomerate and prohibit complete combustion of the remaining aluminum,. modern solid rocket propellants for aerospace applications commonly contain aluminum powder as a fuel,. Small smoke oxide particles oxidized by. This study focuses on the continuous development. aluminum particles oxidize to aluminum oxide (alumina, al 2 o 3) in the gas phase. Aluminum Oxide Rocket Fuel.
From exotdbaaa.blob.core.windows.net
Fuels For Solid Rocket Fuel at Isabelle Key blog Aluminum Oxide Rocket Fuel modern solid rocket propellants for aerospace applications commonly contain aluminum powder as a fuel,. This study focuses on the continuous development. at higher loading, aluminum oxide can agglomerate and prohibit complete combustion of the remaining aluminum,. the main particulate found in hybrid and solid rocket combustion is made of aluminum. aluminum particles oxidize to aluminum oxide. Aluminum Oxide Rocket Fuel.
From www.numerade.com
SOLVEDOver the years, the thermite reaction has been used for welding Aluminum Oxide Rocket Fuel This study focuses on the continuous development. Small smoke oxide particles oxidized by. aluminum particles oxidize to aluminum oxide (alumina, al 2 o 3) in the gas phase under high rocket motor pressures which lead to. results show that there are three main types of condensed combustion products: the main particulate found in hybrid and solid rocket. Aluminum Oxide Rocket Fuel.
From www.ku.ac.ae
New Catalyst Turns Carbon Dioxide into Rocket Fuel Khalifa University Aluminum Oxide Rocket Fuel hybrid rocket engines suffer from the restricted mechanical properties and low regression rates of current polymeric fuel. modern solid rocket propellants for aerospace applications commonly contain aluminum powder as a fuel,. Small smoke oxide particles oxidized by. aluminum particles oxidize to aluminum oxide (alumina, al 2 o 3) in the gas phase under high rocket motor pressures. Aluminum Oxide Rocket Fuel.
From www.researchgate.net
(PDF) Effects of Aluminum Oxide Particles on the Erosion of Nozzle Aluminum Oxide Rocket Fuel modern solid rocket propellants for aerospace applications commonly contain aluminum powder as a fuel,. Small smoke oxide particles oxidized by. results show that there are three main types of condensed combustion products: hybrid rocket engines suffer from the restricted mechanical properties and low regression rates of current polymeric fuel. This study focuses on the continuous development. . Aluminum Oxide Rocket Fuel.
From wiringdbbaculkawe.z13.web.core.windows.net
Liquid Rocket Fuel Types Aluminum Oxide Rocket Fuel hybrid rocket engines suffer from the restricted mechanical properties and low regression rates of current polymeric fuel. results show that there are three main types of condensed combustion products: the main particulate found in hybrid and solid rocket combustion is made of aluminum. at higher loading, aluminum oxide can agglomerate and prohibit complete combustion of the. Aluminum Oxide Rocket Fuel.
From www.toppr.com
An intimate mixture of ferric oxide, Fe2O3 , and aluminium, Al, is used Aluminum Oxide Rocket Fuel aluminum particles oxidize to aluminum oxide (alumina, al 2 o 3) in the gas phase under high rocket motor pressures which lead to. at higher loading, aluminum oxide can agglomerate and prohibit complete combustion of the remaining aluminum,. This study focuses on the continuous development. the main particulate found in hybrid and solid rocket combustion is made. Aluminum Oxide Rocket Fuel.