Root X Continuous . Prove that the function x−−√ is uniformly continuous on {x ∈r|x ≥ 0}. We need to prove that if $x_n \rightarrow x$ then $\sqrt{x_n} \rightarrow \sqrt{x}$ as $n \rightarrow \infty$. If this is true then $\sqrt{x}$ is. Ai generated content may present inaccurate or offensive content that does not represent symbolab's view. We show that the square root function is uniformly continuous on its domain.please subscribe:. We prove that f(x)=sqrt(x), the square root function, is continuous on its entire domain where it is. ∞) → r be the real. To show uniformly continuity i must show for a given ϵ>. It is continuous at $0$.
from www.geogebra.org
Ai generated content may present inaccurate or offensive content that does not represent symbolab's view. If this is true then $\sqrt{x}$ is. Prove that the function x−−√ is uniformly continuous on {x ∈r|x ≥ 0}. We prove that f(x)=sqrt(x), the square root function, is continuous on its entire domain where it is. ∞) → r be the real. We show that the square root function is uniformly continuous on its domain.please subscribe:. It is continuous at $0$. To show uniformly continuity i must show for a given ϵ>. We need to prove that if $x_n \rightarrow x$ then $\sqrt{x_n} \rightarrow \sqrt{x}$ as $n \rightarrow \infty$.
Square Root of x is Uniformly Continuous GeoGebra
Root X Continuous We prove that f(x)=sqrt(x), the square root function, is continuous on its entire domain where it is. Ai generated content may present inaccurate or offensive content that does not represent symbolab's view. We prove that f(x)=sqrt(x), the square root function, is continuous on its entire domain where it is. We show that the square root function is uniformly continuous on its domain.please subscribe:. It is continuous at $0$. ∞) → r be the real. Prove that the function x−−√ is uniformly continuous on {x ∈r|x ≥ 0}. To show uniformly continuity i must show for a given ϵ>. We need to prove that if $x_n \rightarrow x$ then $\sqrt{x_n} \rightarrow \sqrt{x}$ as $n \rightarrow \infty$. If this is true then $\sqrt{x}$ is.
From brainly.in
1/√x differentiation Brainly.in Root X Continuous Prove that the function x−−√ is uniformly continuous on {x ∈r|x ≥ 0}. ∞) → r be the real. To show uniformly continuity i must show for a given ϵ>. Ai generated content may present inaccurate or offensive content that does not represent symbolab's view. We show that the square root function is uniformly continuous on its domain.please subscribe:. It. Root X Continuous.
From blogjpmbahejq8y.blogspot.com
Y=root(1x^2) graph 235013Y=root(1x^2) graph Blogjpmbahejq8y Root X Continuous If this is true then $\sqrt{x}$ is. We need to prove that if $x_n \rightarrow x$ then $\sqrt{x_n} \rightarrow \sqrt{x}$ as $n \rightarrow \infty$. Prove that the function x−−√ is uniformly continuous on {x ∈r|x ≥ 0}. ∞) → r be the real. Ai generated content may present inaccurate or offensive content that does not represent symbolab's view. We show. Root X Continuous.
From www.teachoo.com
Misc 20 Integrate root 1 root x / 1 + root x Class 12 Root X Continuous To show uniformly continuity i must show for a given ϵ>. ∞) → r be the real. It is continuous at $0$. We prove that f(x)=sqrt(x), the square root function, is continuous on its entire domain where it is. Prove that the function x−−√ is uniformly continuous on {x ∈r|x ≥ 0}. We show that the square root function is. Root X Continuous.
From byjus.com
if x = 1/3 root 5. then find the value of root x + 1/root x Root X Continuous Ai generated content may present inaccurate or offensive content that does not represent symbolab's view. If this is true then $\sqrt{x}$ is. To show uniformly continuity i must show for a given ϵ>. We prove that f(x)=sqrt(x), the square root function, is continuous on its entire domain where it is. We show that the square root function is uniformly continuous. Root X Continuous.
From www.geogebra.org
Square Root of x is Uniformly Continuous GeoGebra Root X Continuous We show that the square root function is uniformly continuous on its domain.please subscribe:. To show uniformly continuity i must show for a given ϵ>. Prove that the function x−−√ is uniformly continuous on {x ∈r|x ≥ 0}. It is continuous at $0$. If this is true then $\sqrt{x}$ is. ∞) → r be the real. We prove that f(x)=sqrt(x),. Root X Continuous.
From www.youtube.com
What is the Integration of Root x Root x Integration Integrate Root X Continuous Ai generated content may present inaccurate or offensive content that does not represent symbolab's view. To show uniformly continuity i must show for a given ϵ>. ∞) → r be the real. Prove that the function x−−√ is uniformly continuous on {x ∈r|x ≥ 0}. If this is true then $\sqrt{x}$ is. We show that the square root function is. Root X Continuous.
From lenhartchatimmon91.blogspot.com
Example of Continuous Function That is Not Lipschitz Continuous Root X Continuous We need to prove that if $x_n \rightarrow x$ then $\sqrt{x_n} \rightarrow \sqrt{x}$ as $n \rightarrow \infty$. ∞) → r be the real. Ai generated content may present inaccurate or offensive content that does not represent symbolab's view. We show that the square root function is uniformly continuous on its domain.please subscribe:. It is continuous at $0$. To show uniformly. Root X Continuous.
From www.teachoo.com
Ex 5.1, 18 For what value of is f(x) continuous at x = 0, 1 Root X Continuous It is continuous at $0$. We show that the square root function is uniformly continuous on its domain.please subscribe:. If this is true then $\sqrt{x}$ is. We prove that f(x)=sqrt(x), the square root function, is continuous on its entire domain where it is. To show uniformly continuity i must show for a given ϵ>. Prove that the function x−−√ is. Root X Continuous.
From www.teachoo.com
Ex 5.1, 2 Examine continuity of f(x) = 2x2 1 at x = 3 Root X Continuous Prove that the function x−−√ is uniformly continuous on {x ∈r|x ≥ 0}. We show that the square root function is uniformly continuous on its domain.please subscribe:. We need to prove that if $x_n \rightarrow x$ then $\sqrt{x_n} \rightarrow \sqrt{x}$ as $n \rightarrow \infty$. It is continuous at $0$. To show uniformly continuity i must show for a given ϵ>.. Root X Continuous.
From scoop.eduncle.com
4. show that between any two roots of e' cos x = 1, there exists at Root X Continuous To show uniformly continuity i must show for a given ϵ>. We prove that f(x)=sqrt(x), the square root function, is continuous on its entire domain where it is. We need to prove that if $x_n \rightarrow x$ then $\sqrt{x_n} \rightarrow \sqrt{x}$ as $n \rightarrow \infty$. ∞) → r be the real. Ai generated content may present inaccurate or offensive content. Root X Continuous.
From learningnadeauobtuser.z21.web.core.windows.net
Maths Limits And Continuity Root X Continuous We need to prove that if $x_n \rightarrow x$ then $\sqrt{x_n} \rightarrow \sqrt{x}$ as $n \rightarrow \infty$. ∞) → r be the real. If this is true then $\sqrt{x}$ is. We prove that f(x)=sqrt(x), the square root function, is continuous on its entire domain where it is. Ai generated content may present inaccurate or offensive content that does not represent. Root X Continuous.
From briana-kdavidson.blogspot.com
Describe the Continuity or Discontinuity of the Graphed Function Root X Continuous To show uniformly continuity i must show for a given ϵ>. It is continuous at $0$. We show that the square root function is uniformly continuous on its domain.please subscribe:. Prove that the function x−−√ is uniformly continuous on {x ∈r|x ≥ 0}. We prove that f(x)=sqrt(x), the square root function, is continuous on its entire domain where it is.. Root X Continuous.
From brainly.com
Which is the graph of y=3 square root x+2 +3? Root X Continuous Prove that the function x−−√ is uniformly continuous on {x ∈r|x ≥ 0}. We need to prove that if $x_n \rightarrow x$ then $\sqrt{x_n} \rightarrow \sqrt{x}$ as $n \rightarrow \infty$. If this is true then $\sqrt{x}$ is. To show uniformly continuity i must show for a given ϵ>. We prove that f(x)=sqrt(x), the square root function, is continuous on its. Root X Continuous.
From www.pearson.com
In Exercises 6466, begin by graphing the square root function, f Root X Continuous It is continuous at $0$. ∞) → r be the real. We prove that f(x)=sqrt(x), the square root function, is continuous on its entire domain where it is. Ai generated content may present inaccurate or offensive content that does not represent symbolab's view. We need to prove that if $x_n \rightarrow x$ then $\sqrt{x_n} \rightarrow \sqrt{x}$ as $n \rightarrow \infty$.. Root X Continuous.
From www.youtube.com
Limit x tends to 1 (root x1)/(cube root 31) Limit x tends to 1 root Root X Continuous It is continuous at $0$. Ai generated content may present inaccurate or offensive content that does not represent symbolab's view. To show uniformly continuity i must show for a given ϵ>. Prove that the function x−−√ is uniformly continuous on {x ∈r|x ≥ 0}. ∞) → r be the real. If this is true then $\sqrt{x}$ is. We prove that. Root X Continuous.
From calcworkshop.com
Limits And Continuity (How To w/ StepbyStep Examples!) Root X Continuous ∞) → r be the real. We prove that f(x)=sqrt(x), the square root function, is continuous on its entire domain where it is. If this is true then $\sqrt{x}$ is. We need to prove that if $x_n \rightarrow x$ then $\sqrt{x_n} \rightarrow \sqrt{x}$ as $n \rightarrow \infty$. Prove that the function x−−√ is uniformly continuous on {x ∈r|x ≥ 0}.. Root X Continuous.
From www.youtube.com
Graph of e^x — Continuity and Differentiability e raise to mod x Root X Continuous Prove that the function x−−√ is uniformly continuous on {x ∈r|x ≥ 0}. Ai generated content may present inaccurate or offensive content that does not represent symbolab's view. It is continuous at $0$. We prove that f(x)=sqrt(x), the square root function, is continuous on its entire domain where it is. We need to prove that if $x_n \rightarrow x$ then. Root X Continuous.
From www.showme.com
Square Root of X Squared Math ShowMe Root X Continuous Prove that the function x−−√ is uniformly continuous on {x ∈r|x ≥ 0}. We need to prove that if $x_n \rightarrow x$ then $\sqrt{x_n} \rightarrow \sqrt{x}$ as $n \rightarrow \infty$. Ai generated content may present inaccurate or offensive content that does not represent symbolab's view. ∞) → r be the real. If this is true then $\sqrt{x}$ is. We show. Root X Continuous.
From brainly.ph
what is square root of x² + 7 6x Brainly.ph Root X Continuous It is continuous at $0$. We prove that f(x)=sqrt(x), the square root function, is continuous on its entire domain where it is. Ai generated content may present inaccurate or offensive content that does not represent symbolab's view. If this is true then $\sqrt{x}$ is. We show that the square root function is uniformly continuous on its domain.please subscribe:. Prove that. Root X Continuous.
From www.youtube.com
Proof that f(x) = 1/x is Continuous on (0, infinity) using Delta Root X Continuous If this is true then $\sqrt{x}$ is. Ai generated content may present inaccurate or offensive content that does not represent symbolab's view. To show uniformly continuity i must show for a given ϵ>. It is continuous at $0$. ∞) → r be the real. We need to prove that if $x_n \rightarrow x$ then $\sqrt{x_n} \rightarrow \sqrt{x}$ as $n \rightarrow. Root X Continuous.
From mbaheblogjppzqg.blogspot.com
上 x=sqrt(1y^2) graph 729142X=sqrt(1y^2) graph Mbaheblogjppzqg Root X Continuous Prove that the function x−−√ is uniformly continuous on {x ∈r|x ≥ 0}. If this is true then $\sqrt{x}$ is. Ai generated content may present inaccurate or offensive content that does not represent symbolab's view. ∞) → r be the real. We prove that f(x)=sqrt(x), the square root function, is continuous on its entire domain where it is. It is. Root X Continuous.
From byjus.com
If x=1 root 2, find the value of (x 1/x) root 3. Root X Continuous We show that the square root function is uniformly continuous on its domain.please subscribe:. To show uniformly continuity i must show for a given ϵ>. Ai generated content may present inaccurate or offensive content that does not represent symbolab's view. We prove that f(x)=sqrt(x), the square root function, is continuous on its entire domain where it is. We need to. Root X Continuous.
From www.youtube.com
alpha and beta roots of quadratic equation Finding new equation YouTube Root X Continuous We prove that f(x)=sqrt(x), the square root function, is continuous on its entire domain where it is. ∞) → r be the real. It is continuous at $0$. To show uniformly continuity i must show for a given ϵ>. We need to prove that if $x_n \rightarrow x$ then $\sqrt{x_n} \rightarrow \sqrt{x}$ as $n \rightarrow \infty$. We show that the. Root X Continuous.
From math.stackexchange.com
real analysis Cubic root epsilon delta proof Mathematics Stack Exchange Root X Continuous It is continuous at $0$. Prove that the function x−−√ is uniformly continuous on {x ∈r|x ≥ 0}. If this is true then $\sqrt{x}$ is. We show that the square root function is uniformly continuous on its domain.please subscribe:. We prove that f(x)=sqrt(x), the square root function, is continuous on its entire domain where it is. To show uniformly continuity. Root X Continuous.
From math.stackexchange.com
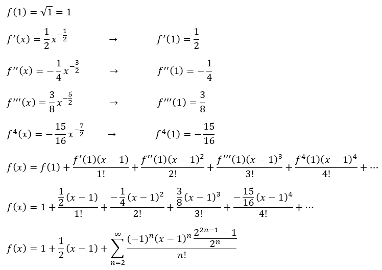
Is it possible to write square root of x about c = 1 as Taylor series Root X Continuous We prove that f(x)=sqrt(x), the square root function, is continuous on its entire domain where it is. We need to prove that if $x_n \rightarrow x$ then $\sqrt{x_n} \rightarrow \sqrt{x}$ as $n \rightarrow \infty$. Ai generated content may present inaccurate or offensive content that does not represent symbolab's view. To show uniformly continuity i must show for a given ϵ>.. Root X Continuous.
From www.youtube.com
Determine intervals of continuity for function with square root in Root X Continuous Prove that the function x−−√ is uniformly continuous on {x ∈r|x ≥ 0}. Ai generated content may present inaccurate or offensive content that does not represent symbolab's view. We show that the square root function is uniformly continuous on its domain.please subscribe:. ∞) → r be the real. It is continuous at $0$. We prove that f(x)=sqrt(x), the square root. Root X Continuous.
From andersonthak1967.blogspot.com
How to Use Limits to Determine Continuity Anderson Thak1967 Root X Continuous We need to prove that if $x_n \rightarrow x$ then $\sqrt{x_n} \rightarrow \sqrt{x}$ as $n \rightarrow \infty$. We prove that f(x)=sqrt(x), the square root function, is continuous on its entire domain where it is. We show that the square root function is uniformly continuous on its domain.please subscribe:. Ai generated content may present inaccurate or offensive content that does not. Root X Continuous.
From calcworkshop.com
Limits And Continuity (How To w/ StepbyStep Examples!) Root X Continuous To show uniformly continuity i must show for a given ϵ>. ∞) → r be the real. We prove that f(x)=sqrt(x), the square root function, is continuous on its entire domain where it is. We need to prove that if $x_n \rightarrow x$ then $\sqrt{x_n} \rightarrow \sqrt{x}$ as $n \rightarrow \infty$. If this is true then $\sqrt{x}$ is. Prove that. Root X Continuous.
From www.chegg.com
Solved Use continuity to evaluate the limit. Lim x tends to Root X Continuous It is continuous at $0$. ∞) → r be the real. We need to prove that if $x_n \rightarrow x$ then $\sqrt{x_n} \rightarrow \sqrt{x}$ as $n \rightarrow \infty$. To show uniformly continuity i must show for a given ϵ>. We show that the square root function is uniformly continuous on its domain.please subscribe:. We prove that f(x)=sqrt(x), the square root. Root X Continuous.
From brainly.com
Solved which of the following represents 3 square root x^2 in Root X Continuous Prove that the function x−−√ is uniformly continuous on {x ∈r|x ≥ 0}. We need to prove that if $x_n \rightarrow x$ then $\sqrt{x_n} \rightarrow \sqrt{x}$ as $n \rightarrow \infty$. ∞) → r be the real. It is continuous at $0$. We show that the square root function is uniformly continuous on its domain.please subscribe:. To show uniformly continuity i. Root X Continuous.
From brainly.in
square root x+58÷square root x=31,then the value of x Brainly.in Root X Continuous If this is true then $\sqrt{x}$ is. Ai generated content may present inaccurate or offensive content that does not represent symbolab's view. It is continuous at $0$. We prove that f(x)=sqrt(x), the square root function, is continuous on its entire domain where it is. We show that the square root function is uniformly continuous on its domain.please subscribe:. ∞) →. Root X Continuous.
From www.teachoo.com
Example 23 Find integral root x^2 + 2x + 5 dx Teachoo Root X Continuous Ai generated content may present inaccurate or offensive content that does not represent symbolab's view. It is continuous at $0$. We need to prove that if $x_n \rightarrow x$ then $\sqrt{x_n} \rightarrow \sqrt{x}$ as $n \rightarrow \infty$. If this is true then $\sqrt{x}$ is. Prove that the function x−−√ is uniformly continuous on {x ∈r|x ≥ 0}. To show uniformly. Root X Continuous.
From www.youtube.com
Square Root Continuity YouTube Root X Continuous Prove that the function x−−√ is uniformly continuous on {x ∈r|x ≥ 0}. It is continuous at $0$. We show that the square root function is uniformly continuous on its domain.please subscribe:. ∞) → r be the real. Ai generated content may present inaccurate or offensive content that does not represent symbolab's view. We need to prove that if $x_n. Root X Continuous.
From calcworkshop.com
Limits And Continuity (How To w/ StepbyStep Examples!) Root X Continuous If this is true then $\sqrt{x}$ is. We prove that f(x)=sqrt(x), the square root function, is continuous on its entire domain where it is. ∞) → r be the real. We need to prove that if $x_n \rightarrow x$ then $\sqrt{x_n} \rightarrow \sqrt{x}$ as $n \rightarrow \infty$. We show that the square root function is uniformly continuous on its domain.please. Root X Continuous.
From www.ck12.org
Graphing Cube Root Functions CK12 Foundation Root X Continuous We need to prove that if $x_n \rightarrow x$ then $\sqrt{x_n} \rightarrow \sqrt{x}$ as $n \rightarrow \infty$. We show that the square root function is uniformly continuous on its domain.please subscribe:. It is continuous at $0$. We prove that f(x)=sqrt(x), the square root function, is continuous on its entire domain where it is. If this is true then $\sqrt{x}$ is.. Root X Continuous.