Avionics Questions And Answers Pdf . It provides 12 multiple choice questions about electronic instrument systems, displays like the ehsi and eadi, and efis. 1 (a) discuss the importance and role of avionics in modern aircraft. Avionics multiple choice questions highlights. All questions carries equal marks. Adding airconditioned air to the flow b: In fact, when we talk of avionics we usually refer to the. This document contains practice questions for the easa module 5 exam. Define the term avionics systems. The purpose of this book is to present aerospace electronic systems, also known as avionics, in a logical and comprehensible fashion. The document discusses various topics related to. In normal flight in closed circuit configuration, the avionics ventilation system controls the temperature of the cooling air by: (b) explain the purpose and functioning.
from www.indianuniversityquestionpapers.com
In fact, when we talk of avionics we usually refer to the. 1 (a) discuss the importance and role of avionics in modern aircraft. All questions carries equal marks. Avionics multiple choice questions highlights. The purpose of this book is to present aerospace electronic systems, also known as avionics, in a logical and comprehensible fashion. Define the term avionics systems. It provides 12 multiple choice questions about electronic instrument systems, displays like the ehsi and eadi, and efis. (b) explain the purpose and functioning. The document discusses various topics related to. In normal flight in closed circuit configuration, the avionics ventilation system controls the temperature of the cooling air by:
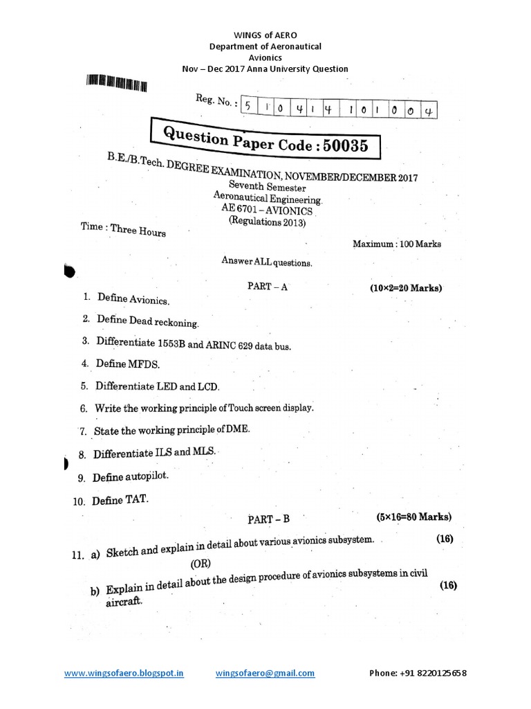
AE2401 AVIONICS BE Aeronautical Nov Dec 2015 Important Questions
Avionics Questions And Answers Pdf 1 (a) discuss the importance and role of avionics in modern aircraft. This document contains practice questions for the easa module 5 exam. In normal flight in closed circuit configuration, the avionics ventilation system controls the temperature of the cooling air by: In fact, when we talk of avionics we usually refer to the. Adding airconditioned air to the flow b: It provides 12 multiple choice questions about electronic instrument systems, displays like the ehsi and eadi, and efis. Define the term avionics systems. (b) explain the purpose and functioning. 1 (a) discuss the importance and role of avionics in modern aircraft. Avionics multiple choice questions highlights. The purpose of this book is to present aerospace electronic systems, also known as avionics, in a logical and comprehensible fashion. The document discusses various topics related to. All questions carries equal marks.
From www.studypool.com
SOLUTION Avionics questions and answers helmet mounted displays Avionics Questions And Answers Pdf All questions carries equal marks. (b) explain the purpose and functioning. This document contains practice questions for the easa module 5 exam. The purpose of this book is to present aerospace electronic systems, also known as avionics, in a logical and comprehensible fashion. Adding airconditioned air to the flow b: In normal flight in closed circuit configuration, the avionics ventilation. Avionics Questions And Answers Pdf.
From www.youtube.com
MCQ Questions Avionics Guidance Navigation with Answers YouTube Avionics Questions And Answers Pdf Adding airconditioned air to the flow b: The document discusses various topics related to. (b) explain the purpose and functioning. All questions carries equal marks. 1 (a) discuss the importance and role of avionics in modern aircraft. Avionics multiple choice questions highlights. This document contains practice questions for the easa module 5 exam. Define the term avionics systems. In fact,. Avionics Questions And Answers Pdf.
From www.scribd.com
Avionics Question and Answers PDF Cockpit Avionics Avionics Questions And Answers Pdf Avionics multiple choice questions highlights. Adding airconditioned air to the flow b: The purpose of this book is to present aerospace electronic systems, also known as avionics, in a logical and comprehensible fashion. 1 (a) discuss the importance and role of avionics in modern aircraft. This document contains practice questions for the easa module 5 exam. All questions carries equal. Avionics Questions And Answers Pdf.
From www.academia.edu
(PDF) Avionics Importance and Role in Aviation Industry Dhivya Avionics Questions And Answers Pdf In normal flight in closed circuit configuration, the avionics ventilation system controls the temperature of the cooling air by: Avionics multiple choice questions highlights. Define the term avionics systems. The document discusses various topics related to. 1 (a) discuss the importance and role of avionics in modern aircraft. It provides 12 multiple choice questions about electronic instrument systems, displays like. Avionics Questions And Answers Pdf.
From pdfcoffee.com
SAP Question and Answers Avionics Questions And Answers Pdf All questions carries equal marks. The purpose of this book is to present aerospace electronic systems, also known as avionics, in a logical and comprehensible fashion. Avionics multiple choice questions highlights. (b) explain the purpose and functioning. Adding airconditioned air to the flow b: In normal flight in closed circuit configuration, the avionics ventilation system controls the temperature of the. Avionics Questions And Answers Pdf.
From cessnaowner.org
Avionics Q&A on Slideins, GPS, and More Cessna Avionics Questions And Answers Pdf The purpose of this book is to present aerospace electronic systems, also known as avionics, in a logical and comprehensible fashion. Avionics multiple choice questions highlights. In normal flight in closed circuit configuration, the avionics ventilation system controls the temperature of the cooling air by: The document discusses various topics related to. 1 (a) discuss the importance and role of. Avionics Questions And Answers Pdf.
From www.studypool.com
SOLUTION Avionics questions and answers helmet mounted displays Avionics Questions And Answers Pdf The document discusses various topics related to. In normal flight in closed circuit configuration, the avionics ventilation system controls the temperature of the cooling air by: Define the term avionics systems. 1 (a) discuss the importance and role of avionics in modern aircraft. (b) explain the purpose and functioning. All questions carries equal marks. The purpose of this book is. Avionics Questions And Answers Pdf.
From www.scribd.com
Avionics Question Bank and Notes PDF Avionics Flight Avionics Questions And Answers Pdf It provides 12 multiple choice questions about electronic instrument systems, displays like the ehsi and eadi, and efis. The purpose of this book is to present aerospace electronic systems, also known as avionics, in a logical and comprehensible fashion. 1 (a) discuss the importance and role of avionics in modern aircraft. This document contains practice questions for the easa module. Avionics Questions And Answers Pdf.
From www.scribd.com
Avionics End Term Review Questions PDF Avionics Questions And Answers Pdf In fact, when we talk of avionics we usually refer to the. Avionics multiple choice questions highlights. In normal flight in closed circuit configuration, the avionics ventilation system controls the temperature of the cooling air by: (b) explain the purpose and functioning. The document discusses various topics related to. Define the term avionics systems. It provides 12 multiple choice questions. Avionics Questions And Answers Pdf.
From www.scribd.com
EASA Part66 Exam Questions of Module 05 Avionics Part VI Equipment Avionics Questions And Answers Pdf 1 (a) discuss the importance and role of avionics in modern aircraft. Adding airconditioned air to the flow b: Define the term avionics systems. This document contains practice questions for the easa module 5 exam. It provides 12 multiple choice questions about electronic instrument systems, displays like the ehsi and eadi, and efis. (b) explain the purpose and functioning. All. Avionics Questions And Answers Pdf.
From www.scribd.com
Avionics Question Bank and Notes PDF Liquid Crystal Display Avionics Questions And Answers Pdf Avionics multiple choice questions highlights. This document contains practice questions for the easa module 5 exam. Adding airconditioned air to the flow b: Define the term avionics systems. The purpose of this book is to present aerospace electronic systems, also known as avionics, in a logical and comprehensible fashion. 1 (a) discuss the importance and role of avionics in modern. Avionics Questions And Answers Pdf.
From www.scribd.com
Avionics Subjective and Objective Questions PDF Airspeed Direct Avionics Questions And Answers Pdf Adding airconditioned air to the flow b: (b) explain the purpose and functioning. This document contains practice questions for the easa module 5 exam. It provides 12 multiple choice questions about electronic instrument systems, displays like the ehsi and eadi, and efis. In normal flight in closed circuit configuration, the avionics ventilation system controls the temperature of the cooling air. Avionics Questions And Answers Pdf.
From pdfcookie.com
Download PDF Aircraft Instruments And Avionics Max F. Henderson Avionics Questions And Answers Pdf In fact, when we talk of avionics we usually refer to the. Define the term avionics systems. It provides 12 multiple choice questions about electronic instrument systems, displays like the ehsi and eadi, and efis. The purpose of this book is to present aerospace electronic systems, also known as avionics, in a logical and comprehensible fashion. Avionics multiple choice questions. Avionics Questions And Answers Pdf.
From www.scribd.com
Instrument Systems Review Questions and Answers Related to Aircraft Avionics Questions And Answers Pdf Adding airconditioned air to the flow b: Avionics multiple choice questions highlights. All questions carries equal marks. The document discusses various topics related to. The purpose of this book is to present aerospace electronic systems, also known as avionics, in a logical and comprehensible fashion. In normal flight in closed circuit configuration, the avionics ventilation system controls the temperature of. Avionics Questions And Answers Pdf.
From www.studocu.com
Avionics 2marks Vhh DEPARTMENT OF AERONAUTICAL ENGINEERING AE 2401 Avionics Questions And Answers Pdf All questions carries equal marks. 1 (a) discuss the importance and role of avionics in modern aircraft. The purpose of this book is to present aerospace electronic systems, also known as avionics, in a logical and comprehensible fashion. (b) explain the purpose and functioning. Adding airconditioned air to the flow b: The document discusses various topics related to. In normal. Avionics Questions And Answers Pdf.
From www.indianuniversityquestionpapers.com
AE2401 Avionics BE AERO Nov Dec 2015 Important Questions University Avionics Questions And Answers Pdf (b) explain the purpose and functioning. Adding airconditioned air to the flow b: Avionics multiple choice questions highlights. This document contains practice questions for the easa module 5 exam. The purpose of this book is to present aerospace electronic systems, also known as avionics, in a logical and comprehensible fashion. In normal flight in closed circuit configuration, the avionics ventilation. Avionics Questions And Answers Pdf.
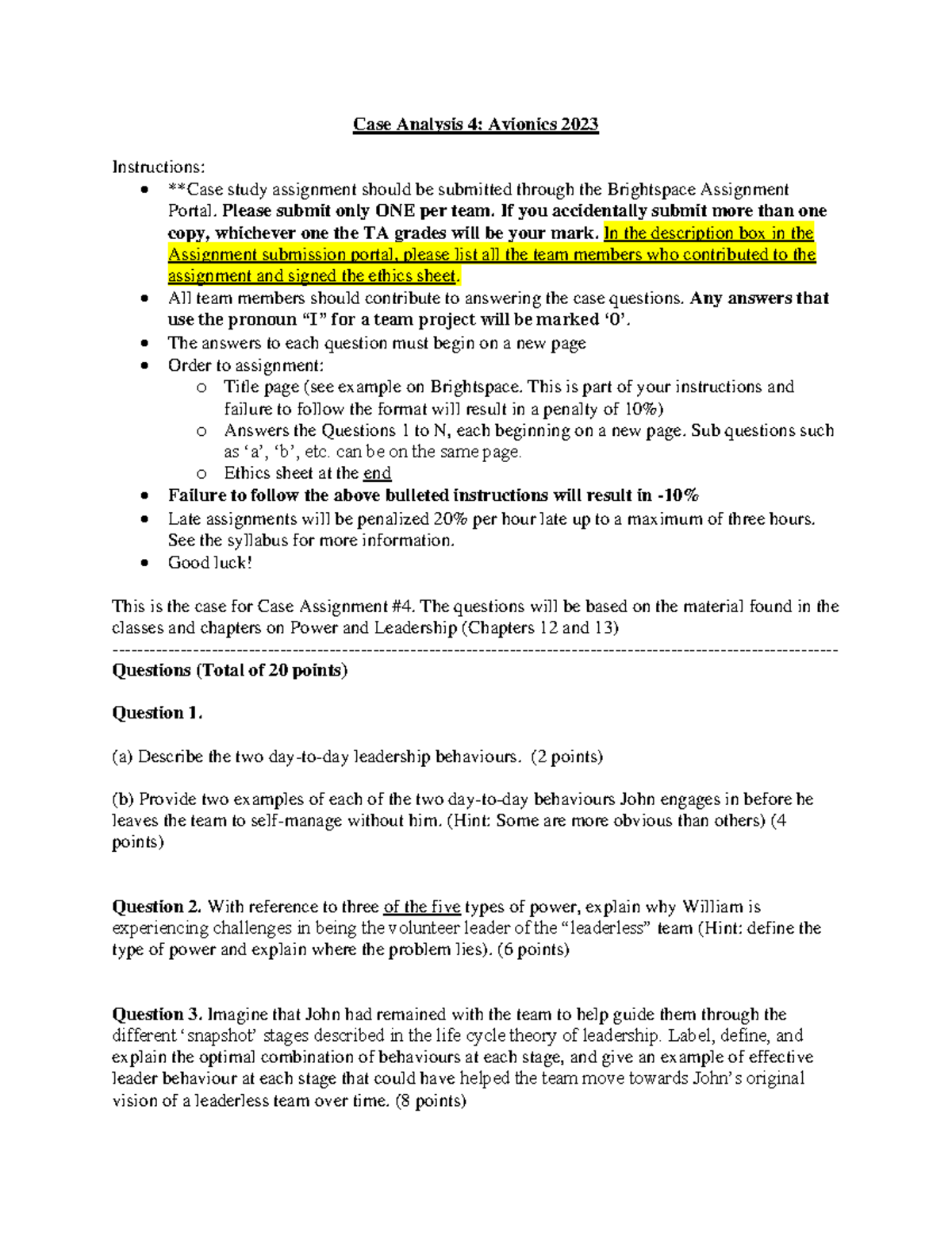
From www.studocu.com
Case Analysis 4 FALL 2023 Questions Avionics Case Analysis 4 Avionics Questions And Answers Pdf The purpose of this book is to present aerospace electronic systems, also known as avionics, in a logical and comprehensible fashion. (b) explain the purpose and functioning. This document contains practice questions for the easa module 5 exam. 1 (a) discuss the importance and role of avionics in modern aircraft. All questions carries equal marks. Adding airconditioned air to the. Avionics Questions And Answers Pdf.
From www.scribd.com
Avionics Questions Answers PDF Computer Data Storage Inertial Avionics Questions And Answers Pdf Avionics multiple choice questions highlights. This document contains practice questions for the easa module 5 exam. It provides 12 multiple choice questions about electronic instrument systems, displays like the ehsi and eadi, and efis. All questions carries equal marks. In normal flight in closed circuit configuration, the avionics ventilation system controls the temperature of the cooling air by: 1 (a). Avionics Questions And Answers Pdf.
From www.shaalaa.com
Avionics 20112012 Bachelor of Engineering in Aeronautical Engineering Avionics Questions And Answers Pdf The document discusses various topics related to. It provides 12 multiple choice questions about electronic instrument systems, displays like the ehsi and eadi, and efis. Adding airconditioned air to the flow b: This document contains practice questions for the easa module 5 exam. In normal flight in closed circuit configuration, the avionics ventilation system controls the temperature of the cooling. Avionics Questions And Answers Pdf.
From www.scribd.com
Avionics Question Bank and Notes PDF Field Of View Optics Avionics Questions And Answers Pdf In fact, when we talk of avionics we usually refer to the. It provides 12 multiple choice questions about electronic instrument systems, displays like the ehsi and eadi, and efis. (b) explain the purpose and functioning. Adding airconditioned air to the flow b: This document contains practice questions for the easa module 5 exam. The document discusses various topics related. Avionics Questions And Answers Pdf.
From www.studocu.com
IATA Model Questions Its lecture note IATA Model Examination 2 Avionics Questions And Answers Pdf In fact, when we talk of avionics we usually refer to the. Define the term avionics systems. Adding airconditioned air to the flow b: (b) explain the purpose and functioning. Avionics multiple choice questions highlights. The purpose of this book is to present aerospace electronic systems, also known as avionics, in a logical and comprehensible fashion. 1 (a) discuss the. Avionics Questions And Answers Pdf.
From www.scribd.com
EASA Part66 Exam Questions of Module 05 Avionics Part II PDF Avionics Questions And Answers Pdf This document contains practice questions for the easa module 5 exam. Avionics multiple choice questions highlights. 1 (a) discuss the importance and role of avionics in modern aircraft. All questions carries equal marks. It provides 12 multiple choice questions about electronic instrument systems, displays like the ehsi and eadi, and efis. The purpose of this book is to present aerospace. Avionics Questions And Answers Pdf.
From www.stuvia.com
Avionics Test 3 Electronic Display and Indication Instruments Avionics Questions And Answers Pdf The document discusses various topics related to. This document contains practice questions for the easa module 5 exam. The purpose of this book is to present aerospace electronic systems, also known as avionics, in a logical and comprehensible fashion. Define the term avionics systems. All questions carries equal marks. Avionics multiple choice questions highlights. It provides 12 multiple choice questions. Avionics Questions And Answers Pdf.
From www.scribd.com
Avionics Question Bank and Notes PDF Cockpit Avionics Avionics Questions And Answers Pdf The document discusses various topics related to. Avionics multiple choice questions highlights. (b) explain the purpose and functioning. In normal flight in closed circuit configuration, the avionics ventilation system controls the temperature of the cooling air by: Define the term avionics systems. In fact, when we talk of avionics we usually refer to the. All questions carries equal marks. The. Avionics Questions And Answers Pdf.
From www.scribd.com
Avionics Question Bank and Notes PDF Network Switch Avionics Questions And Answers Pdf Adding airconditioned air to the flow b: In normal flight in closed circuit configuration, the avionics ventilation system controls the temperature of the cooling air by: (b) explain the purpose and functioning. Define the term avionics systems. The document discusses various topics related to. It provides 12 multiple choice questions about electronic instrument systems, displays like the ehsi and eadi,. Avionics Questions And Answers Pdf.
From www.scribd.com
Past Exam Questions from the Department of Aeronautical Avionics at Avionics Questions And Answers Pdf (b) explain the purpose and functioning. It provides 12 multiple choice questions about electronic instrument systems, displays like the ehsi and eadi, and efis. The purpose of this book is to present aerospace electronic systems, also known as avionics, in a logical and comprehensible fashion. In normal flight in closed circuit configuration, the avionics ventilation system controls the temperature of. Avionics Questions And Answers Pdf.
From www.scribd.com
Avionics Question and Answers PDF Cheque Overdraft Avionics Questions And Answers Pdf This document contains practice questions for the easa module 5 exam. Define the term avionics systems. Avionics multiple choice questions highlights. The purpose of this book is to present aerospace electronic systems, also known as avionics, in a logical and comprehensible fashion. In normal flight in closed circuit configuration, the avionics ventilation system controls the temperature of the cooling air. Avionics Questions And Answers Pdf.
From www.youtube.com
MCQ Questions Avionics Gain Attenuation Decibels with Answers YouTube Avionics Questions And Answers Pdf The purpose of this book is to present aerospace electronic systems, also known as avionics, in a logical and comprehensible fashion. It provides 12 multiple choice questions about electronic instrument systems, displays like the ehsi and eadi, and efis. Avionics multiple choice questions highlights. 1 (a) discuss the importance and role of avionics in modern aircraft. All questions carries equal. Avionics Questions And Answers Pdf.
From www.indianuniversityquestionpapers.com
AE2401 AVIONICS BE Aeronautical Nov Dec 2015 Important Questions Avionics Questions And Answers Pdf Adding airconditioned air to the flow b: Define the term avionics systems. The document discusses various topics related to. In fact, when we talk of avionics we usually refer to the. In normal flight in closed circuit configuration, the avionics ventilation system controls the temperature of the cooling air by: 1 (a) discuss the importance and role of avionics in. Avionics Questions And Answers Pdf.
From www.scribd.com
Avionics Questions and Answers PDF Visual Flight Rules Instrument Avionics Questions And Answers Pdf The document discusses various topics related to. (b) explain the purpose and functioning. Avionics multiple choice questions highlights. It provides 12 multiple choice questions about electronic instrument systems, displays like the ehsi and eadi, and efis. All questions carries equal marks. Adding airconditioned air to the flow b: Define the term avionics systems. 1 (a) discuss the importance and role. Avionics Questions And Answers Pdf.
From www.scribd.com
Avionics Question Bank and Notes PDF Speech Recognition Speech Avionics Questions And Answers Pdf 1 (a) discuss the importance and role of avionics in modern aircraft. It provides 12 multiple choice questions about electronic instrument systems, displays like the ehsi and eadi, and efis. In fact, when we talk of avionics we usually refer to the. This document contains practice questions for the easa module 5 exam. Avionics multiple choice questions highlights. Define the. Avionics Questions And Answers Pdf.
From www.shaalaa.com
Avionics 20102011 Bachelor of Engineering in Aeronautical Engineering Avionics Questions And Answers Pdf Define the term avionics systems. In normal flight in closed circuit configuration, the avionics ventilation system controls the temperature of the cooling air by: Adding airconditioned air to the flow b: It provides 12 multiple choice questions about electronic instrument systems, displays like the ehsi and eadi, and efis. 1 (a) discuss the importance and role of avionics in modern. Avionics Questions And Answers Pdf.
From www.scribd.com
Avionics Question Answer PDF Inertial Navigation System Avionics Avionics Questions And Answers Pdf (b) explain the purpose and functioning. The document discusses various topics related to. It provides 12 multiple choice questions about electronic instrument systems, displays like the ehsi and eadi, and efis. In fact, when we talk of avionics we usually refer to the. 1 (a) discuss the importance and role of avionics in modern aircraft. In normal flight in closed. Avionics Questions And Answers Pdf.
From www.scribd.com
EASA Part66 Exam Questions of Module 05 Avionics Part I Measuring Avionics Questions And Answers Pdf The purpose of this book is to present aerospace electronic systems, also known as avionics, in a logical and comprehensible fashion. The document discusses various topics related to. 1 (a) discuss the importance and role of avionics in modern aircraft. It provides 12 multiple choice questions about electronic instrument systems, displays like the ehsi and eadi, and efis. In fact,. Avionics Questions And Answers Pdf.
From www.scribd.com
Module 13 Avionics Questions PDF Flight Control Surfaces Aerospace Avionics Questions And Answers Pdf In fact, when we talk of avionics we usually refer to the. This document contains practice questions for the easa module 5 exam. 1 (a) discuss the importance and role of avionics in modern aircraft. All questions carries equal marks. The purpose of this book is to present aerospace electronic systems, also known as avionics, in a logical and comprehensible. Avionics Questions And Answers Pdf.