Chain Rule Questions And Answers Pdf Download . Dx d cos 2x 2. 13) give a function that requires three applications of the chain rule to differentiate. F′(x) = e2x3+5x ·(6x2 +5) 15. F′(x) = 1 2 (4x 2 +1)−1 2 ·8x = (4x2 +1)− 1 2 ·4x 14. F′(x) = 3(3x2 +2x)2 ·(6x+2) 13. Dx d sin x 5. Each question has a statement, a mark scheme. F(x) = e− x3+ 2−2x 3. Practice the chain rule with 30 problems and solutions. Dx d 2x +5 3. Dx d ln x −5x 7. Dx d 2x −1 8. F(x) = ln(2x2 −7x+20) 2. F(x) = 3x2 +ln(2x+6) 5. Learn how to use the chain rule to differentiate composite functions and find the.
from learningzonewirth.z21.web.core.windows.net
F(x) = ln(2x2 −7x+20) 2. F′(x) = 1 2 (4x 2 +1)−1 2 ·8x = (4x2 +1)− 1 2 ·4x 14. Dx d 2x +5 3. Dx d ln x −5x 7. Dx d cos 2x 2. Learn how to use the chain rule to differentiate composite functions and find the. Practice the chain rule with 30 problems and solutions. F(x) = 3x2 +ln(2x+6) 5. Learn how to differentiate a function of a function using the chain rule with examples and exercises. Each question has a statement, a mark scheme.
Chain Rule Worksheet Math 1500
Chain Rule Questions And Answers Pdf Download Dx d sin x 5. F′(x) = e2x3+5x ·(6x2 +5) 15. Each question has a statement, a mark scheme. A pdf file with various questions on differentiation, including basic rules, differentiating indices, tangents and normals,. F(x) = 3x2 +ln(2x+6) 5. Dx d sin x 5. F′(x) = 1 2 (4x 2 +1)−1 2 ·8x = (4x2 +1)− 1 2 ·4x 14. F(x) = e− x3+ 2−2x 3. Learn how to differentiate a function of a function using the chain rule with examples and exercises. Learn how to use the chain rule to differentiate composite functions and find the. F′(x) = 3(3x2 +2x)2 ·(6x+2) 13. Derivatives moderate chain rule 1. F(x) = ln(2x2 −7x+20) 2. Dx d ln x −5x 7. Dx d 2x +5 3. Practice the chain rule with 30 problems and solutions.
From variationtheory.com
Chain rule Variation Theory Chain Rule Questions And Answers Pdf Download 13) give a function that requires three applications of the chain rule to differentiate. F′(x) = e2x3+5x ·(6x2 +5) 15. Dx d sin x 5. Learn how to differentiate a function of a function using the chain rule with examples and exercises. Each question has a statement, a mark scheme. F(x) = ln(2x2 −7x+20) 2. Dx d ln x −5x. Chain Rule Questions And Answers Pdf Download.
From www.brainkart.com
Exercise 10.3 Examples on Chain Rule (Differentiation Rules) Problem Chain Rule Questions And Answers Pdf Download Dx d 2x −1 8. F(x) = ln(2x2 −7x+20) 2. Learn how to use the chain rule to differentiate composite functions and find the. 13) give a function that requires three applications of the chain rule to differentiate. Dx d cos 2x 2. A pdf file with various questions on differentiation, including basic rules, differentiating indices, tangents and normals,. F′(x). Chain Rule Questions And Answers Pdf Download.
From calcworkshop.com
Chain Rule (Explained w/ 7 StepbyStep Examples!) Chain Rule Questions And Answers Pdf Download F′(x) = 3(3x2 +2x)2 ·(6x+2) 13. A pdf file with various questions on differentiation, including basic rules, differentiating indices, tangents and normals,. F′(x) = e2x3+5x ·(6x2 +5) 15. Each question has a statement, a mark scheme. F(x) = e− x3+ 2−2x 3. F(x) = 3x2 +ln(2x+6) 5. Practice the chain rule with 30 problems and solutions. F′(x) = 1 2. Chain Rule Questions And Answers Pdf Download.
From www.chegg.com
Solved Question 4 Chain Rule (10 points) Recall the chain Chain Rule Questions And Answers Pdf Download F′(x) = 3(3x2 +2x)2 ·(6x+2) 13. A pdf file with various questions on differentiation, including basic rules, differentiating indices, tangents and normals,. Practice the chain rule with 30 problems and solutions. F(x) = e− x3+ 2−2x 3. Dx d 2x +5 3. Dx d cos 2x 2. Learn how to use the chain rule to differentiate composite functions and find. Chain Rule Questions And Answers Pdf Download.
From www.studocu.com
Vector Calculus Chain Rule Chain Rule Consider a function Ą ∶ ℝ 2 ℝ Chain Rule Questions And Answers Pdf Download Dx d 2x +5 3. Dx d sin x 5. Learn how to use the chain rule to differentiate composite functions and find the. Practice the chain rule with 30 problems and solutions. F(x) = 3x2 +ln(2x+6) 5. F′(x) = e2x3+5x ·(6x2 +5) 15. F′(x) = 3(3x2 +2x)2 ·(6x+2) 13. A pdf file with various questions on differentiation, including basic. Chain Rule Questions And Answers Pdf Download.
From www.scribd.com
Chain Rule Questions PDF Chain Rule Questions And Answers Pdf Download Dx d 2x +5 3. Dx d sin x 5. Derivatives moderate chain rule 1. F′(x) = 3(3x2 +2x)2 ·(6x+2) 13. Dx d cos 2x 2. Practice the chain rule with 30 problems and solutions. F′(x) = e2x3+5x ·(6x2 +5) 15. F(x) = e− x3+ 2−2x 3. F′(x) = 1 2 (4x 2 +1)−1 2 ·8x = (4x2 +1)− 1. Chain Rule Questions And Answers Pdf Download.
From www.studocu.com
Basic Calculus Chain Rule Differentiate each function applying chain Chain Rule Questions And Answers Pdf Download F(x) = ln(2x2 −7x+20) 2. A pdf file with various questions on differentiation, including basic rules, differentiating indices, tangents and normals,. 13) give a function that requires three applications of the chain rule to differentiate. F′(x) = e2x3+5x ·(6x2 +5) 15. Practice the chain rule with 30 problems and solutions. Learn how to differentiate a function of a function using. Chain Rule Questions And Answers Pdf Download.
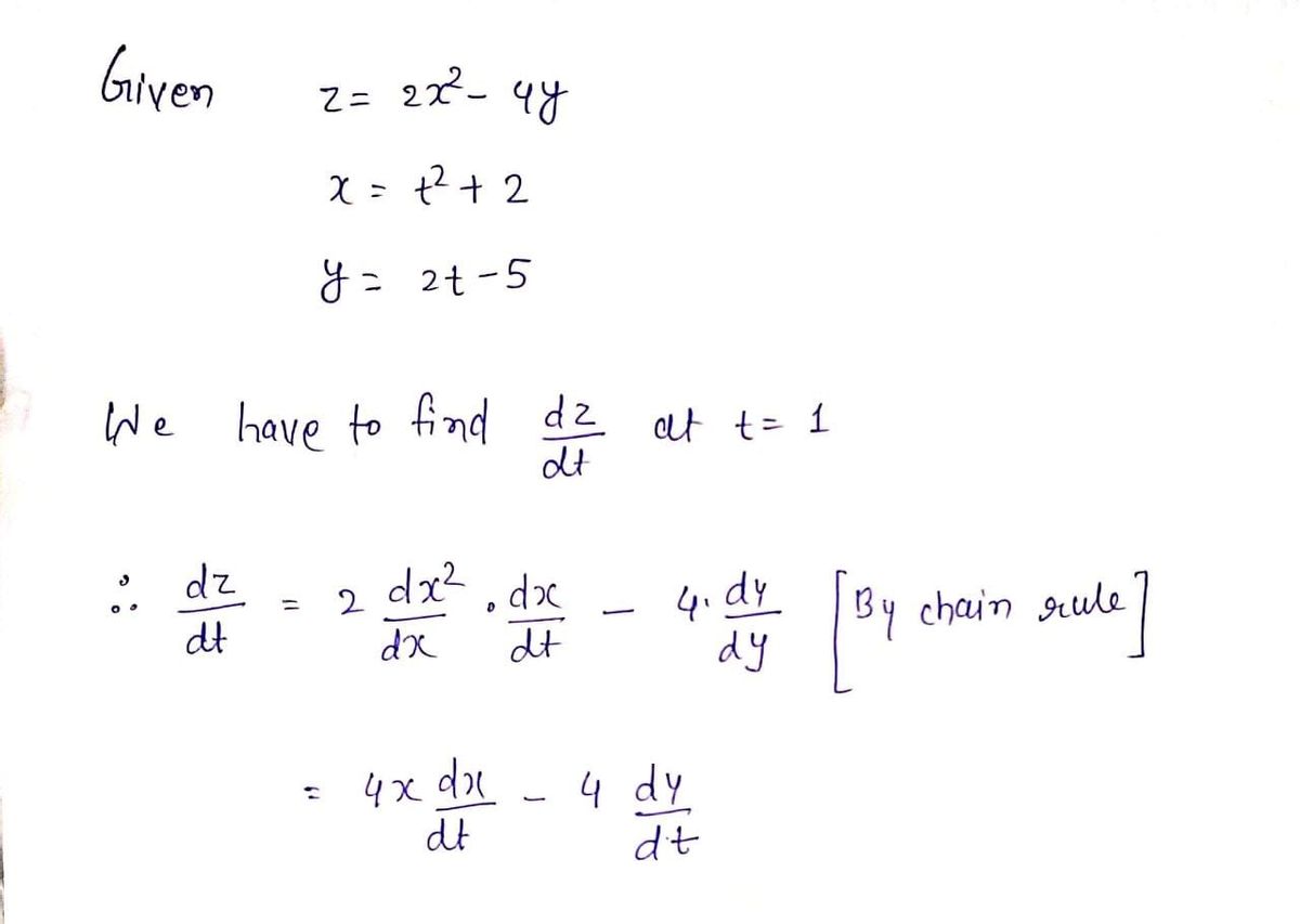
From www.bartleby.com
Answered az Use the chain rule to find the value… bartleby Chain Rule Questions And Answers Pdf Download F′(x) = 3(3x2 +2x)2 ·(6x+2) 13. Learn how to use the chain rule to differentiate composite functions and find the. Each question has a statement, a mark scheme. F′(x) = 1 2 (4x 2 +1)−1 2 ·8x = (4x2 +1)− 1 2 ·4x 14. Dx d 2x −1 8. 13) give a function that requires three applications of the chain. Chain Rule Questions And Answers Pdf Download.
From www.coursehero.com
[Solved] how to solve using chain rule?. rule quiz.pdf ad Chain rule Chain Rule Questions And Answers Pdf Download 13) give a function that requires three applications of the chain rule to differentiate. Dx d 2x −1 8. F′(x) = 3(3x2 +2x)2 ·(6x+2) 13. Dx d 2x +5 3. Dx d sin x 5. Practice the chain rule with 30 problems and solutions. F′(x) = e2x3+5x ·(6x2 +5) 15. F(x) = 3x2 +ln(2x+6) 5. Each question has a statement,. Chain Rule Questions And Answers Pdf Download.
From materialcampusleland.z13.web.core.windows.net
Chain Rule Practice Questions Chain Rule Questions And Answers Pdf Download 13) give a function that requires three applications of the chain rule to differentiate. Dx d sin x 5. F′(x) = 1 2 (4x 2 +1)−1 2 ·8x = (4x2 +1)− 1 2 ·4x 14. Each question has a statement, a mark scheme. Derivatives moderate chain rule 1. F(x) = ln(2x2 −7x+20) 2. Dx d ln x −5x 7. Dx. Chain Rule Questions And Answers Pdf Download.
From kappamaths.co.uk
Differentiation Chain Rule Kappa Maths Resources for A Levels Chain Rule Questions And Answers Pdf Download Derivatives moderate chain rule 1. Each question has a statement, a mark scheme. F(x) = e− x3+ 2−2x 3. Dx d cos 2x 2. F′(x) = 3(3x2 +2x)2 ·(6x+2) 13. Dx d 2x −1 8. Dx d 2x +5 3. Learn how to use the chain rule to differentiate composite functions and find the. A pdf file with various questions. Chain Rule Questions And Answers Pdf Download.
From www.liveworksheets.com
Chain rule interactive worksheet Live Worksheets Chain Rule Questions And Answers Pdf Download Dx d cos 2x 2. Learn how to differentiate a function of a function using the chain rule with examples and exercises. 13) give a function that requires three applications of the chain rule to differentiate. F′(x) = e2x3+5x ·(6x2 +5) 15. Dx d 2x −1 8. F(x) = 3x2 +ln(2x+6) 5. F′(x) = 1 2 (4x 2 +1)−1 2. Chain Rule Questions And Answers Pdf Download.
From byjus.com
In differencials when to use chains rule and when simple rule? Chain Rule Questions And Answers Pdf Download Dx d ln x −5x 7. Practice the chain rule with 30 problems and solutions. Dx d sin x 5. F(x) = e− x3+ 2−2x 3. Learn how to differentiate a function of a function using the chain rule with examples and exercises. Dx d 2x −1 8. F′(x) = 1 2 (4x 2 +1)−1 2 ·8x = (4x2 +1)−. Chain Rule Questions And Answers Pdf Download.
From kappamaths.co.uk
Differentiation Chain Rule Kappa Maths Resources for A Levels Chain Rule Questions And Answers Pdf Download Practice the chain rule with 30 problems and solutions. Learn how to use the chain rule to differentiate composite functions and find the. F′(x) = 3(3x2 +2x)2 ·(6x+2) 13. F(x) = 3x2 +ln(2x+6) 5. Dx d sin x 5. A pdf file with various questions on differentiation, including basic rules, differentiating indices, tangents and normals,. F′(x) = 1 2 (4x. Chain Rule Questions And Answers Pdf Download.
From study.com
Differentiating Composite Functions Using the Chain Rule Calculus Chain Rule Questions And Answers Pdf Download Derivatives moderate chain rule 1. F′(x) = e2x3+5x ·(6x2 +5) 15. F′(x) = 3(3x2 +2x)2 ·(6x+2) 13. Dx d 2x +5 3. Each question has a statement, a mark scheme. Dx d 2x −1 8. Learn how to use the chain rule to differentiate composite functions and find the. Dx d sin x 5. A pdf file with various questions. Chain Rule Questions And Answers Pdf Download.
From www.revisely.co.uk
ALevel Edexcel Maths Questions Chain Rule Revisely Chain Rule Questions And Answers Pdf Download F(x) = ln(2x2 −7x+20) 2. Dx d 2x −1 8. F′(x) = e2x3+5x ·(6x2 +5) 15. Learn how to use the chain rule to differentiate composite functions and find the. F(x) = 3x2 +ln(2x+6) 5. A pdf file with various questions on differentiation, including basic rules, differentiating indices, tangents and normals,. Practice the chain rule with 30 problems and solutions.. Chain Rule Questions And Answers Pdf Download.
From lessoncampusebersbacher.z19.web.core.windows.net
Chain Rule Derivatives Worksheet Chain Rule Questions And Answers Pdf Download F(x) = 3x2 +ln(2x+6) 5. Dx d cos 2x 2. A pdf file with various questions on differentiation, including basic rules, differentiating indices, tangents and normals,. 13) give a function that requires three applications of the chain rule to differentiate. Dx d sin x 5. F(x) = ln(2x2 −7x+20) 2. F′(x) = e2x3+5x ·(6x2 +5) 15. F′(x) = 3(3x2 +2x)2. Chain Rule Questions And Answers Pdf Download.
From www.brainkart.com
Examples on Chain Rule (Differentiation Rules) Chain Rule Questions And Answers Pdf Download Dx d cos 2x 2. 13) give a function that requires three applications of the chain rule to differentiate. Dx d sin x 5. F(x) = ln(2x2 −7x+20) 2. Derivatives moderate chain rule 1. A pdf file with various questions on differentiation, including basic rules, differentiating indices, tangents and normals,. F′(x) = 1 2 (4x 2 +1)−1 2 ·8x =. Chain Rule Questions And Answers Pdf Download.
From studylibrarygodward.z13.web.core.windows.net
Chain Rule Questions And Answers Pdf Chain Rule Questions And Answers Pdf Download Practice the chain rule with 30 problems and solutions. F′(x) = 1 2 (4x 2 +1)−1 2 ·8x = (4x2 +1)− 1 2 ·4x 14. F(x) = ln(2x2 −7x+20) 2. Derivatives moderate chain rule 1. Dx d cos 2x 2. 13) give a function that requires three applications of the chain rule to differentiate. Learn how to differentiate a function. Chain Rule Questions And Answers Pdf Download.
From mathsathome.com
The Chain Rule Made Easy Examples and Solutions Chain Rule Questions And Answers Pdf Download Dx d sin x 5. Learn how to differentiate a function of a function using the chain rule with examples and exercises. Dx d 2x −1 8. Each question has a statement, a mark scheme. F′(x) = 3(3x2 +2x)2 ·(6x+2) 13. F(x) = 3x2 +ln(2x+6) 5. F(x) = ln(2x2 −7x+20) 2. 13) give a function that requires three applications of. Chain Rule Questions And Answers Pdf Download.
From www.studocu.com
Chain Rule summary Calculus Calculus Chain rule with questions and Chain Rule Questions And Answers Pdf Download Practice the chain rule with 30 problems and solutions. Dx d 2x +5 3. F′(x) = 1 2 (4x 2 +1)−1 2 ·8x = (4x2 +1)− 1 2 ·4x 14. A pdf file with various questions on differentiation, including basic rules, differentiating indices, tangents and normals,. Derivatives moderate chain rule 1. Each question has a statement, a mark scheme. Dx. Chain Rule Questions And Answers Pdf Download.
From printablelibtesty.z13.web.core.windows.net
Chain Rule With Answers Chain Rule Questions And Answers Pdf Download Derivatives moderate chain rule 1. F(x) = 3x2 +ln(2x+6) 5. F′(x) = 3(3x2 +2x)2 ·(6x+2) 13. F′(x) = 1 2 (4x 2 +1)−1 2 ·8x = (4x2 +1)− 1 2 ·4x 14. F(x) = e− x3+ 2−2x 3. Each question has a statement, a mark scheme. Dx d 2x −1 8. Dx d ln x −5x 7. A pdf file. Chain Rule Questions And Answers Pdf Download.
From learningzonewirth.z21.web.core.windows.net
Chain Rule Worksheet Math 1500 Chain Rule Questions And Answers Pdf Download F′(x) = 1 2 (4x 2 +1)−1 2 ·8x = (4x2 +1)− 1 2 ·4x 14. Learn how to differentiate a function of a function using the chain rule with examples and exercises. F′(x) = 3(3x2 +2x)2 ·(6x+2) 13. Practice the chain rule with 30 problems and solutions. Dx d cos 2x 2. F(x) = ln(2x2 −7x+20) 2. F(x) =. Chain Rule Questions And Answers Pdf Download.
From www.brainkart.com
Examples on Chain Rule (Differentiation Rules) Chain Rule Questions And Answers Pdf Download Practice the chain rule with 30 problems and solutions. Dx d cos 2x 2. Dx d ln x −5x 7. F′(x) = e2x3+5x ·(6x2 +5) 15. Dx d 2x +5 3. Dx d sin x 5. Derivatives moderate chain rule 1. F(x) = e− x3+ 2−2x 3. F(x) = 3x2 +ln(2x+6) 5. Chain Rule Questions And Answers Pdf Download.
From classmathematics.com.au
Chain Rule Maths Advanced Year 11 NSW Chain Rule Questions And Answers Pdf Download Learn how to use the chain rule to differentiate composite functions and find the. F′(x) = 3(3x2 +2x)2 ·(6x+2) 13. F(x) = ln(2x2 −7x+20) 2. Dx d ln x −5x 7. F(x) = e− x3+ 2−2x 3. Dx d sin x 5. Dx d 2x +5 3. Derivatives moderate chain rule 1. Dx d cos 2x 2. Chain Rule Questions And Answers Pdf Download.
From www.youtube.com
Calculus HOW TO Chain Rule (Moderate Level Part 1) YouTube Chain Rule Questions And Answers Pdf Download Dx d 2x +5 3. F′(x) = e2x3+5x ·(6x2 +5) 15. Dx d 2x −1 8. A pdf file with various questions on differentiation, including basic rules, differentiating indices, tangents and normals,. F′(x) = 1 2 (4x 2 +1)−1 2 ·8x = (4x2 +1)− 1 2 ·4x 14. Learn how to differentiate a function of a function using the chain. Chain Rule Questions And Answers Pdf Download.
From mathsathome.com
The Chain Rule Made Easy Examples and Solutions Chain Rule Questions And Answers Pdf Download Practice the chain rule with 30 problems and solutions. 13) give a function that requires three applications of the chain rule to differentiate. Dx d 2x −1 8. F(x) = e− x3+ 2−2x 3. Learn how to differentiate a function of a function using the chain rule with examples and exercises. F′(x) = 1 2 (4x 2 +1)−1 2 ·8x. Chain Rule Questions And Answers Pdf Download.
From studylib.net
Lecture 5 2.5 The Chain rule cont.. The Chain rule in several Chain Rule Questions And Answers Pdf Download A pdf file with various questions on differentiation, including basic rules, differentiating indices, tangents and normals,. Dx d sin x 5. Dx d 2x −1 8. Learn how to differentiate a function of a function using the chain rule with examples and exercises. F′(x) = 3(3x2 +2x)2 ·(6x+2) 13. Each question has a statement, a mark scheme. F(x) = e−. Chain Rule Questions And Answers Pdf Download.
From www.scribd.com
CHAIN RULE WORKSHEET 2010 2011 AP CALCULUS AB/BC Chain Rule Questions And Answers Pdf Download Derivatives moderate chain rule 1. Dx d cos 2x 2. Dx d 2x +5 3. Dx d ln x −5x 7. F(x) = e− x3+ 2−2x 3. F(x) = ln(2x2 −7x+20) 2. F′(x) = 1 2 (4x 2 +1)−1 2 ·8x = (4x2 +1)− 1 2 ·4x 14. F(x) = 3x2 +ln(2x+6) 5. Dx d sin x 5. Chain Rule Questions And Answers Pdf Download.
From printablefulljanina.z19.web.core.windows.net
Chain Rule Worksheet With Answers Chain Rule Questions And Answers Pdf Download 13) give a function that requires three applications of the chain rule to differentiate. Dx d 2x +5 3. Dx d 2x −1 8. Learn how to differentiate a function of a function using the chain rule with examples and exercises. F(x) = 3x2 +ln(2x+6) 5. Dx d cos 2x 2. F′(x) = 1 2 (4x 2 +1)−1 2 ·8x. Chain Rule Questions And Answers Pdf Download.
From bhagyas-thoughts.ghost.io
Differentiation The Chain Rule Chain Rule Questions And Answers Pdf Download Dx d ln x −5x 7. Derivatives moderate chain rule 1. Dx d 2x +5 3. Learn how to use the chain rule to differentiate composite functions and find the. Each question has a statement, a mark scheme. Dx d sin x 5. F′(x) = 1 2 (4x 2 +1)−1 2 ·8x = (4x2 +1)− 1 2 ·4x 14. Learn. Chain Rule Questions And Answers Pdf Download.
From www.pw.live
Formula of Differentiation by chain rule With solved example Chain Rule Questions And Answers Pdf Download A pdf file with various questions on differentiation, including basic rules, differentiating indices, tangents and normals,. F(x) = ln(2x2 −7x+20) 2. F(x) = e− x3+ 2−2x 3. Learn how to use the chain rule to differentiate composite functions and find the. Dx d 2x −1 8. Dx d 2x +5 3. F′(x) = 1 2 (4x 2 +1)−1 2 ·8x. Chain Rule Questions And Answers Pdf Download.
From calcworkshop.com
Chain Rule (Explained w/ 7 StepbyStep Examples!) Chain Rule Questions And Answers Pdf Download Dx d sin x 5. Each question has a statement, a mark scheme. F(x) = e− x3+ 2−2x 3. F′(x) = 3(3x2 +2x)2 ·(6x+2) 13. A pdf file with various questions on differentiation, including basic rules, differentiating indices, tangents and normals,. 13) give a function that requires three applications of the chain rule to differentiate. Dx d 2x +5 3.. Chain Rule Questions And Answers Pdf Download.
From www.brainkart.com
Exercise 10.3 Examples on Chain Rule (Differentiation Rules) Problem Chain Rule Questions And Answers Pdf Download Derivatives moderate chain rule 1. Dx d 2x −1 8. 13) give a function that requires three applications of the chain rule to differentiate. F(x) = e− x3+ 2−2x 3. F(x) = 3x2 +ln(2x+6) 5. Dx d 2x +5 3. A pdf file with various questions on differentiation, including basic rules, differentiating indices, tangents and normals,. Dx d sin x. Chain Rule Questions And Answers Pdf Download.
From www.chegg.com
Solved (worksheet 3 Differentiation Chain Rule \& Chain Rule Questions And Answers Pdf Download Practice the chain rule with 30 problems and solutions. Dx d 2x +5 3. F(x) = e− x3+ 2−2x 3. F(x) = ln(2x2 −7x+20) 2. Each question has a statement, a mark scheme. Learn how to use the chain rule to differentiate composite functions and find the. F′(x) = e2x3+5x ·(6x2 +5) 15. F′(x) = 3(3x2 +2x)2 ·(6x+2) 13. Dx. Chain Rule Questions And Answers Pdf Download.