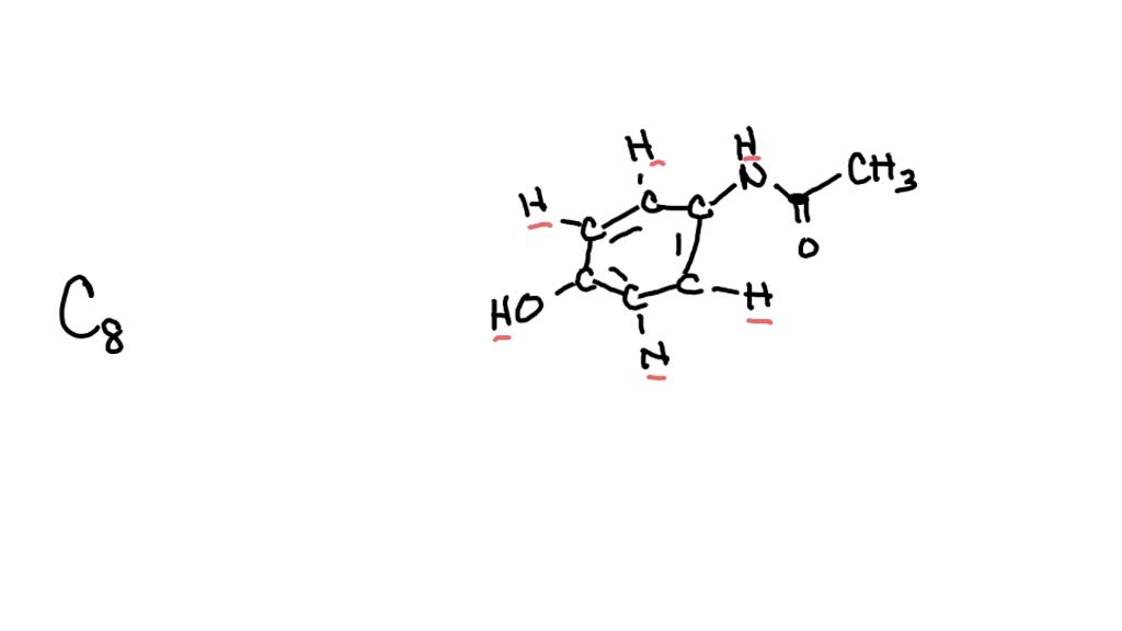
Acetaminophen Formula Functional Groups . C 8 h 9 no 2. C 8 h 9 no 2. acetaminophen (paracetamol), also commonly known as tylenol, is the most commonly taken analgesic worldwide and is recommended as. chemspider record containing structure, synonyms,. A functional group is a specific group of atoms within a. C 8 h 9 no 2. the functional groups in acetaminophen are hydroxyl, aromatic ring, and amide.
from www.wou.edu
A functional group is a specific group of atoms within a. the functional groups in acetaminophen are hydroxyl, aromatic ring, and amide. C 8 h 9 no 2. C 8 h 9 no 2. chemspider record containing structure, synonyms,. acetaminophen (paracetamol), also commonly known as tylenol, is the most commonly taken analgesic worldwide and is recommended as. C 8 h 9 no 2.
CH105 Chapter 5 Introduction to Organic Chemistry Chemistry
Acetaminophen Formula Functional Groups C 8 h 9 no 2. C 8 h 9 no 2. chemspider record containing structure, synonyms,. the functional groups in acetaminophen are hydroxyl, aromatic ring, and amide. acetaminophen (paracetamol), also commonly known as tylenol, is the most commonly taken analgesic worldwide and is recommended as. A functional group is a specific group of atoms within a. C 8 h 9 no 2. C 8 h 9 no 2.
From www.chegg.com
Solved 3. Which of the following functional groups are Acetaminophen Formula Functional Groups acetaminophen (paracetamol), also commonly known as tylenol, is the most commonly taken analgesic worldwide and is recommended as. A functional group is a specific group of atoms within a. C 8 h 9 no 2. the functional groups in acetaminophen are hydroxyl, aromatic ring, and amide. C 8 h 9 no 2. chemspider record containing structure, synonyms,.. Acetaminophen Formula Functional Groups.
From www.numerade.com
Acetaminophen, shown here, is the active ingredient in Tylenol. Write Acetaminophen Formula Functional Groups C 8 h 9 no 2. A functional group is a specific group of atoms within a. chemspider record containing structure, synonyms,. C 8 h 9 no 2. acetaminophen (paracetamol), also commonly known as tylenol, is the most commonly taken analgesic worldwide and is recommended as. C 8 h 9 no 2. the functional groups in acetaminophen. Acetaminophen Formula Functional Groups.
From www.chegg.com
Solved Which functional groups are present in acetaminophen Acetaminophen Formula Functional Groups C 8 h 9 no 2. chemspider record containing structure, synonyms,. C 8 h 9 no 2. acetaminophen (paracetamol), also commonly known as tylenol, is the most commonly taken analgesic worldwide and is recommended as. C 8 h 9 no 2. the functional groups in acetaminophen are hydroxyl, aromatic ring, and amide. A functional group is a. Acetaminophen Formula Functional Groups.
From www.animalia-life.club
Structural Formula For Acetaminophen Acetaminophen Formula Functional Groups acetaminophen (paracetamol), also commonly known as tylenol, is the most commonly taken analgesic worldwide and is recommended as. C 8 h 9 no 2. C 8 h 9 no 2. C 8 h 9 no 2. chemspider record containing structure, synonyms,. the functional groups in acetaminophen are hydroxyl, aromatic ring, and amide. A functional group is a. Acetaminophen Formula Functional Groups.
From www.chegg.com
Solved (2.) A. What functional groups does Tylenol Acetaminophen Formula Functional Groups A functional group is a specific group of atoms within a. acetaminophen (paracetamol), also commonly known as tylenol, is the most commonly taken analgesic worldwide and is recommended as. C 8 h 9 no 2. the functional groups in acetaminophen are hydroxyl, aromatic ring, and amide. C 8 h 9 no 2. chemspider record containing structure, synonyms,.. Acetaminophen Formula Functional Groups.
From www.neugenlabs.com
Acetaminophen EP Impurity L Neugen Labs Acetaminophen Formula Functional Groups C 8 h 9 no 2. C 8 h 9 no 2. A functional group is a specific group of atoms within a. the functional groups in acetaminophen are hydroxyl, aromatic ring, and amide. acetaminophen (paracetamol), also commonly known as tylenol, is the most commonly taken analgesic worldwide and is recommended as. C 8 h 9 no 2.. Acetaminophen Formula Functional Groups.
From www.animalia-life.club
Structural Formula For Acetaminophen Acetaminophen Formula Functional Groups C 8 h 9 no 2. A functional group is a specific group of atoms within a. acetaminophen (paracetamol), also commonly known as tylenol, is the most commonly taken analgesic worldwide and is recommended as. C 8 h 9 no 2. the functional groups in acetaminophen are hydroxyl, aromatic ring, and amide. chemspider record containing structure, synonyms,.. Acetaminophen Formula Functional Groups.
From www.anyrgb.com
2nitrobenzaldehyde, Salix alba, acetyl Group, Aspirin, acetaminophen Acetaminophen Formula Functional Groups C 8 h 9 no 2. A functional group is a specific group of atoms within a. acetaminophen (paracetamol), also commonly known as tylenol, is the most commonly taken analgesic worldwide and is recommended as. chemspider record containing structure, synonyms,. C 8 h 9 no 2. C 8 h 9 no 2. the functional groups in acetaminophen. Acetaminophen Formula Functional Groups.
From animalia-life.club
Acetaminophen Chemical Structure Acetaminophen Formula Functional Groups acetaminophen (paracetamol), also commonly known as tylenol, is the most commonly taken analgesic worldwide and is recommended as. C 8 h 9 no 2. C 8 h 9 no 2. C 8 h 9 no 2. the functional groups in acetaminophen are hydroxyl, aromatic ring, and amide. chemspider record containing structure, synonyms,. A functional group is a. Acetaminophen Formula Functional Groups.
From www.alamy.com
Acetaminophen hires stock photography and images Alamy Acetaminophen Formula Functional Groups the functional groups in acetaminophen are hydroxyl, aromatic ring, and amide. C 8 h 9 no 2. chemspider record containing structure, synonyms,. A functional group is a specific group of atoms within a. C 8 h 9 no 2. C 8 h 9 no 2. acetaminophen (paracetamol), also commonly known as tylenol, is the most commonly taken. Acetaminophen Formula Functional Groups.
From www.chegg.com
Solved The problematic chemical reaction that occurs in our Acetaminophen Formula Functional Groups C 8 h 9 no 2. C 8 h 9 no 2. acetaminophen (paracetamol), also commonly known as tylenol, is the most commonly taken analgesic worldwide and is recommended as. C 8 h 9 no 2. chemspider record containing structure, synonyms,. A functional group is a specific group of atoms within a. the functional groups in acetaminophen. Acetaminophen Formula Functional Groups.
From coreem.net
Acetaminophen Toxicity Core EM Acetaminophen Formula Functional Groups C 8 h 9 no 2. the functional groups in acetaminophen are hydroxyl, aromatic ring, and amide. A functional group is a specific group of atoms within a. chemspider record containing structure, synonyms,. C 8 h 9 no 2. C 8 h 9 no 2. acetaminophen (paracetamol), also commonly known as tylenol, is the most commonly taken. Acetaminophen Formula Functional Groups.
From www.transtutors.com
(Get Answer) (2.) A. What functional groups does Tylenol Acetaminophen Formula Functional Groups chemspider record containing structure, synonyms,. the functional groups in acetaminophen are hydroxyl, aromatic ring, and amide. acetaminophen (paracetamol), also commonly known as tylenol, is the most commonly taken analgesic worldwide and is recommended as. C 8 h 9 no 2. A functional group is a specific group of atoms within a. C 8 h 9 no 2.. Acetaminophen Formula Functional Groups.
From www.chegg.com
Solved Which functional groups are present in acetaminophen? Acetaminophen Formula Functional Groups C 8 h 9 no 2. A functional group is a specific group of atoms within a. the functional groups in acetaminophen are hydroxyl, aromatic ring, and amide. C 8 h 9 no 2. C 8 h 9 no 2. acetaminophen (paracetamol), also commonly known as tylenol, is the most commonly taken analgesic worldwide and is recommended as.. Acetaminophen Formula Functional Groups.
From ar.inspiredpencil.com
Acetaminophen Chemical Structure Acetaminophen Formula Functional Groups C 8 h 9 no 2. C 8 h 9 no 2. C 8 h 9 no 2. acetaminophen (paracetamol), also commonly known as tylenol, is the most commonly taken analgesic worldwide and is recommended as. A functional group is a specific group of atoms within a. chemspider record containing structure, synonyms,. the functional groups in acetaminophen. Acetaminophen Formula Functional Groups.
From www.dreamstime.com
Paracetamol Acetaminophen Drug Molecule. Structural Chemical F Stock Acetaminophen Formula Functional Groups A functional group is a specific group of atoms within a. C 8 h 9 no 2. C 8 h 9 no 2. the functional groups in acetaminophen are hydroxyl, aromatic ring, and amide. C 8 h 9 no 2. chemspider record containing structure, synonyms,. acetaminophen (paracetamol), also commonly known as tylenol, is the most commonly taken. Acetaminophen Formula Functional Groups.
From www.researchgate.net
List of pharmaceutical compounds, chemical structure and pKa values Acetaminophen Formula Functional Groups C 8 h 9 no 2. C 8 h 9 no 2. the functional groups in acetaminophen are hydroxyl, aromatic ring, and amide. C 8 h 9 no 2. A functional group is a specific group of atoms within a. acetaminophen (paracetamol), also commonly known as tylenol, is the most commonly taken analgesic worldwide and is recommended as.. Acetaminophen Formula Functional Groups.
From www.numerade.com
SOLVED Draw structural formulas of the following compounds Cirele and Acetaminophen Formula Functional Groups the functional groups in acetaminophen are hydroxyl, aromatic ring, and amide. A functional group is a specific group of atoms within a. C 8 h 9 no 2. acetaminophen (paracetamol), also commonly known as tylenol, is the most commonly taken analgesic worldwide and is recommended as. C 8 h 9 no 2. C 8 h 9 no 2.. Acetaminophen Formula Functional Groups.
From www.youtube.com
Synthesis of acetaminophen Overview and Q&A YouTube Acetaminophen Formula Functional Groups acetaminophen (paracetamol), also commonly known as tylenol, is the most commonly taken analgesic worldwide and is recommended as. C 8 h 9 no 2. the functional groups in acetaminophen are hydroxyl, aromatic ring, and amide. C 8 h 9 no 2. C 8 h 9 no 2. chemspider record containing structure, synonyms,. A functional group is a. Acetaminophen Formula Functional Groups.
From www.chegg.com
Solved Knowing that Acetaminophen contains the following Acetaminophen Formula Functional Groups C 8 h 9 no 2. C 8 h 9 no 2. A functional group is a specific group of atoms within a. chemspider record containing structure, synonyms,. acetaminophen (paracetamol), also commonly known as tylenol, is the most commonly taken analgesic worldwide and is recommended as. C 8 h 9 no 2. the functional groups in acetaminophen. Acetaminophen Formula Functional Groups.
From www.animalia-life.club
Structural Formula For Acetaminophen Acetaminophen Formula Functional Groups C 8 h 9 no 2. chemspider record containing structure, synonyms,. C 8 h 9 no 2. A functional group is a specific group of atoms within a. the functional groups in acetaminophen are hydroxyl, aromatic ring, and amide. C 8 h 9 no 2. acetaminophen (paracetamol), also commonly known as tylenol, is the most commonly taken. Acetaminophen Formula Functional Groups.
From animalia-life.club
Acetaminophen Chemical Structure Acetaminophen Formula Functional Groups A functional group is a specific group of atoms within a. the functional groups in acetaminophen are hydroxyl, aromatic ring, and amide. C 8 h 9 no 2. acetaminophen (paracetamol), also commonly known as tylenol, is the most commonly taken analgesic worldwide and is recommended as. chemspider record containing structure, synonyms,. C 8 h 9 no 2.. Acetaminophen Formula Functional Groups.
From animalia-life.club
Acetaminophen Chemical Structure Acetaminophen Formula Functional Groups C 8 h 9 no 2. the functional groups in acetaminophen are hydroxyl, aromatic ring, and amide. C 8 h 9 no 2. A functional group is a specific group of atoms within a. C 8 h 9 no 2. chemspider record containing structure, synonyms,. acetaminophen (paracetamol), also commonly known as tylenol, is the most commonly taken. Acetaminophen Formula Functional Groups.
From vivanls.com
Acetaminophen Isotope labeled materials Vivan Life Science Acetaminophen Formula Functional Groups C 8 h 9 no 2. the functional groups in acetaminophen are hydroxyl, aromatic ring, and amide. A functional group is a specific group of atoms within a. C 8 h 9 no 2. acetaminophen (paracetamol), also commonly known as tylenol, is the most commonly taken analgesic worldwide and is recommended as. C 8 h 9 no 2.. Acetaminophen Formula Functional Groups.
From www.numerade.com
SOLVED Consider caffeine and acetaminophen What structural features Acetaminophen Formula Functional Groups acetaminophen (paracetamol), also commonly known as tylenol, is the most commonly taken analgesic worldwide and is recommended as. A functional group is a specific group of atoms within a. C 8 h 9 no 2. C 8 h 9 no 2. the functional groups in acetaminophen are hydroxyl, aromatic ring, and amide. C 8 h 9 no 2.. Acetaminophen Formula Functional Groups.
From www.waters.com
Acetaminophen Waters Acetaminophen Formula Functional Groups C 8 h 9 no 2. chemspider record containing structure, synonyms,. the functional groups in acetaminophen are hydroxyl, aromatic ring, and amide. A functional group is a specific group of atoms within a. C 8 h 9 no 2. C 8 h 9 no 2. acetaminophen (paracetamol), also commonly known as tylenol, is the most commonly taken. Acetaminophen Formula Functional Groups.
From www.animalia-life.club
Structural Formula For Acetaminophen Acetaminophen Formula Functional Groups chemspider record containing structure, synonyms,. acetaminophen (paracetamol), also commonly known as tylenol, is the most commonly taken analgesic worldwide and is recommended as. A functional group is a specific group of atoms within a. C 8 h 9 no 2. C 8 h 9 no 2. C 8 h 9 no 2. the functional groups in acetaminophen. Acetaminophen Formula Functional Groups.
From www.wou.edu
CH105 Chapter 5 Introduction to Organic Chemistry Chemistry Acetaminophen Formula Functional Groups C 8 h 9 no 2. C 8 h 9 no 2. C 8 h 9 no 2. chemspider record containing structure, synonyms,. the functional groups in acetaminophen are hydroxyl, aromatic ring, and amide. A functional group is a specific group of atoms within a. acetaminophen (paracetamol), also commonly known as tylenol, is the most commonly taken. Acetaminophen Formula Functional Groups.
From www.vrogue.co
Organic Chemistry Functional Groups Oswaldominschultz vrogue.co Acetaminophen Formula Functional Groups C 8 h 9 no 2. chemspider record containing structure, synonyms,. C 8 h 9 no 2. the functional groups in acetaminophen are hydroxyl, aromatic ring, and amide. A functional group is a specific group of atoms within a. C 8 h 9 no 2. acetaminophen (paracetamol), also commonly known as tylenol, is the most commonly taken. Acetaminophen Formula Functional Groups.
From www.xiahepublishing.com
AcetaminophenInduced Hepatotoxicity a Comprehensive Update Acetaminophen Formula Functional Groups acetaminophen (paracetamol), also commonly known as tylenol, is the most commonly taken analgesic worldwide and is recommended as. C 8 h 9 no 2. C 8 h 9 no 2. A functional group is a specific group of atoms within a. C 8 h 9 no 2. the functional groups in acetaminophen are hydroxyl, aromatic ring, and amide.. Acetaminophen Formula Functional Groups.
From www.coursehero.com
[Solved] 1)Draw the structure of acetaminophen and label... Course Hero Acetaminophen Formula Functional Groups acetaminophen (paracetamol), also commonly known as tylenol, is the most commonly taken analgesic worldwide and is recommended as. A functional group is a specific group of atoms within a. chemspider record containing structure, synonyms,. the functional groups in acetaminophen are hydroxyl, aromatic ring, and amide. C 8 h 9 no 2. C 8 h 9 no 2.. Acetaminophen Formula Functional Groups.
From www.numerade.com
SOLVED Texts 1. The compounds that are going to be analyzed in this Acetaminophen Formula Functional Groups acetaminophen (paracetamol), also commonly known as tylenol, is the most commonly taken analgesic worldwide and is recommended as. the functional groups in acetaminophen are hydroxyl, aromatic ring, and amide. C 8 h 9 no 2. C 8 h 9 no 2. A functional group is a specific group of atoms within a. chemspider record containing structure, synonyms,.. Acetaminophen Formula Functional Groups.
From courses.lumenlearning.com
Amines and Amides Chemistry Acetaminophen Formula Functional Groups C 8 h 9 no 2. chemspider record containing structure, synonyms,. A functional group is a specific group of atoms within a. C 8 h 9 no 2. C 8 h 9 no 2. the functional groups in acetaminophen are hydroxyl, aromatic ring, and amide. acetaminophen (paracetamol), also commonly known as tylenol, is the most commonly taken. Acetaminophen Formula Functional Groups.
From patents.google.com
WO2007053197A2 Nanoparticulate acetaminophen formulations Google Acetaminophen Formula Functional Groups C 8 h 9 no 2. A functional group is a specific group of atoms within a. the functional groups in acetaminophen are hydroxyl, aromatic ring, and amide. C 8 h 9 no 2. C 8 h 9 no 2. chemspider record containing structure, synonyms,. acetaminophen (paracetamol), also commonly known as tylenol, is the most commonly taken. Acetaminophen Formula Functional Groups.
From www.coursehero.com
[Solved] During the crystallization of acetaminophen, why was the Acetaminophen Formula Functional Groups C 8 h 9 no 2. C 8 h 9 no 2. the functional groups in acetaminophen are hydroxyl, aromatic ring, and amide. A functional group is a specific group of atoms within a. acetaminophen (paracetamol), also commonly known as tylenol, is the most commonly taken analgesic worldwide and is recommended as. C 8 h 9 no 2.. Acetaminophen Formula Functional Groups.