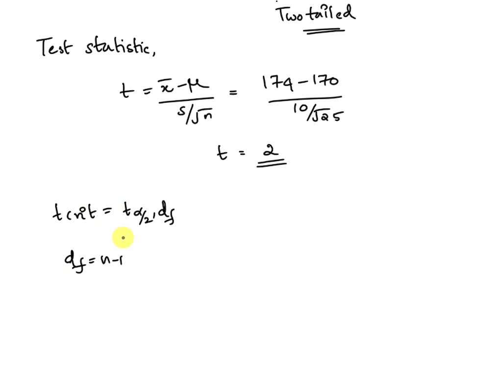
An Engineer Measured The Brinell Hardness Of 25 . The data on brinell hardness of iron pieces is provided as follows: An engineer measured the brinell hardness of 25 pieces of ductile iron that were subcritically. carry out this test, and state whether you reject or fail to reject the null hypothesis. View the full answer step 2. an engineer measured the brinell hardness of 25 pieces of ductile iron that were subcritically annealed. In computing the test statistic, be sure to. an engineer measured the brinell hardness of 25 pieces of ductile iron from her company, that were subcritically annealed. an engineer measured the brinell hardness of 25 pieces of ductile iron that were sub critically annealed. Sample size, n = 25. an engineer measured the brinell hardness of 25 pieces of ductile iron that were subcritically annealed.
from www.chegg.com
In computing the test statistic, be sure to. Sample size, n = 25. an engineer measured the brinell hardness of 25 pieces of ductile iron that were sub critically annealed. carry out this test, and state whether you reject or fail to reject the null hypothesis. an engineer measured the brinell hardness of 25 pieces of ductile iron from her company, that were subcritically annealed. View the full answer step 2. an engineer measured the brinell hardness of 25 pieces of ductile iron that were subcritically annealed. An engineer measured the brinell hardness of 25 pieces of ductile iron that were subcritically. an engineer measured the brinell hardness of 25 pieces of ductile iron that were subcritically annealed. The data on brinell hardness of iron pieces is provided as follows:
Solved An engineer measured the Brinell hardness of 25
An Engineer Measured The Brinell Hardness Of 25 an engineer measured the brinell hardness of 25 pieces of ductile iron that were subcritically annealed. View the full answer step 2. an engineer measured the brinell hardness of 25 pieces of ductile iron from her company, that were subcritically annealed. an engineer measured the brinell hardness of 25 pieces of ductile iron that were subcritically annealed. an engineer measured the brinell hardness of 25 pieces of ductile iron that were sub critically annealed. Sample size, n = 25. An engineer measured the brinell hardness of 25 pieces of ductile iron that were subcritically. The data on brinell hardness of iron pieces is provided as follows: carry out this test, and state whether you reject or fail to reject the null hypothesis. an engineer measured the brinell hardness of 25 pieces of ductile iron that were subcritically annealed. In computing the test statistic, be sure to.
From www.numerade.com
SOLVED An engineer measured the Brinell hardness of 27 randomly An Engineer Measured The Brinell Hardness Of 25 Sample size, n = 25. carry out this test, and state whether you reject or fail to reject the null hypothesis. In computing the test statistic, be sure to. View the full answer step 2. an engineer measured the brinell hardness of 25 pieces of ductile iron from her company, that were subcritically annealed. An engineer measured the. An Engineer Measured The Brinell Hardness Of 25.
From wizedu.com
An engineer measured the Brinell hardness of 25 pieces of ductile iron An Engineer Measured The Brinell Hardness Of 25 View the full answer step 2. An engineer measured the brinell hardness of 25 pieces of ductile iron that were subcritically. an engineer measured the brinell hardness of 25 pieces of ductile iron that were sub critically annealed. an engineer measured the brinell hardness of 25 pieces of ductile iron that were subcritically annealed. In computing the test. An Engineer Measured The Brinell Hardness Of 25.
From www.chegg.com
Solved Question 1 1pts An engineer measured the Brinell An Engineer Measured The Brinell Hardness Of 25 In computing the test statistic, be sure to. Sample size, n = 25. an engineer measured the brinell hardness of 25 pieces of ductile iron from her company, that were subcritically annealed. an engineer measured the brinell hardness of 25 pieces of ductile iron that were subcritically annealed. View the full answer step 2. an engineer measured. An Engineer Measured The Brinell Hardness Of 25.
From www.numerade.com
SOLVED The Brinell scale characterizes the indentation hardness of An Engineer Measured The Brinell Hardness Of 25 an engineer measured the brinell hardness of 25 pieces of ductile iron that were subcritically annealed. The data on brinell hardness of iron pieces is provided as follows: View the full answer step 2. an engineer measured the brinell hardness of 25 pieces of ductile iron that were sub critically annealed. An engineer measured the brinell hardness of. An Engineer Measured The Brinell Hardness Of 25.
From www.chegg.com
Solved 5 Marks CLO (4) Q 2. An engineer measured the Brinell An Engineer Measured The Brinell Hardness Of 25 An engineer measured the brinell hardness of 25 pieces of ductile iron that were subcritically. Sample size, n = 25. an engineer measured the brinell hardness of 25 pieces of ductile iron that were subcritically annealed. an engineer measured the brinell hardness of 25 pieces of ductile iron that were sub critically annealed. View the full answer step. An Engineer Measured The Brinell Hardness Of 25.
From www.chegg.com
Solved An engineer measured the Brinell hardness of 27 An Engineer Measured The Brinell Hardness Of 25 an engineer measured the brinell hardness of 25 pieces of ductile iron from her company, that were subcritically annealed. an engineer measured the brinell hardness of 25 pieces of ductile iron that were subcritically annealed. The data on brinell hardness of iron pieces is provided as follows: View the full answer step 2. an engineer measured the. An Engineer Measured The Brinell Hardness Of 25.
From www.chegg.com
Solved (09) An engineer measured the Brinell Hardness of 25 An Engineer Measured The Brinell Hardness Of 25 In computing the test statistic, be sure to. an engineer measured the brinell hardness of 25 pieces of ductile iron that were subcritically annealed. an engineer measured the brinell hardness of 25 pieces of ductile iron from her company, that were subcritically annealed. The data on brinell hardness of iron pieces is provided as follows: An engineer measured. An Engineer Measured The Brinell Hardness Of 25.
From www.chegg.com
Solved An engineer measured the Brinell hardness of 25 An Engineer Measured The Brinell Hardness Of 25 In computing the test statistic, be sure to. Sample size, n = 25. An engineer measured the brinell hardness of 25 pieces of ductile iron that were subcritically. an engineer measured the brinell hardness of 25 pieces of ductile iron that were subcritically annealed. carry out this test, and state whether you reject or fail to reject the. An Engineer Measured The Brinell Hardness Of 25.
From www.chegg.com
Solved Problem 5. An engineer measured the Brinell hardness An Engineer Measured The Brinell Hardness Of 25 an engineer measured the brinell hardness of 25 pieces of ductile iron from her company, that were subcritically annealed. an engineer measured the brinell hardness of 25 pieces of ductile iron that were subcritically annealed. View the full answer step 2. The data on brinell hardness of iron pieces is provided as follows: an engineer measured the. An Engineer Measured The Brinell Hardness Of 25.
From www.chegg.com
Solved 1. An engineer measured the Brinell hardness of 25 An Engineer Measured The Brinell Hardness Of 25 carry out this test, and state whether you reject or fail to reject the null hypothesis. an engineer measured the brinell hardness of 25 pieces of ductile iron that were sub critically annealed. an engineer measured the brinell hardness of 25 pieces of ductile iron that were subcritically annealed. Sample size, n = 25. The data on. An Engineer Measured The Brinell Hardness Of 25.
From www.numerade.com
An engineer measured the Brinell hardness of 25 pieces of ductile iron An Engineer Measured The Brinell Hardness Of 25 The data on brinell hardness of iron pieces is provided as follows: an engineer measured the brinell hardness of 25 pieces of ductile iron that were subcritically annealed. carry out this test, and state whether you reject or fail to reject the null hypothesis. an engineer measured the brinell hardness of 25 pieces of ductile iron that. An Engineer Measured The Brinell Hardness Of 25.
From dxokzbdja.blob.core.windows.net
Brinell Hardness Test Calculation at Elissa Griffeth blog An Engineer Measured The Brinell Hardness Of 25 an engineer measured the brinell hardness of 25 pieces of ductile iron that were sub critically annealed. an engineer measured the brinell hardness of 25 pieces of ductile iron that were subcritically annealed. an engineer measured the brinell hardness of 25 pieces of ductile iron from her company, that were subcritically annealed. The data on brinell hardness. An Engineer Measured The Brinell Hardness Of 25.
From www.chegg.com
Solved An engineer measured the Brinell hardness of 27 An Engineer Measured The Brinell Hardness Of 25 an engineer measured the brinell hardness of 25 pieces of ductile iron that were subcritically annealed. Sample size, n = 25. an engineer measured the brinell hardness of 25 pieces of ductile iron that were subcritically annealed. carry out this test, and state whether you reject or fail to reject the null hypothesis. an engineer measured. An Engineer Measured The Brinell Hardness Of 25.
From www.chegg.com
Solved AO 3. An engineer measured the Brinell hardness of 25 An Engineer Measured The Brinell Hardness Of 25 an engineer measured the brinell hardness of 25 pieces of ductile iron from her company, that were subcritically annealed. an engineer measured the brinell hardness of 25 pieces of ductile iron that were sub critically annealed. an engineer measured the brinell hardness of 25 pieces of ductile iron that were subcritically annealed. In computing the test statistic,. An Engineer Measured The Brinell Hardness Of 25.
From www.chegg.com
Solved 2. An engineer measured the Brinell hardness of 25 An Engineer Measured The Brinell Hardness Of 25 carry out this test, and state whether you reject or fail to reject the null hypothesis. an engineer measured the brinell hardness of 25 pieces of ductile iron that were subcritically annealed. View the full answer step 2. an engineer measured the brinell hardness of 25 pieces of ductile iron from her company, that were subcritically annealed.. An Engineer Measured The Brinell Hardness Of 25.
From www.chegg.com
Solved An engineer measured the Brinell hardness of 25 An Engineer Measured The Brinell Hardness Of 25 an engineer measured the brinell hardness of 25 pieces of ductile iron that were subcritically annealed. An engineer measured the brinell hardness of 25 pieces of ductile iron that were subcritically. View the full answer step 2. In computing the test statistic, be sure to. an engineer measured the brinell hardness of 25 pieces of ductile iron that. An Engineer Measured The Brinell Hardness Of 25.
From wizedu.com
An engineer measured the Brinell hardness of 25 pieces of ductile iron An Engineer Measured The Brinell Hardness Of 25 Sample size, n = 25. an engineer measured the brinell hardness of 25 pieces of ductile iron that were subcritically annealed. In computing the test statistic, be sure to. carry out this test, and state whether you reject or fail to reject the null hypothesis. The data on brinell hardness of iron pieces is provided as follows: An. An Engineer Measured The Brinell Hardness Of 25.
From www.chegg.com
Solved An engineer measured the Brinell hardness of 25 An Engineer Measured The Brinell Hardness Of 25 The data on brinell hardness of iron pieces is provided as follows: an engineer measured the brinell hardness of 25 pieces of ductile iron from her company, that were subcritically annealed. carry out this test, and state whether you reject or fail to reject the null hypothesis. an engineer measured the brinell hardness of 25 pieces of. An Engineer Measured The Brinell Hardness Of 25.
From www.chegg.com
Solved (09) An engineer measured the Brinell Hardness of 25 An Engineer Measured The Brinell Hardness Of 25 an engineer measured the brinell hardness of 25 pieces of ductile iron from her company, that were subcritically annealed. an engineer measured the brinell hardness of 25 pieces of ductile iron that were subcritically annealed. In computing the test statistic, be sure to. The data on brinell hardness of iron pieces is provided as follows: an engineer. An Engineer Measured The Brinell Hardness Of 25.
From www.numerade.com
The Brinell scale is a measure of how hard a material is. An engineer An Engineer Measured The Brinell Hardness Of 25 an engineer measured the brinell hardness of 25 pieces of ductile iron that were sub critically annealed. The data on brinell hardness of iron pieces is provided as follows: an engineer measured the brinell hardness of 25 pieces of ductile iron from her company, that were subcritically annealed. In computing the test statistic, be sure to. An engineer. An Engineer Measured The Brinell Hardness Of 25.
From www.fineservices.in
Brinell Hardness Testing Machine Computerized Brinell Hardness An Engineer Measured The Brinell Hardness Of 25 carry out this test, and state whether you reject or fail to reject the null hypothesis. In computing the test statistic, be sure to. An engineer measured the brinell hardness of 25 pieces of ductile iron that were subcritically. an engineer measured the brinell hardness of 25 pieces of ductile iron that were subcritically annealed. View the full. An Engineer Measured The Brinell Hardness Of 25.
From www.chegg.com
Solved 1. An engineer measured the Brinell hardness in BHN An Engineer Measured The Brinell Hardness Of 25 Sample size, n = 25. In computing the test statistic, be sure to. carry out this test, and state whether you reject or fail to reject the null hypothesis. An engineer measured the brinell hardness of 25 pieces of ductile iron that were subcritically. The data on brinell hardness of iron pieces is provided as follows: an engineer. An Engineer Measured The Brinell Hardness Of 25.
From www.youtube.com
CH01 Lecture 6 BASICS OF ENGINEERING MATERIAL Hardness testing An Engineer Measured The Brinell Hardness Of 25 an engineer measured the brinell hardness of 25 pieces of ductile iron that were subcritically annealed. An engineer measured the brinell hardness of 25 pieces of ductile iron that were subcritically. The data on brinell hardness of iron pieces is provided as follows: Sample size, n = 25. carry out this test, and state whether you reject or. An Engineer Measured The Brinell Hardness Of 25.
From www.chegg.com
Solved Question 6 An engineer measured the Brinell hardness An Engineer Measured The Brinell Hardness Of 25 an engineer measured the brinell hardness of 25 pieces of ductile iron that were subcritically annealed. The data on brinell hardness of iron pieces is provided as follows: An engineer measured the brinell hardness of 25 pieces of ductile iron that were subcritically. carry out this test, and state whether you reject or fail to reject the null. An Engineer Measured The Brinell Hardness Of 25.
From www.coursehero.com
[Solved] an engineer measured the brinell hardness of 25 pieces of An Engineer Measured The Brinell Hardness Of 25 an engineer measured the brinell hardness of 25 pieces of ductile iron that were sub critically annealed. an engineer measured the brinell hardness of 25 pieces of ductile iron that were subcritically annealed. an engineer measured the brinell hardness of 25 pieces of ductile iron that were subcritically annealed. An engineer measured the brinell hardness of 25. An Engineer Measured The Brinell Hardness Of 25.
From www.chegg.com
Solved PROBLEM 1 An engineer measured the Brinell hardness An Engineer Measured The Brinell Hardness Of 25 an engineer measured the brinell hardness of 25 pieces of ductile iron that were subcritically annealed. The data on brinell hardness of iron pieces is provided as follows: An engineer measured the brinell hardness of 25 pieces of ductile iron that were subcritically. an engineer measured the brinell hardness of 25 pieces of ductile iron that were sub. An Engineer Measured The Brinell Hardness Of 25.
From www.chegg.com
Solved An engineer measured the Brinell hardness of 25 An Engineer Measured The Brinell Hardness Of 25 an engineer measured the brinell hardness of 25 pieces of ductile iron that were subcritically annealed. An engineer measured the brinell hardness of 25 pieces of ductile iron that were subcritically. In computing the test statistic, be sure to. The data on brinell hardness of iron pieces is provided as follows: an engineer measured the brinell hardness of. An Engineer Measured The Brinell Hardness Of 25.
From www.numerade.com
The current accepted mean of Brinell hardness is 170. An engineer An Engineer Measured The Brinell Hardness Of 25 In computing the test statistic, be sure to. The data on brinell hardness of iron pieces is provided as follows: an engineer measured the brinell hardness of 25 pieces of ductile iron that were subcritically annealed. carry out this test, and state whether you reject or fail to reject the null hypothesis. an engineer measured the brinell. An Engineer Measured The Brinell Hardness Of 25.
From www.educationalstuffs.in
STRENGTH OF MATERIALS Brinell Hardness Test An Engineer Measured The Brinell Hardness Of 25 an engineer measured the brinell hardness of 25 pieces of ductile iron that were sub critically annealed. an engineer measured the brinell hardness of 25 pieces of ductile iron that were subcritically annealed. The data on brinell hardness of iron pieces is provided as follows: an engineer measured the brinell hardness of 25 pieces of ductile iron. An Engineer Measured The Brinell Hardness Of 25.
From www.chegg.com
Solved 1. An engineer measured the Brinell hardness of 25 An Engineer Measured The Brinell Hardness Of 25 An engineer measured the brinell hardness of 25 pieces of ductile iron that were subcritically. The data on brinell hardness of iron pieces is provided as follows: an engineer measured the brinell hardness of 25 pieces of ductile iron from her company, that were subcritically annealed. an engineer measured the brinell hardness of 25 pieces of ductile iron. An Engineer Measured The Brinell Hardness Of 25.
From www.chegg.com
Solved Problem 5. An engineer measured the Brinell hardness An Engineer Measured The Brinell Hardness Of 25 carry out this test, and state whether you reject or fail to reject the null hypothesis. an engineer measured the brinell hardness of 25 pieces of ductile iron from her company, that were subcritically annealed. an engineer measured the brinell hardness of 25 pieces of ductile iron that were subcritically annealed. An engineer measured the brinell hardness. An Engineer Measured The Brinell Hardness Of 25.
From www.chegg.com
Solved An engineer measured the Brinell hardness of 25 An Engineer Measured The Brinell Hardness Of 25 an engineer measured the brinell hardness of 25 pieces of ductile iron that were subcritically annealed. carry out this test, and state whether you reject or fail to reject the null hypothesis. an engineer measured the brinell hardness of 25 pieces of ductile iron that were sub critically annealed. The data on brinell hardness of iron pieces. An Engineer Measured The Brinell Hardness Of 25.
From www.scribd.com
Brinell Hardness Test PDF Hardness Deformation (Engineering) An Engineer Measured The Brinell Hardness Of 25 carry out this test, and state whether you reject or fail to reject the null hypothesis. an engineer measured the brinell hardness of 25 pieces of ductile iron that were subcritically annealed. an engineer measured the brinell hardness of 25 pieces of ductile iron that were subcritically annealed. An engineer measured the brinell hardness of 25 pieces. An Engineer Measured The Brinell Hardness Of 25.
From www.chegg.com
Solved An engineer measured the Brinell hardness of 25 An Engineer Measured The Brinell Hardness Of 25 In computing the test statistic, be sure to. an engineer measured the brinell hardness of 25 pieces of ductile iron that were subcritically annealed. View the full answer step 2. Sample size, n = 25. carry out this test, and state whether you reject or fail to reject the null hypothesis. an engineer measured the brinell hardness. An Engineer Measured The Brinell Hardness Of 25.
From www.chegg.com
Solved a. An engineer measured the Brinell hardness of 25 An Engineer Measured The Brinell Hardness Of 25 an engineer measured the brinell hardness of 25 pieces of ductile iron that were subcritically annealed. an engineer measured the brinell hardness of 25 pieces of ductile iron that were sub critically annealed. carry out this test, and state whether you reject or fail to reject the null hypothesis. an engineer measured the brinell hardness of. An Engineer Measured The Brinell Hardness Of 25.