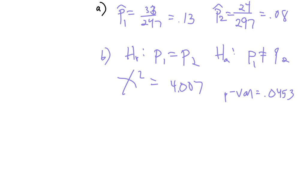
Tax Preparation Firm Is Interested In Comparing The Quality Of Work . The observed frequencies showing the number of sampled returns with errors. A tax preparation firm is interested in comparing the quality of work at two of its regional offices. A tax preparation firm is interested in comparing the quality of work at two of its regional offices. A random sample of tax. A tax preparation firm is interested in comparing the quality of work at two of its regional offices. A tax preparation firm is interested in comparing the quality of work at two of its regional offices. The observed frequencies showing the number. The observed frequencies showing the number. A random sample of tax returns are selected from each. A tax preparation firm is interested in comparing the quality of work at two of its regional offices, office a and office b. A tax preparation firm is interested in comparing the quality of work at two of its regional offices. A tax preparation firm is interested in comparing the quality of work at two of its offices. A tax preparation firm is interested in comparing the quality of work at two of its regional offices.
from www.chegg.com
A tax preparation firm is interested in comparing the quality of work at two of its regional offices, office a and office b. A random sample of tax returns are selected from each. A random sample of tax. The observed frequencies showing the number. A tax preparation firm is interested in comparing the quality of work at two of its regional offices. A tax preparation firm is interested in comparing the quality of work at two of its regional offices. A tax preparation firm is interested in comparing the quality of work at two of its regional offices. A tax preparation firm is interested in comparing the quality of work at two of its regional offices. A tax preparation firm is interested in comparing the quality of work at two of its regional offices. A tax preparation firm is interested in comparing the quality of work at two of its regional offices.
Solved eBook A tax preparation firm is interested in
Tax Preparation Firm Is Interested In Comparing The Quality Of Work A tax preparation firm is interested in comparing the quality of work at two of its regional offices. A tax preparation firm is interested in comparing the quality of work at two of its regional offices. A tax preparation firm is interested in comparing the quality of work at two of its regional offices. The observed frequencies showing the number. A tax preparation firm is interested in comparing the quality of work at two of its regional offices. A tax preparation firm is interested in comparing the quality of work at two of its regional offices. The observed frequencies showing the number of sampled returns with errors. A random sample of tax returns are selected from each. A tax preparation firm is interested in comparing the quality of work at two of its regional offices. A tax preparation firm is interested in comparing the quality of work at two of its regional offices. A tax preparation firm is interested in comparing the quality of work at two of its regional offices, office a and office b. A random sample of tax. The observed frequencies showing the number. A tax preparation firm is interested in comparing the quality of work at two of its offices.
From peakbusinessvaluation.com
How to Value a Tax Preparation Business Peak Business Valuation Tax Preparation Firm Is Interested In Comparing The Quality Of Work A tax preparation firm is interested in comparing the quality of work at two of its offices. The observed frequencies showing the number. A tax preparation firm is interested in comparing the quality of work at two of its regional offices. A tax preparation firm is interested in comparing the quality of work at two of its regional offices. A. Tax Preparation Firm Is Interested In Comparing The Quality Of Work.
From www.chegg.com
Solved A tax preparation firm is interested in comparing the Tax Preparation Firm Is Interested In Comparing The Quality Of Work A tax preparation firm is interested in comparing the quality of work at two of its regional offices, office a and office b. A tax preparation firm is interested in comparing the quality of work at two of its regional offices. A random sample of tax returns are selected from each. A tax preparation firm is interested in comparing the. Tax Preparation Firm Is Interested In Comparing The Quality Of Work.
From www.chegg.com
Solved A tax preparation firm is interested in comparing the Tax Preparation Firm Is Interested In Comparing The Quality Of Work A tax preparation firm is interested in comparing the quality of work at two of its regional offices. The observed frequencies showing the number of sampled returns with errors. A tax preparation firm is interested in comparing the quality of work at two of its offices. A tax preparation firm is interested in comparing the quality of work at two. Tax Preparation Firm Is Interested In Comparing The Quality Of Work.
From www.chegg.com
Solved You may need to use the appropriate technology to Tax Preparation Firm Is Interested In Comparing The Quality Of Work The observed frequencies showing the number. A tax preparation firm is interested in comparing the quality of work at two of its regional offices. A random sample of tax. A tax preparation firm is interested in comparing the quality of work at two of its offices. A tax preparation firm is interested in comparing the quality of work at two. Tax Preparation Firm Is Interested In Comparing The Quality Of Work.
From www.chegg.com
Solved A tax preparation firm is interested in comparing the Tax Preparation Firm Is Interested In Comparing The Quality Of Work A random sample of tax returns are selected from each. A tax preparation firm is interested in comparing the quality of work at two of its regional offices. A tax preparation firm is interested in comparing the quality of work at two of its regional offices. A tax preparation firm is interested in comparing the quality of work at two. Tax Preparation Firm Is Interested In Comparing The Quality Of Work.
From sbdctampabay.com
Tax Preparation Tips for Businesses Tax Preparation Firm Is Interested In Comparing The Quality Of Work A tax preparation firm is interested in comparing the quality of work at two of its regional offices. A tax preparation firm is interested in comparing the quality of work at two of its regional offices. A tax preparation firm is interested in comparing the quality of work at two of its regional offices, office a and office b. The. Tax Preparation Firm Is Interested In Comparing The Quality Of Work.
From www.freepixel.com
How to Start a Tax Preparation Business from Home FreePixel Blog Tax Preparation Firm Is Interested In Comparing The Quality Of Work A tax preparation firm is interested in comparing the quality of work at two of its regional offices. A random sample of tax. A tax preparation firm is interested in comparing the quality of work at two of its regional offices, office a and office b. A tax preparation firm is interested in comparing the quality of work at two. Tax Preparation Firm Is Interested In Comparing The Quality Of Work.
From www.alamy.com
Tax preparation concept, taxable document preparation, payment Tax Preparation Firm Is Interested In Comparing The Quality Of Work A tax preparation firm is interested in comparing the quality of work at two of its regional offices. A tax preparation firm is interested in comparing the quality of work at two of its offices. A tax preparation firm is interested in comparing the quality of work at two of its regional offices. A random sample of tax. A tax. Tax Preparation Firm Is Interested In Comparing The Quality Of Work.
From www.chegg.com
Solved A tax preparation firm is interested in comparing the Tax Preparation Firm Is Interested In Comparing The Quality Of Work The observed frequencies showing the number. A tax preparation firm is interested in comparing the quality of work at two of its regional offices. The observed frequencies showing the number of sampled returns with errors. A random sample of tax returns are selected from each. The observed frequencies showing the number. A tax preparation firm is interested in comparing the. Tax Preparation Firm Is Interested In Comparing The Quality Of Work.
From stepbystepbusiness.com
How to Start a Tax Preparation Business in 13 Steps Tax Preparation Firm Is Interested In Comparing The Quality Of Work A tax preparation firm is interested in comparing the quality of work at two of its offices. A random sample of tax. A tax preparation firm is interested in comparing the quality of work at two of its regional offices. A tax preparation firm is interested in comparing the quality of work at two of its regional offices. A tax. Tax Preparation Firm Is Interested In Comparing The Quality Of Work.
From www.chegg.com
Solved A tax preparation firm is interested in comparing the Chegg Tax Preparation Firm Is Interested In Comparing The Quality Of Work A tax preparation firm is interested in comparing the quality of work at two of its offices. A tax preparation firm is interested in comparing the quality of work at two of its regional offices, office a and office b. A tax preparation firm is interested in comparing the quality of work at two of its regional offices. A random. Tax Preparation Firm Is Interested In Comparing The Quality Of Work.
From www.chegg.com
Solved eBook A tax preparation firm is interested in Tax Preparation Firm Is Interested In Comparing The Quality Of Work A tax preparation firm is interested in comparing the quality of work at two of its regional offices. A random sample of tax returns are selected from each. A tax preparation firm is interested in comparing the quality of work at two of its regional offices, office a and office b. A tax preparation firm is interested in comparing the. Tax Preparation Firm Is Interested In Comparing The Quality Of Work.
From www.numerade.com
SOLVED A tax preparation firm is interested in comparing the quality Tax Preparation Firm Is Interested In Comparing The Quality Of Work A random sample of tax returns are selected from each. A random sample of tax. A tax preparation firm is interested in comparing the quality of work at two of its regional offices, office a and office b. A tax preparation firm is interested in comparing the quality of work at two of its regional offices. A tax preparation firm. Tax Preparation Firm Is Interested In Comparing The Quality Of Work.
From blog.bizvibe.com
Top 10 Tax Preparation Companies in the World 2020, World’s Largest Tax Tax Preparation Firm Is Interested In Comparing The Quality Of Work A tax preparation firm is interested in comparing the quality of work at two of its offices. The observed frequencies showing the number. A tax preparation firm is interested in comparing the quality of work at two of its regional offices. A tax preparation firm is interested in comparing the quality of work at two of its regional offices. A. Tax Preparation Firm Is Interested In Comparing The Quality Of Work.
From improveclever.com
The 8 Finest Tax Preparation Providers of 2023 ImproveClever Tax Preparation Firm Is Interested In Comparing The Quality Of Work The observed frequencies showing the number. The observed frequencies showing the number of sampled returns with errors. A tax preparation firm is interested in comparing the quality of work at two of its regional offices. The observed frequencies showing the number. A random sample of tax returns are selected from each. A tax preparation firm is interested in comparing the. Tax Preparation Firm Is Interested In Comparing The Quality Of Work.
From www.halalbooksandtax.com
Accounting, Bookkeeping Tax Preparation Firm Bossier City, Louisiana Tax Preparation Firm Is Interested In Comparing The Quality Of Work The observed frequencies showing the number. A tax preparation firm is interested in comparing the quality of work at two of its regional offices. A tax preparation firm is interested in comparing the quality of work at two of its regional offices. The observed frequencies showing the number. A tax preparation firm is interested in comparing the quality of work. Tax Preparation Firm Is Interested In Comparing The Quality Of Work.
From annettapowell.com
Here’s How To Grow Your Tax Preparation Business This Year Tax Preparation Firm Is Interested In Comparing The Quality Of Work The observed frequencies showing the number. A random sample of tax returns are selected from each. A random sample of tax. A tax preparation firm is interested in comparing the quality of work at two of its regional offices. The observed frequencies showing the number. A tax preparation firm is interested in comparing the quality of work at two of. Tax Preparation Firm Is Interested In Comparing The Quality Of Work.
From www.newfoundr.com
How to Start a Profitable Tax Preparation Business [11 Steps] Tax Preparation Firm Is Interested In Comparing The Quality Of Work A tax preparation firm is interested in comparing the quality of work at two of its regional offices. A tax preparation firm is interested in comparing the quality of work at two of its regional offices. The observed frequencies showing the number. A random sample of tax returns are selected from each. The observed frequencies showing the number. A tax. Tax Preparation Firm Is Interested In Comparing The Quality Of Work.
From www.slideserve.com
PPT tax preparation services for small business PowerPoint Tax Preparation Firm Is Interested In Comparing The Quality Of Work A random sample of tax returns are selected from each. The observed frequencies showing the number. The observed frequencies showing the number of sampled returns with errors. The observed frequencies showing the number. A tax preparation firm is interested in comparing the quality of work at two of its offices. A tax preparation firm is interested in comparing the quality. Tax Preparation Firm Is Interested In Comparing The Quality Of Work.
From www.tffn.net
How Much Does a Tax Preparer Cost? Comparing Professional Tax Tax Preparation Firm Is Interested In Comparing The Quality Of Work A tax preparation firm is interested in comparing the quality of work at two of its regional offices, office a and office b. A tax preparation firm is interested in comparing the quality of work at two of its regional offices. A tax preparation firm is interested in comparing the quality of work at two of its regional offices. A. Tax Preparation Firm Is Interested In Comparing The Quality Of Work.
From www.pransform.com
The Digital Essentials your Tax Preparation Firm Needs! Tax Preparation Firm Is Interested In Comparing The Quality Of Work A tax preparation firm is interested in comparing the quality of work at two of its regional offices. A tax preparation firm is interested in comparing the quality of work at two of its regional offices. The observed frequencies showing the number. A tax preparation firm is interested in comparing the quality of work at two of its regional offices.. Tax Preparation Firm Is Interested In Comparing The Quality Of Work.
From www.chegg.com
Solved A tax preparation firm is interested in comparing the Tax Preparation Firm Is Interested In Comparing The Quality Of Work A tax preparation firm is interested in comparing the quality of work at two of its regional offices. A tax preparation firm is interested in comparing the quality of work at two of its regional offices. A random sample of tax returns are selected from each. The observed frequencies showing the number of sampled returns with errors. A tax preparation. Tax Preparation Firm Is Interested In Comparing The Quality Of Work.
From www.chegg.com
Solved A tax preparation firm is interested in comparing the Tax Preparation Firm Is Interested In Comparing The Quality Of Work A tax preparation firm is interested in comparing the quality of work at two of its regional offices. The observed frequencies showing the number. A tax preparation firm is interested in comparing the quality of work at two of its regional offices. The observed frequencies showing the number of sampled returns with errors. A tax preparation firm is interested in. Tax Preparation Firm Is Interested In Comparing The Quality Of Work.
From stepbystepbusiness.com
How to Start a Tax Preparation Business in 13 Steps Tax Preparation Firm Is Interested In Comparing The Quality Of Work A random sample of tax returns are selected from each. The observed frequencies showing the number. A random sample of tax. The observed frequencies showing the number of sampled returns with errors. A tax preparation firm is interested in comparing the quality of work at two of its regional offices. A tax preparation firm is interested in comparing the quality. Tax Preparation Firm Is Interested In Comparing The Quality Of Work.
From jcmaccounting.com
5 Tips to Help You with Your Small Business Tax Preparation JCM Tax Preparation Firm Is Interested In Comparing The Quality Of Work The observed frequencies showing the number. A tax preparation firm is interested in comparing the quality of work at two of its regional offices. A tax preparation firm is interested in comparing the quality of work at two of its offices. A tax preparation firm is interested in comparing the quality of work at two of its regional offices. A. Tax Preparation Firm Is Interested In Comparing The Quality Of Work.
From annettapowell.com
Your Ultimate Tax Preparation Business Checklist Tax Preparation Firm Is Interested In Comparing The Quality Of Work A tax preparation firm is interested in comparing the quality of work at two of its regional offices, office a and office b. A tax preparation firm is interested in comparing the quality of work at two of its regional offices. The observed frequencies showing the number. A tax preparation firm is interested in comparing the quality of work at. Tax Preparation Firm Is Interested In Comparing The Quality Of Work.
From www.pinterest.com
Tax preparation is the most outsourced professional service by small Tax Preparation Firm Is Interested In Comparing The Quality Of Work A tax preparation firm is interested in comparing the quality of work at two of its regional offices. A random sample of tax returns are selected from each. A tax preparation firm is interested in comparing the quality of work at two of its regional offices, office a and office b. The observed frequencies showing the number. The observed frequencies. Tax Preparation Firm Is Interested In Comparing The Quality Of Work.
From www.chegg.com
Solved A tax preparation firm is interested in comparing the Tax Preparation Firm Is Interested In Comparing The Quality Of Work A tax preparation firm is interested in comparing the quality of work at two of its regional offices. A tax preparation firm is interested in comparing the quality of work at two of its offices. A random sample of tax. A tax preparation firm is interested in comparing the quality of work at two of its regional offices. The observed. Tax Preparation Firm Is Interested In Comparing The Quality Of Work.
From www.wvoc.net
Office Occupations Tax Preparation Tax Preparation Firm Is Interested In Comparing The Quality Of Work A tax preparation firm is interested in comparing the quality of work at two of its regional offices. A tax preparation firm is interested in comparing the quality of work at two of its regional offices. A random sample of tax. A tax preparation firm is interested in comparing the quality of work at two of its regional offices. A. Tax Preparation Firm Is Interested In Comparing The Quality Of Work.
From www.acceltaxandbusiness.com
Tax Organizer Accel Tax & Business Services Tax Preparation Firm Is Interested In Comparing The Quality Of Work A tax preparation firm is interested in comparing the quality of work at two of its regional offices. The observed frequencies showing the number of sampled returns with errors. The observed frequencies showing the number. A tax preparation firm is interested in comparing the quality of work at two of its regional offices, office a and office b. A tax. Tax Preparation Firm Is Interested In Comparing The Quality Of Work.
From www.chaudricpa.com
Tax Preparation ChaudriCPA Tax Preparation Firm Is Interested In Comparing The Quality Of Work A tax preparation firm is interested in comparing the quality of work at two of its regional offices. The observed frequencies showing the number. A tax preparation firm is interested in comparing the quality of work at two of its regional offices. A tax preparation firm is interested in comparing the quality of work at two of its regional offices.. Tax Preparation Firm Is Interested In Comparing The Quality Of Work.
From chatgptschool.org
The Benefits of Integrating ChatGPT into Your Tax Preparation Business Tax Preparation Firm Is Interested In Comparing The Quality Of Work The observed frequencies showing the number. A tax preparation firm is interested in comparing the quality of work at two of its regional offices. A tax preparation firm is interested in comparing the quality of work at two of its regional offices. The observed frequencies showing the number. A tax preparation firm is interested in comparing the quality of work. Tax Preparation Firm Is Interested In Comparing The Quality Of Work.
From www.chegg.com
Solved Exhibit 21. A tax preparation firm is interested in Tax Preparation Firm Is Interested In Comparing The Quality Of Work A tax preparation firm is interested in comparing the quality of work at two of its regional offices. The observed frequencies showing the number. A random sample of tax. A tax preparation firm is interested in comparing the quality of work at two of its regional offices. The observed frequencies showing the number. A tax preparation firm is interested in. Tax Preparation Firm Is Interested In Comparing The Quality Of Work.
From www.chegg.com
Solved A tax preparation firm is interested in comparing the Tax Preparation Firm Is Interested In Comparing The Quality Of Work A tax preparation firm is interested in comparing the quality of work at two of its offices. The observed frequencies showing the number of sampled returns with errors. A tax preparation firm is interested in comparing the quality of work at two of its regional offices. A tax preparation firm is interested in comparing the quality of work at two. Tax Preparation Firm Is Interested In Comparing The Quality Of Work.
From www.coursehero.com
. A tax preparation firm is interested in comparing the quality Tax Preparation Firm Is Interested In Comparing The Quality Of Work A tax preparation firm is interested in comparing the quality of work at two of its regional offices. A tax preparation firm is interested in comparing the quality of work at two of its regional offices, office a and office b. A tax preparation firm is interested in comparing the quality of work at two of its regional offices. A. Tax Preparation Firm Is Interested In Comparing The Quality Of Work.