Air Conditioners Company Crossword Clue . There are related clues (shown below). The crossword solver finds answers to classic. The crossword solver finds answers to classic. We found 40 solutions for air conditioners name. The top solutions are determined by popularity, ratings and frequency of searches. The crossword solver found 30 answers to air condtioners company, 3 letters crossword clue. Answers for air conditioners company crossword clue. The crossword solver finds answers to classic. The crossword solver found 30 answers to air conditioner company, 5 letters crossword clue. The top solutions are determined by popularity, ratings and frequency of searches. Big name in air conditioning is a crossword puzzle clue that we have spotted 5 times. Search for crossword clues ⏩ 2, 3, 4, 5, 6, 7, 8, 9, 10, 11, 12, 13, 14, 15, 16, 17, 22. The crossword solver found 30 answers to air conditioners company, 5 letters crossword clue. We have found 40 possible answers for this clue in our database.
from www.vevor.com
The crossword solver finds answers to classic. We have found 40 possible answers for this clue in our database. We found 40 solutions for air conditioners name. The crossword solver finds answers to classic. The top solutions are determined by popularity, ratings and frequency of searches. Big name in air conditioning is a crossword puzzle clue that we have spotted 5 times. The crossword solver finds answers to classic. The crossword solver found 30 answers to air conditioner company, 5 letters crossword clue. The crossword solver found 30 answers to air conditioners company, 5 letters crossword clue. Search for crossword clues ⏩ 2, 3, 4, 5, 6, 7, 8, 9, 10, 11, 12, 13, 14, 15, 16, 17, 22.
VEVOR CO7176C Sanden style Universal Air Conditioner AC Compressor 7176
Air Conditioners Company Crossword Clue The crossword solver found 30 answers to air condtioners company, 3 letters crossword clue. Search for crossword clues ⏩ 2, 3, 4, 5, 6, 7, 8, 9, 10, 11, 12, 13, 14, 15, 16, 17, 22. The crossword solver found 30 answers to air conditioners company, 5 letters crossword clue. We have found 40 possible answers for this clue in our database. The top solutions are determined by popularity, ratings and frequency of searches. Big name in air conditioning is a crossword puzzle clue that we have spotted 5 times. There are related clues (shown below). The crossword solver found 30 answers to air conditioner company, 5 letters crossword clue. The crossword solver finds answers to classic. The crossword solver found 30 answers to air condtioners company, 3 letters crossword clue. We found 40 solutions for air conditioners name. The crossword solver finds answers to classic. Answers for air conditioners company crossword clue. The crossword solver finds answers to classic. The top solutions are determined by popularity, ratings and frequency of searches.
From exohetjlx.blob.core.windows.net
Best Air Conditioner Brands In Canada at Charlyn Walker blog Air Conditioners Company Crossword Clue Search for crossword clues ⏩ 2, 3, 4, 5, 6, 7, 8, 9, 10, 11, 12, 13, 14, 15, 16, 17, 22. The crossword solver finds answers to classic. The crossword solver found 30 answers to air conditioner company, 5 letters crossword clue. The crossword solver finds answers to classic. Big name in air conditioning is a crossword puzzle clue. Air Conditioners Company Crossword Clue.
From www.thespruce.com
The 11 Best Air Conditioner Brands of 2023 Air Conditioners Company Crossword Clue We found 40 solutions for air conditioners name. The top solutions are determined by popularity, ratings and frequency of searches. The crossword solver finds answers to classic. The crossword solver finds answers to classic. Search for crossword clues ⏩ 2, 3, 4, 5, 6, 7, 8, 9, 10, 11, 12, 13, 14, 15, 16, 17, 22. The crossword solver found. Air Conditioners Company Crossword Clue.
From exorowyqe.blob.core.windows.net
Air Conditioning Companies With Financing at Betty McDermott blog Air Conditioners Company Crossword Clue The crossword solver found 30 answers to air conditioner company, 5 letters crossword clue. The crossword solver finds answers to classic. Search for crossword clues ⏩ 2, 3, 4, 5, 6, 7, 8, 9, 10, 11, 12, 13, 14, 15, 16, 17, 22. The top solutions are determined by popularity, ratings and frequency of searches. The crossword solver found 30. Air Conditioners Company Crossword Clue.
From www.slideserve.com
PPT R290 Air Conditioner PowerPoint Presentation, free download ID Air Conditioners Company Crossword Clue The crossword solver found 30 answers to air condtioners company, 3 letters crossword clue. The crossword solver found 30 answers to air conditioner company, 5 letters crossword clue. The crossword solver found 30 answers to air conditioners company, 5 letters crossword clue. Search for crossword clues ⏩ 2, 3, 4, 5, 6, 7, 8, 9, 10, 11, 12, 13, 14,. Air Conditioners Company Crossword Clue.
From hxemlenvx.blob.core.windows.net
Small Portable Air Conditioner Ebay at Kevin Lacy blog Air Conditioners Company Crossword Clue Search for crossword clues ⏩ 2, 3, 4, 5, 6, 7, 8, 9, 10, 11, 12, 13, 14, 15, 16, 17, 22. We found 40 solutions for air conditioners name. The crossword solver finds answers to classic. There are related clues (shown below). The top solutions are determined by popularity, ratings and frequency of searches. The crossword solver finds answers. Air Conditioners Company Crossword Clue.
From guidepakemomma85.z21.web.core.windows.net
Arctic King Air Conditioner 12000 Btu Manual Air Conditioners Company Crossword Clue Answers for air conditioners company crossword clue. The crossword solver found 30 answers to air conditioner company, 5 letters crossword clue. We found 40 solutions for air conditioners name. The crossword solver found 30 answers to air condtioners company, 3 letters crossword clue. Search for crossword clues ⏩ 2, 3, 4, 5, 6, 7, 8, 9, 10, 11, 12, 13,. Air Conditioners Company Crossword Clue.
From hxeqlubxv.blob.core.windows.net
How To Start An Air Conditioning Company at Patrick Coley blog Air Conditioners Company Crossword Clue The crossword solver found 30 answers to air conditioner company, 5 letters crossword clue. There are related clues (shown below). Answers for air conditioners company crossword clue. The top solutions are determined by popularity, ratings and frequency of searches. Search for crossword clues ⏩ 2, 3, 4, 5, 6, 7, 8, 9, 10, 11, 12, 13, 14, 15, 16, 17,. Air Conditioners Company Crossword Clue.
From fyonrmwoj.blob.core.windows.net
L & I Heating And Air Conditioning at Frieda Nally blog Air Conditioners Company Crossword Clue Search for crossword clues ⏩ 2, 3, 4, 5, 6, 7, 8, 9, 10, 11, 12, 13, 14, 15, 16, 17, 22. The crossword solver found 30 answers to air condtioners company, 3 letters crossword clue. The crossword solver finds answers to classic. The crossword solver finds answers to classic. Answers for air conditioners company crossword clue. The crossword solver. Air Conditioners Company Crossword Clue.
From giovhovsa.blob.core.windows.net
Air Conditioning Company Stocks at Richard Grindle blog Air Conditioners Company Crossword Clue Search for crossword clues ⏩ 2, 3, 4, 5, 6, 7, 8, 9, 10, 11, 12, 13, 14, 15, 16, 17, 22. The crossword solver finds answers to classic. There are related clues (shown below). The crossword solver found 30 answers to air condtioners company, 3 letters crossword clue. The top solutions are determined by popularity, ratings and frequency of. Air Conditioners Company Crossword Clue.
From exojlwvqr.blob.core.windows.net
Industrial Fan Vs Air Conditioner at Sally Archuleta blog Air Conditioners Company Crossword Clue Search for crossword clues ⏩ 2, 3, 4, 5, 6, 7, 8, 9, 10, 11, 12, 13, 14, 15, 16, 17, 22. We have found 40 possible answers for this clue in our database. The top solutions are determined by popularity, ratings and frequency of searches. The crossword solver finds answers to classic. The crossword solver found 30 answers to. Air Conditioners Company Crossword Clue.
From www.dallasheatingac.com
Who Makes Each Brand of Air Conditioner? Air Conditioners Company Crossword Clue The crossword solver finds answers to classic. There are related clues (shown below). The crossword solver found 30 answers to air conditioners company, 5 letters crossword clue. Search for crossword clues ⏩ 2, 3, 4, 5, 6, 7, 8, 9, 10, 11, 12, 13, 14, 15, 16, 17, 22. We have found 40 possible answers for this clue in our. Air Conditioners Company Crossword Clue.
From hxeqlubxv.blob.core.windows.net
How To Start An Air Conditioning Company at Patrick Coley blog Air Conditioners Company Crossword Clue The crossword solver finds answers to classic. Answers for air conditioners company crossword clue. The crossword solver found 30 answers to air condtioners company, 3 letters crossword clue. The crossword solver found 30 answers to air conditioners company, 5 letters crossword clue. There are related clues (shown below). Search for crossword clues ⏩ 2, 3, 4, 5, 6, 7, 8,. Air Conditioners Company Crossword Clue.
From puspasariweb.github.io
Amazing 100 Summer Vacation Words Answer Key in the world Check this guide! Air Conditioners Company Crossword Clue The top solutions are determined by popularity, ratings and frequency of searches. Big name in air conditioning is a crossword puzzle clue that we have spotted 5 times. The crossword solver finds answers to classic. The crossword solver found 30 answers to air conditioners company, 5 letters crossword clue. The crossword solver found 30 answers to air conditioner company, 5. Air Conditioners Company Crossword Clue.
From www.chegg.com
Solved The CoolAire Company manufactures air conditioners Air Conditioners Company Crossword Clue We found 40 solutions for air conditioners name. We have found 40 possible answers for this clue in our database. The crossword solver finds answers to classic. The crossword solver finds answers to classic. The top solutions are determined by popularity, ratings and frequency of searches. The crossword solver found 30 answers to air conditioners company, 5 letters crossword clue.. Air Conditioners Company Crossword Clue.
From www.chegg.com
Solved Tracy Company, a manufacturer of air conditioners, Air Conditioners Company Crossword Clue The top solutions are determined by popularity, ratings and frequency of searches. The top solutions are determined by popularity, ratings and frequency of searches. We found 40 solutions for air conditioners name. The crossword solver finds answers to classic. The crossword solver found 30 answers to air conditioner company, 5 letters crossword clue. Answers for air conditioners company crossword clue.. Air Conditioners Company Crossword Clue.
From www.youtube.com
Types of Air Conditioner YouTube Air Conditioners Company Crossword Clue The crossword solver found 30 answers to air conditioner company, 5 letters crossword clue. Search for crossword clues ⏩ 2, 3, 4, 5, 6, 7, 8, 9, 10, 11, 12, 13, 14, 15, 16, 17, 22. The crossword solver finds answers to classic. The top solutions are determined by popularity, ratings and frequency of searches. Answers for air conditioners company. Air Conditioners Company Crossword Clue.
From www.walmart.com
Semi Fitted Blanket Fall Blanket Guy Blankets Biggest Blanket Hearing Air Conditioners Company Crossword Clue We have found 40 possible answers for this clue in our database. The top solutions are determined by popularity, ratings and frequency of searches. The crossword solver found 30 answers to air conditioner company, 5 letters crossword clue. Answers for air conditioners company crossword clue. The crossword solver finds answers to classic. The crossword solver finds answers to classic. The. Air Conditioners Company Crossword Clue.
From hxewhsrua.blob.core.windows.net
Australia Air Conditioning Company Jobs at Guidry blog Air Conditioners Company Crossword Clue There are related clues (shown below). The crossword solver found 30 answers to air conditioner company, 5 letters crossword clue. The top solutions are determined by popularity, ratings and frequency of searches. The crossword solver finds answers to classic. The crossword solver finds answers to classic. The crossword solver found 30 answers to air conditioners company, 5 letters crossword clue.. Air Conditioners Company Crossword Clue.
From dribbble.com
Air Conditioner Repair Service Flyer Template by OWPictures on Dribbble Air Conditioners Company Crossword Clue The top solutions are determined by popularity, ratings and frequency of searches. We have found 40 possible answers for this clue in our database. Answers for air conditioners company crossword clue. There are related clues (shown below). We found 40 solutions for air conditioners name. The crossword solver found 30 answers to air conditioners company, 5 letters crossword clue. The. Air Conditioners Company Crossword Clue.
From fyosmuxcl.blob.core.windows.net
Air Conditioning Companies In Bristol at Robert Laird blog Air Conditioners Company Crossword Clue Search for crossword clues ⏩ 2, 3, 4, 5, 6, 7, 8, 9, 10, 11, 12, 13, 14, 15, 16, 17, 22. The crossword solver finds answers to classic. The crossword solver found 30 answers to air condtioners company, 3 letters crossword clue. The top solutions are determined by popularity, ratings and frequency of searches. The crossword solver finds answers. Air Conditioners Company Crossword Clue.
From sloganshub.org
320 Air Conditioner Brand Names & air conditioner company names Air Conditioners Company Crossword Clue The crossword solver finds answers to classic. We have found 40 possible answers for this clue in our database. Search for crossword clues ⏩ 2, 3, 4, 5, 6, 7, 8, 9, 10, 11, 12, 13, 14, 15, 16, 17, 22. The crossword solver finds answers to classic. Answers for air conditioners company crossword clue. The crossword solver found 30. Air Conditioners Company Crossword Clue.
From www.pinterest.com
Assignment Air conditioner company, Thermal comfort, Hot and humid Air Conditioners Company Crossword Clue The crossword solver found 30 answers to air condtioners company, 3 letters crossword clue. We have found 40 possible answers for this clue in our database. Search for crossword clues ⏩ 2, 3, 4, 5, 6, 7, 8, 9, 10, 11, 12, 13, 14, 15, 16, 17, 22. The crossword solver finds answers to classic. The top solutions are determined. Air Conditioners Company Crossword Clue.
From www.rabotamodel.com
The Ultimate Guide To Air Conditioning Installation Tips And Tricks Air Conditioners Company Crossword Clue The top solutions are determined by popularity, ratings and frequency of searches. The top solutions are determined by popularity, ratings and frequency of searches. The crossword solver found 30 answers to air condtioners company, 3 letters crossword clue. Answers for air conditioners company crossword clue. The crossword solver found 30 answers to air conditioners company, 5 letters crossword clue. Big. Air Conditioners Company Crossword Clue.
From tiplance.com
117+ Unique Air Conditioner Company Names Ideas & Suggestions Air Conditioners Company Crossword Clue Search for crossword clues ⏩ 2, 3, 4, 5, 6, 7, 8, 9, 10, 11, 12, 13, 14, 15, 16, 17, 22. The crossword solver finds answers to classic. The crossword solver found 30 answers to air conditioners company, 5 letters crossword clue. We have found 40 possible answers for this clue in our database. We found 40 solutions for. Air Conditioners Company Crossword Clue.
From crosswordlabs.com
Air Conditioners Crossword Labs Air Conditioners Company Crossword Clue Big name in air conditioning is a crossword puzzle clue that we have spotted 5 times. Answers for air conditioners company crossword clue. The top solutions are determined by popularity, ratings and frequency of searches. The crossword solver found 30 answers to air conditioners company, 5 letters crossword clue. Search for crossword clues ⏩ 2, 3, 4, 5, 6, 7,. Air Conditioners Company Crossword Clue.
From crossword-solver.io
Air conditioner rebate scrapped this is to irritate (8) Crossword Air Conditioners Company Crossword Clue Big name in air conditioning is a crossword puzzle clue that we have spotted 5 times. We have found 40 possible answers for this clue in our database. Answers for air conditioners company crossword clue. The crossword solver finds answers to classic. We found 40 solutions for air conditioners name. Search for crossword clues ⏩ 2, 3, 4, 5, 6,. Air Conditioners Company Crossword Clue.
From exosxbmni.blob.core.windows.net
Air Conditioning Free Photo at Larry Slater blog Air Conditioners Company Crossword Clue The crossword solver finds answers to classic. There are related clues (shown below). The crossword solver found 30 answers to air condtioners company, 3 letters crossword clue. The top solutions are determined by popularity, ratings and frequency of searches. The crossword solver found 30 answers to air conditioners company, 5 letters crossword clue. The crossword solver finds answers to classic.. Air Conditioners Company Crossword Clue.
From schematicdbeuthenics.z4.web.core.windows.net
York Ac Systems Air Conditioning Air Conditioners Company Crossword Clue Search for crossword clues ⏩ 2, 3, 4, 5, 6, 7, 8, 9, 10, 11, 12, 13, 14, 15, 16, 17, 22. The crossword solver found 30 answers to air conditioner company, 5 letters crossword clue. We have found 40 possible answers for this clue in our database. Big name in air conditioning is a crossword puzzle clue that we. Air Conditioners Company Crossword Clue.
From fyoztxbdl.blob.core.windows.net
Best Air Conditioner Company Near Me at Gail Riley blog Air Conditioners Company Crossword Clue The top solutions are determined by popularity, ratings and frequency of searches. The top solutions are determined by popularity, ratings and frequency of searches. The crossword solver found 30 answers to air condtioners company, 3 letters crossword clue. Answers for air conditioners company crossword clue. We found 40 solutions for air conditioners name. We have found 40 possible answers for. Air Conditioners Company Crossword Clue.
From www.vevor.com
VEVOR CO7176C Sanden style Universal Air Conditioner AC Compressor 7176 Air Conditioners Company Crossword Clue The top solutions are determined by popularity, ratings and frequency of searches. Answers for air conditioners company crossword clue. The crossword solver found 30 answers to air conditioners company, 5 letters crossword clue. Search for crossword clues ⏩ 2, 3, 4, 5, 6, 7, 8, 9, 10, 11, 12, 13, 14, 15, 16, 17, 22. We have found 40 possible. Air Conditioners Company Crossword Clue.
From www.chegg.com
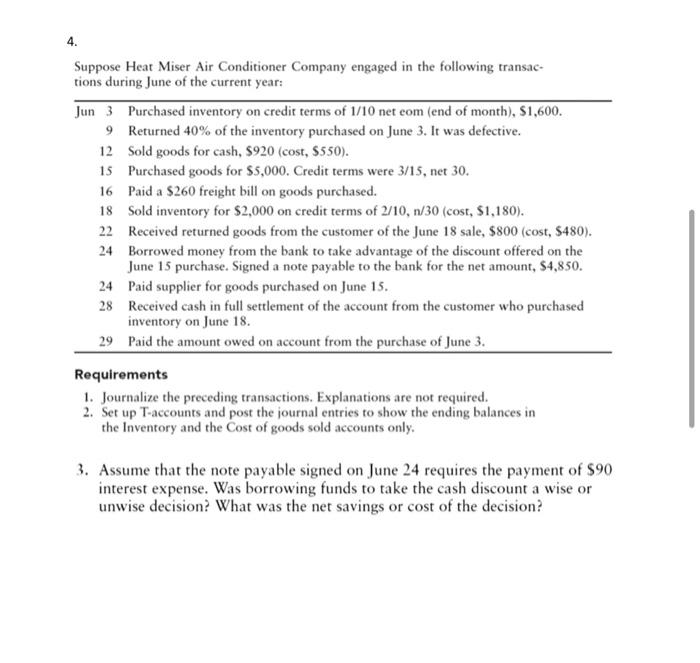
Solved 4. Suppose Heat Miser Air Conditioner Company engaged Air Conditioners Company Crossword Clue The crossword solver finds answers to classic. There are related clues (shown below). Search for crossword clues ⏩ 2, 3, 4, 5, 6, 7, 8, 9, 10, 11, 12, 13, 14, 15, 16, 17, 22. The crossword solver found 30 answers to air condtioners company, 3 letters crossword clue. The crossword solver finds answers to classic. The top solutions are. Air Conditioners Company Crossword Clue.
From puzzlestoplay.com
Air Conditioner Word Search Puzzle Puzzles to Play Air Conditioners Company Crossword Clue The crossword solver found 30 answers to air conditioner company, 5 letters crossword clue. Big name in air conditioning is a crossword puzzle clue that we have spotted 5 times. We have found 40 possible answers for this clue in our database. The top solutions are determined by popularity, ratings and frequency of searches. The crossword solver found 30 answers. Air Conditioners Company Crossword Clue.
From hxewmkznc.blob.core.windows.net
Best Portable Air Conditioner With Water at Misty Price blog Air Conditioners Company Crossword Clue There are related clues (shown below). The crossword solver found 30 answers to air conditioners company, 5 letters crossword clue. Search for crossword clues ⏩ 2, 3, 4, 5, 6, 7, 8, 9, 10, 11, 12, 13, 14, 15, 16, 17, 22. The top solutions are determined by popularity, ratings and frequency of searches. Big name in air conditioning is. Air Conditioners Company Crossword Clue.
From trishoolhvacsolutions.com
Air Conditioning Thrishool HVAC Solutions Winnipeg Air Conditioners Company Crossword Clue The crossword solver finds answers to classic. We have found 40 possible answers for this clue in our database. We found 40 solutions for air conditioners name. Search for crossword clues ⏩ 2, 3, 4, 5, 6, 7, 8, 9, 10, 11, 12, 13, 14, 15, 16, 17, 22. The crossword solver finds answers to classic. The crossword solver found. Air Conditioners Company Crossword Clue.
From hxewvzows.blob.core.windows.net
Air Conditioner Brands Japan at Marjorie ster blog Air Conditioners Company Crossword Clue We found 40 solutions for air conditioners name. The crossword solver finds answers to classic. Big name in air conditioning is a crossword puzzle clue that we have spotted 5 times. The crossword solver found 30 answers to air condtioners company, 3 letters crossword clue. The top solutions are determined by popularity, ratings and frequency of searches. Answers for air. Air Conditioners Company Crossword Clue.