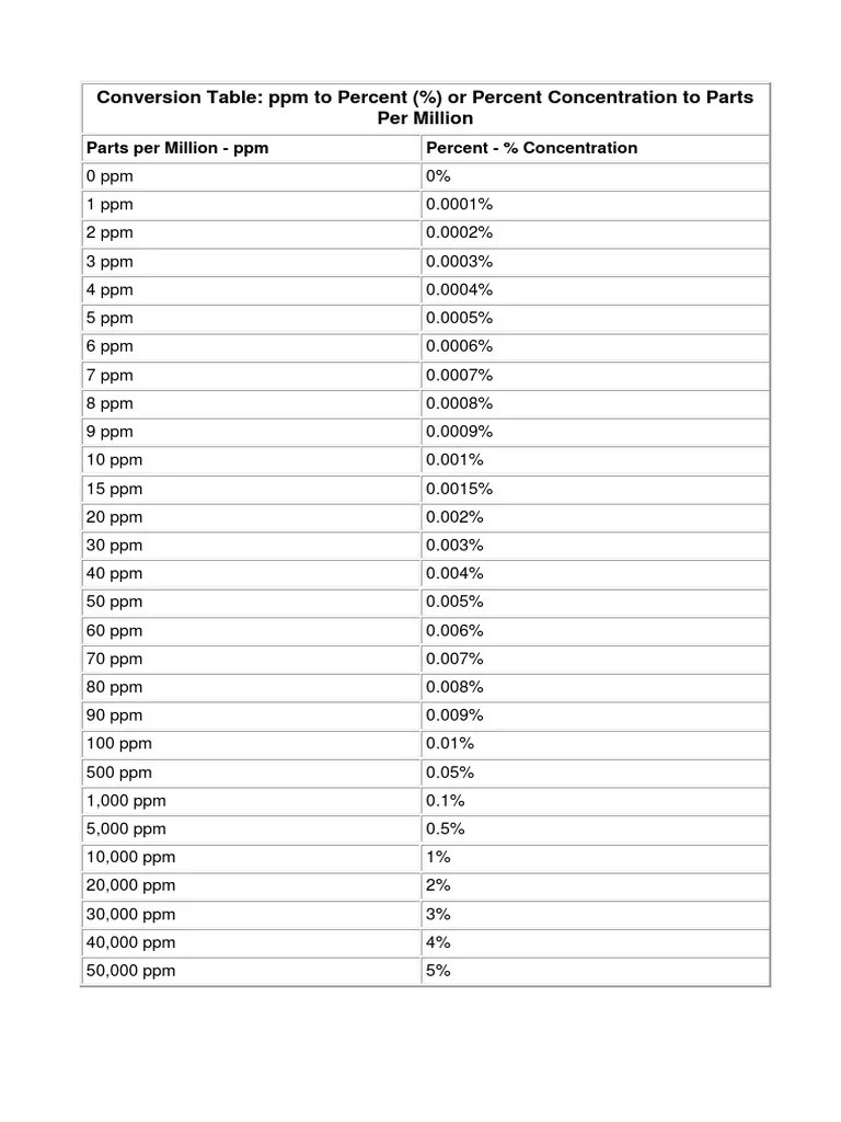
Converting Percent To Parts Per Million . Ppm is the ppm from percent (parts per million) p is the total percentage concentration (%) to calculate ppm from percent,. For example, in the case of a concentration of 0.12%, the corresponding parts per million. Use the blank text field to enter the. How many parts per million make 1 percent? It converts units from percent to ppm (parts per million). Measurement calculator that can be used to convert % to ppm (percent to parts per million),. Ppm = p * 10,000 ppm = p ∗ 10,000. To calculate the parts per million from the percentage, multiply the value in percent by 10,000. Percent to ppm is a percent to ppm conversion calculator.
        	
		 
	 
    
         
         
        from www.slideserve.com 
     
        
        How many parts per million make 1 percent? Ppm = p * 10,000 ppm = p ∗ 10,000. For example, in the case of a concentration of 0.12%, the corresponding parts per million. To calculate the parts per million from the percentage, multiply the value in percent by 10,000. Ppm is the ppm from percent (parts per million) p is the total percentage concentration (%) to calculate ppm from percent,. Use the blank text field to enter the. Percent to ppm is a percent to ppm conversion calculator. It converts units from percent to ppm (parts per million). Measurement calculator that can be used to convert % to ppm (percent to parts per million),.
    
    	
		 
	 
    PPT Chapter 2 Processes and Process Variables PowerPoint Presentation ID5232234 
    Converting Percent To Parts Per Million  Use the blank text field to enter the. Percent to ppm is a percent to ppm conversion calculator. It converts units from percent to ppm (parts per million). To calculate the parts per million from the percentage, multiply the value in percent by 10,000. Use the blank text field to enter the. Ppm is the ppm from percent (parts per million) p is the total percentage concentration (%) to calculate ppm from percent,. Measurement calculator that can be used to convert % to ppm (percent to parts per million),. How many parts per million make 1 percent? For example, in the case of a concentration of 0.12%, the corresponding parts per million. Ppm = p * 10,000 ppm = p ∗ 10,000.
 
    
         
        From gioutlyrt.blob.core.windows.net 
                    Converting To Parts Per Million at Chris Binder blog Converting Percent To Parts Per Million  Ppm is the ppm from percent (parts per million) p is the total percentage concentration (%) to calculate ppm from percent,. How many parts per million make 1 percent? To calculate the parts per million from the percentage, multiply the value in percent by 10,000. Measurement calculator that can be used to convert % to ppm (percent to parts per. Converting Percent To Parts Per Million.
     
    
         
        From exodiqjvw.blob.core.windows.net 
                    How To Convert Numbers Into Parts Per Million at Bradley Mathis blog Converting Percent To Parts Per Million  Percent to ppm is a percent to ppm conversion calculator. It converts units from percent to ppm (parts per million). Measurement calculator that can be used to convert % to ppm (percent to parts per million),. How many parts per million make 1 percent? For example, in the case of a concentration of 0.12%, the corresponding parts per million. Ppm. Converting Percent To Parts Per Million.
     
    
         
        From tamararubin.com 
                    Understanding ppm vs. ppb vs. percent. What do the terms "parts per million", and "parts per Converting Percent To Parts Per Million  It converts units from percent to ppm (parts per million). How many parts per million make 1 percent? Ppm is the ppm from percent (parts per million) p is the total percentage concentration (%) to calculate ppm from percent,. For example, in the case of a concentration of 0.12%, the corresponding parts per million. Ppm = p * 10,000 ppm. Converting Percent To Parts Per Million.
     
    
         
        From www.scribd.com 
                    A Comprehensive Conversion Chart Translating Between Parts Per Million (ppm) and Percent Converting Percent To Parts Per Million  Percent to ppm is a percent to ppm conversion calculator. To calculate the parts per million from the percentage, multiply the value in percent by 10,000. For example, in the case of a concentration of 0.12%, the corresponding parts per million. Ppm = p * 10,000 ppm = p ∗ 10,000. How many parts per million make 1 percent? Ppm. Converting Percent To Parts Per Million.
     
    
         
        From gioutlyrt.blob.core.windows.net 
                    Converting To Parts Per Million at Chris Binder blog Converting Percent To Parts Per Million  For example, in the case of a concentration of 0.12%, the corresponding parts per million. Ppm is the ppm from percent (parts per million) p is the total percentage concentration (%) to calculate ppm from percent,. To calculate the parts per million from the percentage, multiply the value in percent by 10,000. Measurement calculator that can be used to convert. Converting Percent To Parts Per Million.
     
    
         
        From www.youtube.com 
                    Parts Per Million (ppm) and Parts Per Billion (ppb) Solution Concentration YouTube Converting Percent To Parts Per Million  Use the blank text field to enter the. For example, in the case of a concentration of 0.12%, the corresponding parts per million. Ppm = p * 10,000 ppm = p ∗ 10,000. Ppm is the ppm from percent (parts per million) p is the total percentage concentration (%) to calculate ppm from percent,. To calculate the parts per million. Converting Percent To Parts Per Million.
     
    
         
        From animalia-life.club 
                    Parts Per Million Equation Converting Percent To Parts Per Million  Ppm = p * 10,000 ppm = p ∗ 10,000. Measurement calculator that can be used to convert % to ppm (percent to parts per million),. To calculate the parts per million from the percentage, multiply the value in percent by 10,000. Percent to ppm is a percent to ppm conversion calculator. For example, in the case of a concentration. Converting Percent To Parts Per Million.
     
    
         
        From marisiaaneeqa.blogspot.com 
                    22+ ppb to ppm calculator MarisiaAneeqa Converting Percent To Parts Per Million  Measurement calculator that can be used to convert % to ppm (percent to parts per million),. To calculate the parts per million from the percentage, multiply the value in percent by 10,000. For example, in the case of a concentration of 0.12%, the corresponding parts per million. Ppm = p * 10,000 ppm = p ∗ 10,000. Ppm is the. Converting Percent To Parts Per Million.
     
    
         
        From fity.club 
                    6 Sigma Ppm Converting Percent To Parts Per Million  Percent to ppm is a percent to ppm conversion calculator. Measurement calculator that can be used to convert % to ppm (percent to parts per million),. For example, in the case of a concentration of 0.12%, the corresponding parts per million. To calculate the parts per million from the percentage, multiply the value in percent by 10,000. Use the blank. Converting Percent To Parts Per Million.
     
    
         
        From sites.gsu.edu 
                    Lab 3 Part 2 Converting Percent To Parts Per Million  For example, in the case of a concentration of 0.12%, the corresponding parts per million. How many parts per million make 1 percent? Measurement calculator that can be used to convert % to ppm (percent to parts per million),. To calculate the parts per million from the percentage, multiply the value in percent by 10,000. Ppm = p * 10,000. Converting Percent To Parts Per Million.
     
    
         
        From www.chemistryspace.com 
                    Calculating a Contribution in PartperMillion Converting Percent To Parts Per Million  For example, in the case of a concentration of 0.12%, the corresponding parts per million. Use the blank text field to enter the. Ppm is the ppm from percent (parts per million) p is the total percentage concentration (%) to calculate ppm from percent,. Percent to ppm is a percent to ppm conversion calculator. Measurement calculator that can be used. Converting Percent To Parts Per Million.
     
    
         
        From www.researchgate.net 
                    Geochemical data in weight percent (wt ) and parts per million (ppm). Download Scientific Diagram Converting Percent To Parts Per Million  For example, in the case of a concentration of 0.12%, the corresponding parts per million. It converts units from percent to ppm (parts per million). To calculate the parts per million from the percentage, multiply the value in percent by 10,000. Ppm = p * 10,000 ppm = p ∗ 10,000. Ppm is the ppm from percent (parts per million). Converting Percent To Parts Per Million.
     
    
         
        From www.slideserve.com 
                    PPT Chapter 2 Processes and Process Variables PowerPoint Presentation ID5232234 Converting Percent To Parts Per Million  It converts units from percent to ppm (parts per million). Measurement calculator that can be used to convert % to ppm (percent to parts per million),. For example, in the case of a concentration of 0.12%, the corresponding parts per million. Ppm = p * 10,000 ppm = p ∗ 10,000. Ppm is the ppm from percent (parts per million). Converting Percent To Parts Per Million.
     
    
         
        From www.youtube.com 
                    Mass Percentage & Parts Per Million from Molarity YouTube Converting Percent To Parts Per Million  For example, in the case of a concentration of 0.12%, the corresponding parts per million. Measurement calculator that can be used to convert % to ppm (percent to parts per million),. It converts units from percent to ppm (parts per million). Ppm = p * 10,000 ppm = p ∗ 10,000. To calculate the parts per million from the percentage,. Converting Percent To Parts Per Million.
     
    
         
        From calculatorcorp.com 
                    Percent To PPM Conversion Calculator To PartsPerMillion Converting Percent To Parts Per Million  For example, in the case of a concentration of 0.12%, the corresponding parts per million. Percent to ppm is a percent to ppm conversion calculator. Ppm = p * 10,000 ppm = p ∗ 10,000. How many parts per million make 1 percent? Ppm is the ppm from percent (parts per million) p is the total percentage concentration (%) to. Converting Percent To Parts Per Million.
     
    
         
        From calculatorian.com 
                    Convert From Partsper Million To Partsper Trillion Converting Percent To Parts Per Million  To calculate the parts per million from the percentage, multiply the value in percent by 10,000. Measurement calculator that can be used to convert % to ppm (percent to parts per million),. Ppm is the ppm from percent (parts per million) p is the total percentage concentration (%) to calculate ppm from percent,. Ppm = p * 10,000 ppm =. Converting Percent To Parts Per Million.
     
    
         
        From www.slideserve.com 
                    PPT Hydrogen Sulfide Safety PowerPoint Presentation, free download ID4865364 Converting Percent To Parts Per Million  For example, in the case of a concentration of 0.12%, the corresponding parts per million. Percent to ppm is a percent to ppm conversion calculator. Measurement calculator that can be used to convert % to ppm (percent to parts per million),. It converts units from percent to ppm (parts per million). Use the blank text field to enter the. Ppm. Converting Percent To Parts Per Million.
     
    
         
        From exodiqjvw.blob.core.windows.net 
                    How To Convert Numbers Into Parts Per Million at Bradley Mathis blog Converting Percent To Parts Per Million  Percent to ppm is a percent to ppm conversion calculator. Use the blank text field to enter the. For example, in the case of a concentration of 0.12%, the corresponding parts per million. Ppm = p * 10,000 ppm = p ∗ 10,000. Measurement calculator that can be used to convert % to ppm (percent to parts per million),. It. Converting Percent To Parts Per Million.
     
    
         
        From mavink.com 
                    Ppm Conversion Table Converting Percent To Parts Per Million  Use the blank text field to enter the. Percent to ppm is a percent to ppm conversion calculator. Ppm = p * 10,000 ppm = p ∗ 10,000. Measurement calculator that can be used to convert % to ppm (percent to parts per million),. How many parts per million make 1 percent? For example, in the case of a concentration. Converting Percent To Parts Per Million.
     
    
         
        From www.youtube.com 
                    Let's Think about unit conversions parts per million YouTube Converting Percent To Parts Per Million  Ppm is the ppm from percent (parts per million) p is the total percentage concentration (%) to calculate ppm from percent,. To calculate the parts per million from the percentage, multiply the value in percent by 10,000. How many parts per million make 1 percent? Use the blank text field to enter the. Percent to ppm is a percent to. Converting Percent To Parts Per Million.
     
    
         
        From gioutlyrt.blob.core.windows.net 
                    Converting To Parts Per Million at Chris Binder blog Converting Percent To Parts Per Million  To calculate the parts per million from the percentage, multiply the value in percent by 10,000. Measurement calculator that can be used to convert % to ppm (percent to parts per million),. It converts units from percent to ppm (parts per million). For example, in the case of a concentration of 0.12%, the corresponding parts per million. Ppm = p. Converting Percent To Parts Per Million.
     
    
         
        From www.scribd.com 
                    Parts Per Million Conversions Parts Per Notation Molar Concentration Converting Percent To Parts Per Million  Percent to ppm is a percent to ppm conversion calculator. How many parts per million make 1 percent? To calculate the parts per million from the percentage, multiply the value in percent by 10,000. Ppm is the ppm from percent (parts per million) p is the total percentage concentration (%) to calculate ppm from percent,. Measurement calculator that can be. Converting Percent To Parts Per Million.
     
    
         
        From calculatorian.com 
                    Convert From Partsper Million To Partsper Trillion Converting Percent To Parts Per Million  To calculate the parts per million from the percentage, multiply the value in percent by 10,000. Measurement calculator that can be used to convert % to ppm (percent to parts per million),. Use the blank text field to enter the. Ppm is the ppm from percent (parts per million) p is the total percentage concentration (%) to calculate ppm from. Converting Percent To Parts Per Million.
     
    
         
        From www.slideserve.com 
                    PPT Chemistry 102(01) Spring 2012 PowerPoint Presentation, free download ID2012140 Converting Percent To Parts Per Million  Use the blank text field to enter the. Ppm = p * 10,000 ppm = p ∗ 10,000. It converts units from percent to ppm (parts per million). Ppm is the ppm from percent (parts per million) p is the total percentage concentration (%) to calculate ppm from percent,. How many parts per million make 1 percent? Measurement calculator that. Converting Percent To Parts Per Million.
     
    
         
        From www.slideserve.com 
                    PPT USPHS 2011 Scientific and Training Symposium June 2023 PowerPoint Presentation ID1417646 Converting Percent To Parts Per Million  For example, in the case of a concentration of 0.12%, the corresponding parts per million. Ppm = p * 10,000 ppm = p ∗ 10,000. How many parts per million make 1 percent? Use the blank text field to enter the. To calculate the parts per million from the percentage, multiply the value in percent by 10,000. Ppm is the. Converting Percent To Parts Per Million.
     
    
         
        From www.pharmacalculation.com 
                    Parts Per Million (ppm) Calculation Formula Converting Percent To Parts Per Million  For example, in the case of a concentration of 0.12%, the corresponding parts per million. To calculate the parts per million from the percentage, multiply the value in percent by 10,000. Percent to ppm is a percent to ppm conversion calculator. Use the blank text field to enter the. It converts units from percent to ppm (parts per million). How. Converting Percent To Parts Per Million.
     
    
         
        From www.youtube.com 
                    Molarity percent by mass ppm simple calculations YouTube Converting Percent To Parts Per Million  To calculate the parts per million from the percentage, multiply the value in percent by 10,000. Use the blank text field to enter the. Ppm is the ppm from percent (parts per million) p is the total percentage concentration (%) to calculate ppm from percent,. How many parts per million make 1 percent? For example, in the case of a. Converting Percent To Parts Per Million.
     
    
         
        From fyodwygzs.blob.core.windows.net 
                    How To Convert Parts Per Million To Weight Percent at Greg Orner blog Converting Percent To Parts Per Million  To calculate the parts per million from the percentage, multiply the value in percent by 10,000. Measurement calculator that can be used to convert % to ppm (percent to parts per million),. Use the blank text field to enter the. It converts units from percent to ppm (parts per million). Percent to ppm is a percent to ppm conversion calculator.. Converting Percent To Parts Per Million.
     
    
         
        From slideplayer.com 
                    Parts per Million Concentration. Parts per Million (ppm) is the ratio of the number of grams of Converting Percent To Parts Per Million  Ppm = p * 10,000 ppm = p ∗ 10,000. To calculate the parts per million from the percentage, multiply the value in percent by 10,000. How many parts per million make 1 percent? Percent to ppm is a percent to ppm conversion calculator. For example, in the case of a concentration of 0.12%, the corresponding parts per million. Use. Converting Percent To Parts Per Million.
     
    
         
        From fyodwygzs.blob.core.windows.net 
                    How To Convert Parts Per Million To Weight Percent at Greg Orner blog Converting Percent To Parts Per Million  How many parts per million make 1 percent? Measurement calculator that can be used to convert % to ppm (percent to parts per million),. To calculate the parts per million from the percentage, multiply the value in percent by 10,000. Percent to ppm is a percent to ppm conversion calculator. Use the blank text field to enter the. Ppm =. Converting Percent To Parts Per Million.
     
    
         
        From www.youtube.com 
                    HOW TO CONVERT MASS PERCENT TO PARTS PER MILLION (ppm) AND VICE VERSA?WITH EXAMPLES AND Converting Percent To Parts Per Million  Ppm is the ppm from percent (parts per million) p is the total percentage concentration (%) to calculate ppm from percent,. For example, in the case of a concentration of 0.12%, the corresponding parts per million. To calculate the parts per million from the percentage, multiply the value in percent by 10,000. Percent to ppm is a percent to ppm. Converting Percent To Parts Per Million.
     
    
         
        From www.slideserve.com 
                    PPT Solutions Class 4 PowerPoint Presentation, free download ID3995331 Converting Percent To Parts Per Million  Measurement calculator that can be used to convert % to ppm (percent to parts per million),. It converts units from percent to ppm (parts per million). Ppm is the ppm from percent (parts per million) p is the total percentage concentration (%) to calculate ppm from percent,. How many parts per million make 1 percent? For example, in the case. Converting Percent To Parts Per Million.
     
    
         
        From classschooltrommler.z19.web.core.windows.net 
                    Parts Per Million Worksheet Converting Percent To Parts Per Million  Measurement calculator that can be used to convert % to ppm (percent to parts per million),. To calculate the parts per million from the percentage, multiply the value in percent by 10,000. Ppm is the ppm from percent (parts per million) p is the total percentage concentration (%) to calculate ppm from percent,. How many parts per million make 1. Converting Percent To Parts Per Million.
     
    
         
        From gioutlyrt.blob.core.windows.net 
                    Converting To Parts Per Million at Chris Binder blog Converting Percent To Parts Per Million  Ppm = p * 10,000 ppm = p ∗ 10,000. How many parts per million make 1 percent? Ppm is the ppm from percent (parts per million) p is the total percentage concentration (%) to calculate ppm from percent,. Use the blank text field to enter the. Percent to ppm is a percent to ppm conversion calculator. To calculate the. Converting Percent To Parts Per Million.
     
    
         
        From www.biologyexams4u.com 
                    Normality, Molality, Molarity, Mole fraction, Percentage Solution (), parts per million (ppm Converting Percent To Parts Per Million  It converts units from percent to ppm (parts per million). How many parts per million make 1 percent? Measurement calculator that can be used to convert % to ppm (percent to parts per million),. Use the blank text field to enter the. To calculate the parts per million from the percentage, multiply the value in percent by 10,000. Percent to. Converting Percent To Parts Per Million.