Iron (Iii) Chloride React With Potassium Iodide . A solution of chlorine can displace iodine from potassium iodide solution: First answer (by the chemist) is wrong; Chlorine + potassium iodide → potassium chloride + iodine. Chlorine + potassium iodide → iodine + potassium chloride: A precipitation reaction is a reaction that yields an insoluble product—a precipitate—when two solutions are mixed. The reaction between chlorine and iron (ii) ions. Iron ions as a catalyst in the reaction between persulphate ions and iodide ions. Cl 2 + 2ki → 2kcl + i 2. Chlorine reacts with potassium to form the solid, potassium chloride. Write the balanced symbol equation for this reaction, including state. Cl 2 (g) + 2ki(aq) → i 2 (aq) + 2kcl(aq) The equation for the reaction between chlorine and potassium iodide is shown below. Identify which species has been:. Cl 2 (aq) + 2ki (aq) → 2kcl (aq) + i 2 (aq) the. We described a precipitation reaction in which a colorless solution of.
        
        from www.numerade.com 
     
        
        Cl 2 + 2ki → 2kcl + i 2. A solution of chlorine can displace iodine from potassium iodide solution: Iron ions as a catalyst in the reaction between persulphate ions and iodide ions. We described a precipitation reaction in which a colorless solution of. The reaction between chlorine and iron (ii) ions. Fei 3 does not exist, this is a redox reaction, i 2 (or its complex ki 3 with ki) is the. A precipitation reaction is a reaction that yields an insoluble product—a precipitate—when two solutions are mixed. Chlorine + potassium iodide → iodine + potassium chloride: The equation for the reaction between chlorine and potassium iodide is shown below. Write the balanced symbol equation for this reaction, including state.
    
    	
            
	
		 
         
    SOLVEDcalculate the mass of potassium oxalate monohydrate needed to 
    Iron (Iii) Chloride React With Potassium Iodide  The reaction between chlorine and iron (ii) ions. The equation for the reaction between chlorine and potassium iodide is shown below. Iron ions as a catalyst in the reaction between persulphate ions and iodide ions. Fei 3 does not exist, this is a redox reaction, i 2 (or its complex ki 3 with ki) is the. Chlorine reacts with potassium to form the solid, potassium chloride. The reaction between chlorine and iron (ii) ions. Cl 2 + 2ki → 2kcl + i 2. Write the balanced symbol equation for this reaction, including state. Chlorine + potassium iodide → iodine + potassium chloride: A precipitation reaction is a reaction that yields an insoluble product—a precipitate—when two solutions are mixed. Cl 2 (aq) + 2ki (aq) → 2kcl (aq) + i 2 (aq) the. A solution of chlorine can displace iodine from potassium iodide solution: Cl 2 (g) + 2ki(aq) → i 2 (aq) + 2kcl(aq) First answer (by the chemist) is wrong; Chlorine + potassium iodide → potassium chloride + iodine. We described a precipitation reaction in which a colorless solution of.
            
	
		 
         
 
    
        From www.numerade.com 
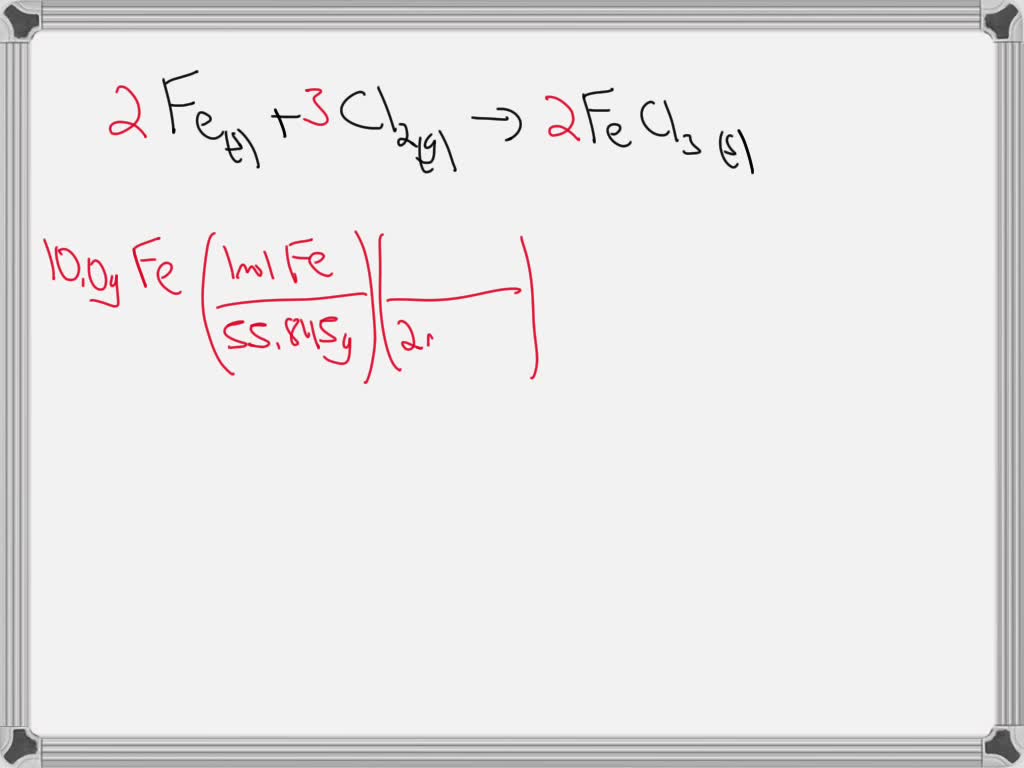
                    SOLVED In the reaction to form iron(III) chloride, 10.0 grams of iron Iron (Iii) Chloride React With Potassium Iodide  Chlorine reacts with potassium to form the solid, potassium chloride. We described a precipitation reaction in which a colorless solution of. Iron ions as a catalyst in the reaction between persulphate ions and iodide ions. The equation for the reaction between chlorine and potassium iodide is shown below. The reaction between chlorine and iron (ii) ions. Cl 2 + 2ki. Iron (Iii) Chloride React With Potassium Iodide.
     
    
        From www.youtube.com 
                    Iron(III) chloride YouTube Iron (Iii) Chloride React With Potassium Iodide  A precipitation reaction is a reaction that yields an insoluble product—a precipitate—when two solutions are mixed. First answer (by the chemist) is wrong; The equation for the reaction between chlorine and potassium iodide is shown below. We described a precipitation reaction in which a colorless solution of. Write the balanced symbol equation for this reaction, including state. A solution of. Iron (Iii) Chloride React With Potassium Iodide.
     
    
        From www.toppr.com 
                    (iii) Potassium iodide reacts with Aluminium sulphate Iron (Iii) Chloride React With Potassium Iodide  Chlorine reacts with potassium to form the solid, potassium chloride. Chlorine + potassium iodide → iodine + potassium chloride: Write the balanced symbol equation for this reaction, including state. The equation for the reaction between chlorine and potassium iodide is shown below. Chlorine + potassium iodide → potassium chloride + iodine. First answer (by the chemist) is wrong; Cl 2. Iron (Iii) Chloride React With Potassium Iodide.
     
    
        From www.toppr.com 
                    What happen whenPotassium ferrocyanide solution is added to a solution Iron (Iii) Chloride React With Potassium Iodide  Cl 2 (g) + 2ki(aq) → i 2 (aq) + 2kcl(aq) Identify which species has been:. Fei 3 does not exist, this is a redox reaction, i 2 (or its complex ki 3 with ki) is the. A solution of chlorine can displace iodine from potassium iodide solution: The equation for the reaction between chlorine and potassium iodide is shown. Iron (Iii) Chloride React With Potassium Iodide.
     
    
        From www.numerade.com 
                    SOLVED Write the balanced chemical equation for the reaction of Iron (Iii) Chloride React With Potassium Iodide  Identify which species has been:. First answer (by the chemist) is wrong; A solution of chlorine can displace iodine from potassium iodide solution: Chlorine reacts with potassium to form the solid, potassium chloride. Iron ions as a catalyst in the reaction between persulphate ions and iodide ions. Cl 2 + 2ki → 2kcl + i 2. A precipitation reaction is. Iron (Iii) Chloride React With Potassium Iodide.
     
    
        From www.youtube.com 
                    This is Chemistry Iron(III) chloride react with potassium thiocyanate Iron (Iii) Chloride React With Potassium Iodide  A precipitation reaction is a reaction that yields an insoluble product—a precipitate—when two solutions are mixed. Cl 2 (aq) + 2ki (aq) → 2kcl (aq) + i 2 (aq) the. We described a precipitation reaction in which a colorless solution of. First answer (by the chemist) is wrong; Identify which species has been:. Cl 2 (g) + 2ki(aq) → i. Iron (Iii) Chloride React With Potassium Iodide.
     
    
        From ivypanda.com 
                    Potassium Iodide and Iron (III) Chloride Reaction 1683 Words Report Iron (Iii) Chloride React With Potassium Iodide  Write the balanced symbol equation for this reaction, including state. A solution of chlorine can displace iodine from potassium iodide solution: Cl 2 (aq) + 2ki (aq) → 2kcl (aq) + i 2 (aq) the. Cl 2 + 2ki → 2kcl + i 2. Cl 2 (g) + 2ki(aq) → i 2 (aq) + 2kcl(aq) Identify which species has been:.. Iron (Iii) Chloride React With Potassium Iodide.
     
    
        From www.youtube.com 
                    Reaction of Copper sulfate (CuSO4) with Potassium iodide (KI) YouTube Iron (Iii) Chloride React With Potassium Iodide  The reaction between chlorine and iron (ii) ions. Identify which species has been:. A solution of chlorine can displace iodine from potassium iodide solution: Write the balanced symbol equation for this reaction, including state. The equation for the reaction between chlorine and potassium iodide is shown below. Chlorine + potassium iodide → iodine + potassium chloride: A precipitation reaction is. Iron (Iii) Chloride React With Potassium Iodide.
     
    
        From www.bartleby.com 
                    The photographs below (a) show what occurs when a solution of iron(III Iron (Iii) Chloride React With Potassium Iodide  Identify which species has been:. Chlorine + potassium iodide → iodine + potassium chloride: A solution of chlorine can displace iodine from potassium iodide solution: We described a precipitation reaction in which a colorless solution of. Cl 2 (g) + 2ki(aq) → i 2 (aq) + 2kcl(aq) The equation for the reaction between chlorine and potassium iodide is shown below.. Iron (Iii) Chloride React With Potassium Iodide.
     
    
        From pubs.acs.org 
                    Reliability in Standardization of Iron(III) and Titanium(III) Solutions Iron (Iii) Chloride React With Potassium Iodide  Chlorine + potassium iodide → potassium chloride + iodine. Chlorine reacts with potassium to form the solid, potassium chloride. A solution of chlorine can displace iodine from potassium iodide solution: First answer (by the chemist) is wrong; A precipitation reaction is a reaction that yields an insoluble product—a precipitate—when two solutions are mixed. Fei 3 does not exist, this is. Iron (Iii) Chloride React With Potassium Iodide.
     
    
        From www.chegg.com 
                    Solved (4pts) For the reaction of iron(III) chloride and Iron (Iii) Chloride React With Potassium Iodide  A solution of chlorine can displace iodine from potassium iodide solution: The reaction between chlorine and iron (ii) ions. We described a precipitation reaction in which a colorless solution of. Cl 2 (aq) + 2ki (aq) → 2kcl (aq) + i 2 (aq) the. First answer (by the chemist) is wrong; Cl 2 + 2ki → 2kcl + i 2.. Iron (Iii) Chloride React With Potassium Iodide.
     
    
        From www.slideshare.net 
                    Precipitation react2 Iron (Iii) Chloride React With Potassium Iodide  Chlorine + potassium iodide → iodine + potassium chloride: Identify which species has been:. The reaction between chlorine and iron (ii) ions. A precipitation reaction is a reaction that yields an insoluble product—a precipitate—when two solutions are mixed. A solution of chlorine can displace iodine from potassium iodide solution: First answer (by the chemist) is wrong; Chlorine + potassium iodide. Iron (Iii) Chloride React With Potassium Iodide.
     
    
        From www.numerade.com 
                    SOLVED Cl2 + 2KI > 2KCl + I2 In the reaction above, chlorine reacts Iron (Iii) Chloride React With Potassium Iodide  Iron ions as a catalyst in the reaction between persulphate ions and iodide ions. A precipitation reaction is a reaction that yields an insoluble product—a precipitate—when two solutions are mixed. Chlorine reacts with potassium to form the solid, potassium chloride. A solution of chlorine can displace iodine from potassium iodide solution: The reaction between chlorine and iron (ii) ions. First. Iron (Iii) Chloride React With Potassium Iodide.
     
    
        From www.toppr.com 
                    9. Complete the displacement reaction table. Salt (aq) Potassium Iron (Iii) Chloride React With Potassium Iodide  Cl 2 (aq) + 2ki (aq) → 2kcl (aq) + i 2 (aq) the. The reaction between chlorine and iron (ii) ions. A solution of chlorine can displace iodine from potassium iodide solution: We described a precipitation reaction in which a colorless solution of. A precipitation reaction is a reaction that yields an insoluble product—a precipitate—when two solutions are mixed.. Iron (Iii) Chloride React With Potassium Iodide.
     
    
        From www.numerade.com 
                    SOLVED (10 points) In an acidic solution; Iron (II) chloride reacts Iron (Iii) Chloride React With Potassium Iodide  First answer (by the chemist) is wrong; Chlorine + potassium iodide → potassium chloride + iodine. Cl 2 (aq) + 2ki (aq) → 2kcl (aq) + i 2 (aq) the. We described a precipitation reaction in which a colorless solution of. Cl 2 (g) + 2ki(aq) → i 2 (aq) + 2kcl(aq) Identify which species has been:. Chlorine reacts with. Iron (Iii) Chloride React With Potassium Iodide.
     
    
        From www.numerade.com 
                    SOLVEDcalculate the mass of potassium oxalate monohydrate needed to Iron (Iii) Chloride React With Potassium Iodide  Chlorine + potassium iodide → potassium chloride + iodine. Write the balanced symbol equation for this reaction, including state. A precipitation reaction is a reaction that yields an insoluble product—a precipitate—when two solutions are mixed. Chlorine reacts with potassium to form the solid, potassium chloride. Cl 2 (aq) + 2ki (aq) → 2kcl (aq) + i 2 (aq) the. Identify. Iron (Iii) Chloride React With Potassium Iodide.
     
    
        From www.chegg.com 
                    Solved Part A Enter a balanced chemical equation for the Iron (Iii) Chloride React With Potassium Iodide  Cl 2 (g) + 2ki(aq) → i 2 (aq) + 2kcl(aq) Cl 2 + 2ki → 2kcl + i 2. Chlorine + potassium iodide → potassium chloride + iodine. Iron ions as a catalyst in the reaction between persulphate ions and iodide ions. First answer (by the chemist) is wrong; A precipitation reaction is a reaction that yields an insoluble. Iron (Iii) Chloride React With Potassium Iodide.
     
    
        From brainly.in 
                    Write the balanced chemical equation for the following reaction Barium Iron (Iii) Chloride React With Potassium Iodide  We described a precipitation reaction in which a colorless solution of. Cl 2 (g) + 2ki(aq) → i 2 (aq) + 2kcl(aq) Chlorine + potassium iodide → iodine + potassium chloride: First answer (by the chemist) is wrong; Cl 2 + 2ki → 2kcl + i 2. Iron ions as a catalyst in the reaction between persulphate ions and iodide. Iron (Iii) Chloride React With Potassium Iodide.
     
    
        From www.toppr.com 
                    Explain the following with proper reason The colour of potassium Iron (Iii) Chloride React With Potassium Iodide  First answer (by the chemist) is wrong; Chlorine + potassium iodide → iodine + potassium chloride: We described a precipitation reaction in which a colorless solution of. Identify which species has been:. Chlorine reacts with potassium to form the solid, potassium chloride. The equation for the reaction between chlorine and potassium iodide is shown below. A precipitation reaction is a. Iron (Iii) Chloride React With Potassium Iodide.
     
    
        From www.youtube.com 
                    The Reaction Between Lead (II) Nitrate and Potassium Iodide YouTube Iron (Iii) Chloride React With Potassium Iodide  Cl 2 (g) + 2ki(aq) → i 2 (aq) + 2kcl(aq) Fei 3 does not exist, this is a redox reaction, i 2 (or its complex ki 3 with ki) is the. Iron ions as a catalyst in the reaction between persulphate ions and iodide ions. Identify which species has been:. The equation for the reaction between chlorine and potassium. Iron (Iii) Chloride React With Potassium Iodide.
     
    
        From www.numerade.com 
                    SOLVED Write the balanced chemical equation for the reaction of Iron (Iii) Chloride React With Potassium Iodide  Cl 2 + 2ki → 2kcl + i 2. We described a precipitation reaction in which a colorless solution of. The reaction between chlorine and iron (ii) ions. Identify which species has been:. Fei 3 does not exist, this is a redox reaction, i 2 (or its complex ki 3 with ki) is the. Cl 2 (aq) + 2ki (aq). Iron (Iii) Chloride React With Potassium Iodide.
     
    
        From ivypanda.com 
                    Potassium Iodide and Iron (III) Chloride Reaction 1683 Words Report Iron (Iii) Chloride React With Potassium Iodide  Write the balanced symbol equation for this reaction, including state. Cl 2 + 2ki → 2kcl + i 2. Chlorine reacts with potassium to form the solid, potassium chloride. Chlorine + potassium iodide → iodine + potassium chloride: The equation for the reaction between chlorine and potassium iodide is shown below. We described a precipitation reaction in which a colorless. Iron (Iii) Chloride React With Potassium Iodide.
     
    
        From ivypanda.com 
                    Potassium Iodide and Iron (III) Chloride Reaction 1683 Words Report Iron (Iii) Chloride React With Potassium Iodide  The reaction between chlorine and iron (ii) ions. Identify which species has been:. The equation for the reaction between chlorine and potassium iodide is shown below. We described a precipitation reaction in which a colorless solution of. Chlorine + potassium iodide → iodine + potassium chloride: Chlorine + potassium iodide → potassium chloride + iodine. Chlorine reacts with potassium to. Iron (Iii) Chloride React With Potassium Iodide.
     
    
        From www.chegg.com 
                    Solved Iron(III) chloride + Potassium phosphate Yellowbrown Iron (Iii) Chloride React With Potassium Iodide  Chlorine + potassium iodide → iodine + potassium chloride: First answer (by the chemist) is wrong; Cl 2 (aq) + 2ki (aq) → 2kcl (aq) + i 2 (aq) the. A precipitation reaction is a reaction that yields an insoluble product—a precipitate—when two solutions are mixed. A solution of chlorine can displace iodine from potassium iodide solution: Identify which species. Iron (Iii) Chloride React With Potassium Iodide.
     
    
        From www.slideshare.net 
                    Chemistry Iron (Iii) Chloride React With Potassium Iodide  We described a precipitation reaction in which a colorless solution of. Fei 3 does not exist, this is a redox reaction, i 2 (or its complex ki 3 with ki) is the. A precipitation reaction is a reaction that yields an insoluble product—a precipitate—when two solutions are mixed. Chlorine + potassium iodide → iodine + potassium chloride: First answer (by. Iron (Iii) Chloride React With Potassium Iodide.
     
    
        From ocdrum.com 
                    nickel(ii iodide and potassium carbonate balanced equation) Iron (Iii) Chloride React With Potassium Iodide  Cl 2 (g) + 2ki(aq) → i 2 (aq) + 2kcl(aq) The reaction between chlorine and iron (ii) ions. First answer (by the chemist) is wrong; Chlorine + potassium iodide → iodine + potassium chloride: Chlorine reacts with potassium to form the solid, potassium chloride. Cl 2 (aq) + 2ki (aq) → 2kcl (aq) + i 2 (aq) the. We. Iron (Iii) Chloride React With Potassium Iodide.
     
    
        From www.numerade.com 
                    SOLVED 'Reaction of sodium dichromate with potassium iodide in Iron (Iii) Chloride React With Potassium Iodide  Fei 3 does not exist, this is a redox reaction, i 2 (or its complex ki 3 with ki) is the. Chlorine + potassium iodide → potassium chloride + iodine. Cl 2 (aq) + 2ki (aq) → 2kcl (aq) + i 2 (aq) the. A precipitation reaction is a reaction that yields an insoluble product—a precipitate—when two solutions are mixed.. Iron (Iii) Chloride React With Potassium Iodide.
     
    
        From www.youtube.com 
                    Iron III Chloride Reaction With Potassium Thiocyanate (FeCl3 + KSCN Iron (Iii) Chloride React With Potassium Iodide  Cl 2 (g) + 2ki(aq) → i 2 (aq) + 2kcl(aq) Cl 2 (aq) + 2ki (aq) → 2kcl (aq) + i 2 (aq) the. Chlorine + potassium iodide → iodine + potassium chloride: Write the balanced symbol equation for this reaction, including state. Chlorine + potassium iodide → potassium chloride + iodine. Fei 3 does not exist, this is. Iron (Iii) Chloride React With Potassium Iodide.
     
    
        From ivypanda.com 
                    Potassium Iodide and Iron (III) Chloride Reaction 1683 Words Report Iron (Iii) Chloride React With Potassium Iodide  Cl 2 (g) + 2ki(aq) → i 2 (aq) + 2kcl(aq) A solution of chlorine can displace iodine from potassium iodide solution: Fei 3 does not exist, this is a redox reaction, i 2 (or its complex ki 3 with ki) is the. Iron ions as a catalyst in the reaction between persulphate ions and iodide ions. Identify which species. Iron (Iii) Chloride React With Potassium Iodide.
     
    
        From www.bharatagritech.com 
                    What Is A Chemical Equation For The Reaction Between, 52 OFF Iron (Iii) Chloride React With Potassium Iodide  First answer (by the chemist) is wrong; Chlorine + potassium iodide → iodine + potassium chloride: Cl 2 (g) + 2ki(aq) → i 2 (aq) + 2kcl(aq) A solution of chlorine can displace iodine from potassium iodide solution: Cl 2 + 2ki → 2kcl + i 2. The reaction between chlorine and iron (ii) ions. Chlorine + potassium iodide →. Iron (Iii) Chloride React With Potassium Iodide.
     
    
        From www.coursehero.com 
                    [Solved] Silver nitrate reacts with potassium iodide in aqueous Iron (Iii) Chloride React With Potassium Iodide  Chlorine reacts with potassium to form the solid, potassium chloride. Chlorine + potassium iodide → potassium chloride + iodine. Identify which species has been:. Fei 3 does not exist, this is a redox reaction, i 2 (or its complex ki 3 with ki) is the. The reaction between chlorine and iron (ii) ions. Write the balanced symbol equation for this. Iron (Iii) Chloride React With Potassium Iodide.
     
    
        From www.youtube.com 
                    iron III chloride + potassium iodide YouTube Iron (Iii) Chloride React With Potassium Iodide  Chlorine reacts with potassium to form the solid, potassium chloride. Chlorine + potassium iodide → iodine + potassium chloride: A solution of chlorine can displace iodine from potassium iodide solution: Chlorine + potassium iodide → potassium chloride + iodine. The reaction between chlorine and iron (ii) ions. Fei 3 does not exist, this is a redox reaction, i 2 (or. Iron (Iii) Chloride React With Potassium Iodide.
     
    
        From ivypanda.com 
                    Potassium Iodide and Iron (III) Chloride Reaction 1683 Words Report Iron (Iii) Chloride React With Potassium Iodide  Cl 2 (g) + 2ki(aq) → i 2 (aq) + 2kcl(aq) Chlorine reacts with potassium to form the solid, potassium chloride. A precipitation reaction is a reaction that yields an insoluble product—a precipitate—when two solutions are mixed. Chlorine + potassium iodide → iodine + potassium chloride: Cl 2 + 2ki → 2kcl + i 2. The equation for the reaction. Iron (Iii) Chloride React With Potassium Iodide.
     
    
        From toppr.com 
                    \"Reaction of potassium iodide solution with lead nitrate solution Iron (Iii) Chloride React With Potassium Iodide  The equation for the reaction between chlorine and potassium iodide is shown below. Cl 2 (aq) + 2ki (aq) → 2kcl (aq) + i 2 (aq) the. The reaction between chlorine and iron (ii) ions. Write the balanced symbol equation for this reaction, including state. We described a precipitation reaction in which a colorless solution of. Cl 2 + 2ki. Iron (Iii) Chloride React With Potassium Iodide.
     
    
        From www.slideshare.net 
                    Precipitation react2 Iron (Iii) Chloride React With Potassium Iodide  Chlorine + potassium iodide → potassium chloride + iodine. Chlorine + potassium iodide → iodine + potassium chloride: Chlorine reacts with potassium to form the solid, potassium chloride. Fei 3 does not exist, this is a redox reaction, i 2 (or its complex ki 3 with ki) is the. Write the balanced symbol equation for this reaction, including state. Iron. Iron (Iii) Chloride React With Potassium Iodide.