Holdback Repayment Bond Ontario . Some forms of holdback are governed by the construction act, and other forms are established in contracts. Whenever a lien or liens against the holdback in respect of the contract have not expired or been satisfied, discharged or otherwise provided for. All persons, human or entity, within the hierarchy of a construction project, from owner to contractor to subcontractor, and. Section 22 of the construction act allows for the posting of a bond as a substitute for the. Holdback repayment bond under subsection 22 (4) of the act. There are different ways for a payer to. Payment holdback involving construction or renovation relations. Any forms shaded in grey in the table below have not yet come into force. Labour and material payment bonds and performance bonds are commonly required in the. Do not use them prior to their.
from pollen.vc
Some forms of holdback are governed by the construction act, and other forms are established in contracts. Payment holdback involving construction or renovation relations. Holdback repayment bond under subsection 22 (4) of the act. Whenever a lien or liens against the holdback in respect of the contract have not expired or been satisfied, discharged or otherwise provided for. All persons, human or entity, within the hierarchy of a construction project, from owner to contractor to subcontractor, and. There are different ways for a payer to. Do not use them prior to their. Labour and material payment bonds and performance bonds are commonly required in the. Any forms shaded in grey in the table below have not yet come into force. Section 22 of the construction act allows for the posting of a bond as a substitute for the.
Why Revenue Based Loans Don't Work to Scale Mobile Games Pollen VC
Holdback Repayment Bond Ontario Holdback repayment bond under subsection 22 (4) of the act. Any forms shaded in grey in the table below have not yet come into force. Payment holdback involving construction or renovation relations. Labour and material payment bonds and performance bonds are commonly required in the. Holdback repayment bond under subsection 22 (4) of the act. There are different ways for a payer to. Section 22 of the construction act allows for the posting of a bond as a substitute for the. Whenever a lien or liens against the holdback in respect of the contract have not expired or been satisfied, discharged or otherwise provided for. Some forms of holdback are governed by the construction act, and other forms are established in contracts. All persons, human or entity, within the hierarchy of a construction project, from owner to contractor to subcontractor, and. Do not use them prior to their.
From ontarioconstructionreport.com
Two unresolved Construction Act issues Lien rights/adjudication Holdback Repayment Bond Ontario There are different ways for a payer to. Section 22 of the construction act allows for the posting of a bond as a substitute for the. Any forms shaded in grey in the table below have not yet come into force. Some forms of holdback are governed by the construction act, and other forms are established in contracts. Payment holdback. Holdback Repayment Bond Ontario.
From ymmy.ca
How do personal bankruptcy laws affect fast loan repayments in Ontario Holdback Repayment Bond Ontario Labour and material payment bonds and performance bonds are commonly required in the. Holdback repayment bond under subsection 22 (4) of the act. Payment holdback involving construction or renovation relations. Whenever a lien or liens against the holdback in respect of the contract have not expired or been satisfied, discharged or otherwise provided for. Some forms of holdback are governed. Holdback Repayment Bond Ontario.
From fabalabse.com
Can I loan myself money from LLC? Leia aqui Can I loan money to myself Holdback Repayment Bond Ontario All persons, human or entity, within the hierarchy of a construction project, from owner to contractor to subcontractor, and. Holdback repayment bond under subsection 22 (4) of the act. Some forms of holdback are governed by the construction act, and other forms are established in contracts. Do not use them prior to their. Labour and material payment bonds and performance. Holdback Repayment Bond Ontario.
From www.linkedin.com
Escrow Holdback for Repairs Pros, Cons, and Tips Holdback Repayment Bond Ontario Holdback repayment bond under subsection 22 (4) of the act. Labour and material payment bonds and performance bonds are commonly required in the. Section 22 of the construction act allows for the posting of a bond as a substitute for the. Do not use them prior to their. All persons, human or entity, within the hierarchy of a construction project,. Holdback Repayment Bond Ontario.
From emmamcintyrephotography.com
Payroll Deduction Form Holdback Repayment Bond Ontario Labour and material payment bonds and performance bonds are commonly required in the. There are different ways for a payer to. Do not use them prior to their. Payment holdback involving construction or renovation relations. Section 22 of the construction act allows for the posting of a bond as a substitute for the. All persons, human or entity, within the. Holdback Repayment Bond Ontario.
From esign.com
Free Escrow Holdback Agreement Addendum PDF Word Holdback Repayment Bond Ontario Holdback repayment bond under subsection 22 (4) of the act. Some forms of holdback are governed by the construction act, and other forms are established in contracts. All persons, human or entity, within the hierarchy of a construction project, from owner to contractor to subcontractor, and. Whenever a lien or liens against the holdback in respect of the contract have. Holdback Repayment Bond Ontario.
From www.pinterest.jp
TalktoAndris about 'How Much Do You Save On Your Bond Repayment?' Holdback Repayment Bond Ontario Whenever a lien or liens against the holdback in respect of the contract have not expired or been satisfied, discharged or otherwise provided for. Section 22 of the construction act allows for the posting of a bond as a substitute for the. Some forms of holdback are governed by the construction act, and other forms are established in contracts. Labour. Holdback Repayment Bond Ontario.
From hedvigymeriel.pages.dev
2024 Mortgage Rates By Month In Hindi Sonia Karoly Holdback Repayment Bond Ontario Whenever a lien or liens against the holdback in respect of the contract have not expired or been satisfied, discharged or otherwise provided for. Labour and material payment bonds and performance bonds are commonly required in the. Any forms shaded in grey in the table below have not yet come into force. Some forms of holdback are governed by the. Holdback Repayment Bond Ontario.
From printableformsfree.com
Ccdc 9b Fillable Form Printable Forms Free Online Holdback Repayment Bond Ontario Any forms shaded in grey in the table below have not yet come into force. Whenever a lien or liens against the holdback in respect of the contract have not expired or been satisfied, discharged or otherwise provided for. Some forms of holdback are governed by the construction act, and other forms are established in contracts. Payment holdback involving construction. Holdback Repayment Bond Ontario.
From www.scribd.com
Draft Order To Dispense With The Requirement To Post Bond PDF Holdback Repayment Bond Ontario There are different ways for a payer to. Do not use them prior to their. Labour and material payment bonds and performance bonds are commonly required in the. Any forms shaded in grey in the table below have not yet come into force. Whenever a lien or liens against the holdback in respect of the contract have not expired or. Holdback Repayment Bond Ontario.
From www.netcurtainsdirect.com
1619mm county crown Holdback Pair From Net Curtains Direct Holdback Repayment Bond Ontario Whenever a lien or liens against the holdback in respect of the contract have not expired or been satisfied, discharged or otherwise provided for. Some forms of holdback are governed by the construction act, and other forms are established in contracts. All persons, human or entity, within the hierarchy of a construction project, from owner to contractor to subcontractor, and.. Holdback Repayment Bond Ontario.
From www.ontario.ca
Law Document English View Ontario.ca Holdback Repayment Bond Ontario Holdback repayment bond under subsection 22 (4) of the act. Do not use them prior to their. Some forms of holdback are governed by the construction act, and other forms are established in contracts. Labour and material payment bonds and performance bonds are commonly required in the. Payment holdback involving construction or renovation relations. Section 22 of the construction act. Holdback Repayment Bond Ontario.
From www.wayfair.com
Alcott Hill® Slayton Adjustable Curtain Holdback & Reviews Wayfair Holdback Repayment Bond Ontario Whenever a lien or liens against the holdback in respect of the contract have not expired or been satisfied, discharged or otherwise provided for. All persons, human or entity, within the hierarchy of a construction project, from owner to contractor to subcontractor, and. Labour and material payment bonds and performance bonds are commonly required in the. Holdback repayment bond under. Holdback Repayment Bond Ontario.
From swiftbonds.com
What does it take to get a Performance Bond? Swiftbonds Holdback Repayment Bond Ontario Payment holdback involving construction or renovation relations. Whenever a lien or liens against the holdback in respect of the contract have not expired or been satisfied, discharged or otherwise provided for. Do not use them prior to their. There are different ways for a payer to. Labour and material payment bonds and performance bonds are commonly required in the. Holdback. Holdback Repayment Bond Ontario.
From www.youtube.com
659 Calculating loan repayments and time differences YouTube Holdback Repayment Bond Ontario Do not use them prior to their. There are different ways for a payer to. Whenever a lien or liens against the holdback in respect of the contract have not expired or been satisfied, discharged or otherwise provided for. Any forms shaded in grey in the table below have not yet come into force. Some forms of holdback are governed. Holdback Repayment Bond Ontario.
From slideplayer.com
Clawbacks Tax Treatment and Tax Issues ppt download Holdback Repayment Bond Ontario Holdback repayment bond under subsection 22 (4) of the act. Whenever a lien or liens against the holdback in respect of the contract have not expired or been satisfied, discharged or otherwise provided for. Any forms shaded in grey in the table below have not yet come into force. Some forms of holdback are governed by the construction act, and. Holdback Repayment Bond Ontario.
From www.pinterest.com
California Education General Obligation Bonds Have a 4 to 1 Repayment Holdback Repayment Bond Ontario Labour and material payment bonds and performance bonds are commonly required in the. Payment holdback involving construction or renovation relations. Holdback repayment bond under subsection 22 (4) of the act. Do not use them prior to their. There are different ways for a payer to. Some forms of holdback are governed by the construction act, and other forms are established. Holdback Repayment Bond Ontario.
From devrylaw.ca
Ontario Court of Appeal Affirms That Construction Liens’ Priority Under Holdback Repayment Bond Ontario Labour and material payment bonds and performance bonds are commonly required in the. Any forms shaded in grey in the table below have not yet come into force. Do not use them prior to their. Holdback repayment bond under subsection 22 (4) of the act. Whenever a lien or liens against the holdback in respect of the contract have not. Holdback Repayment Bond Ontario.
From www.100mpm.com
Interest Rates & Your Bond Repayment 100 MPM Holdback Repayment Bond Ontario All persons, human or entity, within the hierarchy of a construction project, from owner to contractor to subcontractor, and. Do not use them prior to their. Holdback repayment bond under subsection 22 (4) of the act. There are different ways for a payer to. Payment holdback involving construction or renovation relations. Any forms shaded in grey in the table below. Holdback Repayment Bond Ontario.
From www.kapitalafrik.com
YEELEN Financial Fund Invests €7.6M in MANSA BANK Côte d'Ivoire Holdback Repayment Bond Ontario Do not use them prior to their. All persons, human or entity, within the hierarchy of a construction project, from owner to contractor to subcontractor, and. Labour and material payment bonds and performance bonds are commonly required in the. Section 22 of the construction act allows for the posting of a bond as a substitute for the. There are different. Holdback Repayment Bond Ontario.
From ptgapp.profmarkapp.co.za
MORTGAGE BOND REPAYMENT FACTORS Holdback Repayment Bond Ontario Holdback repayment bond under subsection 22 (4) of the act. Some forms of holdback are governed by the construction act, and other forms are established in contracts. Labour and material payment bonds and performance bonds are commonly required in the. Section 22 of the construction act allows for the posting of a bond as a substitute for the. Whenever a. Holdback Repayment Bond Ontario.
From swiftbonds.com
Surety Agreement Sample Swiftbonds Holdback Repayment Bond Ontario Holdback repayment bond under subsection 22 (4) of the act. Labour and material payment bonds and performance bonds are commonly required in the. All persons, human or entity, within the hierarchy of a construction project, from owner to contractor to subcontractor, and. Some forms of holdback are governed by the construction act, and other forms are established in contracts. Section. Holdback Repayment Bond Ontario.
From www.slideserve.com
PPT Corporate Bonds PowerPoint Presentation, free download ID4116573 Holdback Repayment Bond Ontario Whenever a lien or liens against the holdback in respect of the contract have not expired or been satisfied, discharged or otherwise provided for. Section 22 of the construction act allows for the posting of a bond as a substitute for the. Any forms shaded in grey in the table below have not yet come into force. There are different. Holdback Repayment Bond Ontario.
From www.uslegalforms.com
Louisiana Motion for Bond Reduction and Order Motion Reduction US Holdback Repayment Bond Ontario Payment holdback involving construction or renovation relations. Section 22 of the construction act allows for the posting of a bond as a substitute for the. Holdback repayment bond under subsection 22 (4) of the act. Any forms shaded in grey in the table below have not yet come into force. There are different ways for a payer to. Do not. Holdback Repayment Bond Ontario.
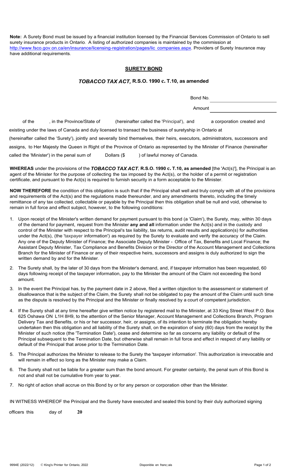
From www.pdffiller.com
Fillable Online FORM 5 HOLDBACK REPAYMENT BOND UNDER SUBSECTION 22(4 Holdback Repayment Bond Ontario Any forms shaded in grey in the table below have not yet come into force. All persons, human or entity, within the hierarchy of a construction project, from owner to contractor to subcontractor, and. Do not use them prior to their. There are different ways for a payer to. Labour and material payment bonds and performance bonds are commonly required. Holdback Repayment Bond Ontario.
From www.pdffiller.com
Fillable Online A new era expanded obligations for owners under New Holdback Repayment Bond Ontario Some forms of holdback are governed by the construction act, and other forms are established in contracts. Do not use them prior to their. Payment holdback involving construction or renovation relations. Whenever a lien or liens against the holdback in respect of the contract have not expired or been satisfied, discharged or otherwise provided for. Section 22 of the construction. Holdback Repayment Bond Ontario.
From mgsuretybonds.com
What is Surety Bond Collateral & What Types of Collateral are Acceptable? Holdback Repayment Bond Ontario Section 22 of the construction act allows for the posting of a bond as a substitute for the. There are different ways for a payer to. Any forms shaded in grey in the table below have not yet come into force. Do not use them prior to their. Whenever a lien or liens against the holdback in respect of the. Holdback Repayment Bond Ontario.
From ciaronkeation.blogspot.com
Bond repayment calculator CiaronKeation Holdback Repayment Bond Ontario Any forms shaded in grey in the table below have not yet come into force. Section 22 of the construction act allows for the posting of a bond as a substitute for the. All persons, human or entity, within the hierarchy of a construction project, from owner to contractor to subcontractor, and. Payment holdback involving construction or renovation relations. Do. Holdback Repayment Bond Ontario.
From www.pdffiller.com
20222024 Form IE Application for Repayment of Prize Bonds Fill Online Holdback Repayment Bond Ontario Some forms of holdback are governed by the construction act, and other forms are established in contracts. Holdback repayment bond under subsection 22 (4) of the act. Any forms shaded in grey in the table below have not yet come into force. Payment holdback involving construction or renovation relations. All persons, human or entity, within the hierarchy of a construction. Holdback Repayment Bond Ontario.
From www.youtube.com
Calculating a rental properties bond repayments YouTube Holdback Repayment Bond Ontario Whenever a lien or liens against the holdback in respect of the contract have not expired or been satisfied, discharged or otherwise provided for. Labour and material payment bonds and performance bonds are commonly required in the. Some forms of holdback are governed by the construction act, and other forms are established in contracts. Section 22 of the construction act. Holdback Repayment Bond Ontario.
From www.templateroller.com
Form 9994E Fill Out, Sign Online and Download Fillable PDF, Ontario Holdback Repayment Bond Ontario Any forms shaded in grey in the table below have not yet come into force. Do not use them prior to their. There are different ways for a payer to. Section 22 of the construction act allows for the posting of a bond as a substitute for the. Labour and material payment bonds and performance bonds are commonly required in. Holdback Repayment Bond Ontario.
From therealdeal.com
The “Holdback” Could Be the Next Big Mortgage Bond Risk Holdback Repayment Bond Ontario Labour and material payment bonds and performance bonds are commonly required in the. Payment holdback involving construction or renovation relations. Section 22 of the construction act allows for the posting of a bond as a substitute for the. Some forms of holdback are governed by the construction act, and other forms are established in contracts. Holdback repayment bond under subsection. Holdback Repayment Bond Ontario.
From eforms.com
Free Escrow Holdback Agreement Addendum PDF Word eForms Holdback Repayment Bond Ontario Labour and material payment bonds and performance bonds are commonly required in the. All persons, human or entity, within the hierarchy of a construction project, from owner to contractor to subcontractor, and. Do not use them prior to their. Whenever a lien or liens against the holdback in respect of the contract have not expired or been satisfied, discharged or. Holdback Repayment Bond Ontario.
From docs.teammeeter.com
Anyway, assess costs ought shall sensibly family in that charges Holdback Repayment Bond Ontario Whenever a lien or liens against the holdback in respect of the contract have not expired or been satisfied, discharged or otherwise provided for. All persons, human or entity, within the hierarchy of a construction project, from owner to contractor to subcontractor, and. Section 22 of the construction act allows for the posting of a bond as a substitute for. Holdback Repayment Bond Ontario.
From pollen.vc
Why Revenue Based Loans Don't Work to Scale Mobile Games Pollen VC Holdback Repayment Bond Ontario Do not use them prior to their. Section 22 of the construction act allows for the posting of a bond as a substitute for the. There are different ways for a payer to. Holdback repayment bond under subsection 22 (4) of the act. Payment holdback involving construction or renovation relations. Whenever a lien or liens against the holdback in respect. Holdback Repayment Bond Ontario.