Cca Field Trip Reimbursement . Each student, according to cca emails, receives a up to $250 “community class” reimbursement, as well as a $200 “personal field trip” reimbursement to cover any. Learners at cca benefit from a variety of technological and instructional materials provided for them at no cost. * there is a home education day option for this field trip. Education voters of pa has obtained official emails and blank reimbursement forms along with screen shots from a commonwealth charter academy facebook page that reveal. If you provide a reimbursement to your employee for travel expenses, you must determine if the amount of the reimbursement is reasonable. Our field trips are organized by region and county, but cca families can attend field trip anywhere in the state. Cca takes care of all. If the allowance or reimbursement paid to your employee for the use of their own vehicle is taxable, the value of the benefit is equal to the. * if you are planning to submit for pep reimbursement you may want to pay for each. Families can attend an unlimited.
from www.pdffiller.com
Cca takes care of all. If you provide a reimbursement to your employee for travel expenses, you must determine if the amount of the reimbursement is reasonable. Learners at cca benefit from a variety of technological and instructional materials provided for them at no cost. Our field trips are organized by region and county, but cca families can attend field trip anywhere in the state. Each student, according to cca emails, receives a up to $250 “community class” reimbursement, as well as a $200 “personal field trip” reimbursement to cover any. Families can attend an unlimited. * if you are planning to submit for pep reimbursement you may want to pay for each. Education voters of pa has obtained official emails and blank reimbursement forms along with screen shots from a commonwealth charter academy facebook page that reveal. * there is a home education day option for this field trip. If the allowance or reimbursement paid to your employee for the use of their own vehicle is taxable, the value of the benefit is equal to the.
Fillable Online 20. II Procedure Sheets Process Field Trip
Cca Field Trip Reimbursement Cca takes care of all. Our field trips are organized by region and county, but cca families can attend field trip anywhere in the state. Families can attend an unlimited. * there is a home education day option for this field trip. * if you are planning to submit for pep reimbursement you may want to pay for each. Education voters of pa has obtained official emails and blank reimbursement forms along with screen shots from a commonwealth charter academy facebook page that reveal. Cca takes care of all. Each student, according to cca emails, receives a up to $250 “community class” reimbursement, as well as a $200 “personal field trip” reimbursement to cover any. Learners at cca benefit from a variety of technological and instructional materials provided for them at no cost. If the allowance or reimbursement paid to your employee for the use of their own vehicle is taxable, the value of the benefit is equal to the. If you provide a reimbursement to your employee for travel expenses, you must determine if the amount of the reimbursement is reasonable.
From www.dexform.com
TRIP EXPENSE REIMBURSEMENT FORM in Word and Pdf formats Cca Field Trip Reimbursement Our field trips are organized by region and county, but cca families can attend field trip anywhere in the state. Each student, according to cca emails, receives a up to $250 “community class” reimbursement, as well as a $200 “personal field trip” reimbursement to cover any. * there is a home education day option for this field trip. Education voters. Cca Field Trip Reimbursement.
From slidesdocs.com
Travel Expense Reimbursement Form Company Travel Reimbursement Cca Field Trip Reimbursement Learners at cca benefit from a variety of technological and instructional materials provided for them at no cost. Each student, according to cca emails, receives a up to $250 “community class” reimbursement, as well as a $200 “personal field trip” reimbursement to cover any. * there is a home education day option for this field trip. Cca takes care of. Cca Field Trip Reimbursement.
From camas.wednet.edu
CCA Events Camas Connect AcademyCamas Connect Academy Cca Field Trip Reimbursement * if you are planning to submit for pep reimbursement you may want to pay for each. Each student, according to cca emails, receives a up to $250 “community class” reimbursement, as well as a $200 “personal field trip” reimbursement to cover any. Learners at cca benefit from a variety of technological and instructional materials provided for them at no. Cca Field Trip Reimbursement.
From www.pdffiller.com
Fillable Online coffee county school system field trip reimbursement Cca Field Trip Reimbursement Learners at cca benefit from a variety of technological and instructional materials provided for them at no cost. Education voters of pa has obtained official emails and blank reimbursement forms along with screen shots from a commonwealth charter academy facebook page that reveal. If the allowance or reimbursement paid to your employee for the use of their own vehicle is. Cca Field Trip Reimbursement.
From myemail.constantcontact.com
1/5/2024 CCA The Lion's Update Volume Five Cca Field Trip Reimbursement Families can attend an unlimited. Our field trips are organized by region and county, but cca families can attend field trip anywhere in the state. If the allowance or reimbursement paid to your employee for the use of their own vehicle is taxable, the value of the benefit is equal to the. Cca takes care of all. Learners at cca. Cca Field Trip Reimbursement.
From slidesdocs.com
Field Reimbursement Form Cashier Excel Template And Google Sheets File Cca Field Trip Reimbursement Families can attend an unlimited. Learners at cca benefit from a variety of technological and instructional materials provided for them at no cost. If the allowance or reimbursement paid to your employee for the use of their own vehicle is taxable, the value of the benefit is equal to the. Cca takes care of all. Education voters of pa has. Cca Field Trip Reimbursement.
From myemail.constantcontact.com
1/5/2024 CCA The Lion's Update Volume Five Cca Field Trip Reimbursement Families can attend an unlimited. Learners at cca benefit from a variety of technological and instructional materials provided for them at no cost. Each student, according to cca emails, receives a up to $250 “community class” reimbursement, as well as a $200 “personal field trip” reimbursement to cover any. If the allowance or reimbursement paid to your employee for the. Cca Field Trip Reimbursement.
From commonwealth539.corecommerce.com
51724 Spring Formal (Dickson City) Cca Field Trip Reimbursement * if you are planning to submit for pep reimbursement you may want to pay for each. If you provide a reimbursement to your employee for travel expenses, you must determine if the amount of the reimbursement is reasonable. Each student, according to cca emails, receives a up to $250 “community class” reimbursement, as well as a $200 “personal field. Cca Field Trip Reimbursement.
From ccaeducate.me
202324 School Year Enrollment CCA Cca Field Trip Reimbursement Education voters of pa has obtained official emails and blank reimbursement forms along with screen shots from a commonwealth charter academy facebook page that reveal. If the allowance or reimbursement paid to your employee for the use of their own vehicle is taxable, the value of the benefit is equal to the. Learners at cca benefit from a variety of. Cca Field Trip Reimbursement.
From networkforpubliceducation.org
Susan Spicka Are cyber charters playing games with Pennsylvania tax Cca Field Trip Reimbursement If you provide a reimbursement to your employee for travel expenses, you must determine if the amount of the reimbursement is reasonable. Our field trips are organized by region and county, but cca families can attend field trip anywhere in the state. Families can attend an unlimited. If the allowance or reimbursement paid to your employee for the use of. Cca Field Trip Reimbursement.
From www.pdffiller.com
Field Trip Reimbursement Letter.docx Doc Template pdfFiller Cca Field Trip Reimbursement Cca takes care of all. If you provide a reimbursement to your employee for travel expenses, you must determine if the amount of the reimbursement is reasonable. Our field trips are organized by region and county, but cca families can attend field trip anywhere in the state. Learners at cca benefit from a variety of technological and instructional materials provided. Cca Field Trip Reimbursement.
From printableformsfree.com
2023 Mileage Reimbursement Form Printable Forms Free Online Cca Field Trip Reimbursement Learners at cca benefit from a variety of technological and instructional materials provided for them at no cost. If you provide a reimbursement to your employee for travel expenses, you must determine if the amount of the reimbursement is reasonable. Our field trips are organized by region and county, but cca families can attend field trip anywhere in the state.. Cca Field Trip Reimbursement.
From www.pdffiller.com
Fillable Online 20. II Procedure Sheets Process Field Trip Cca Field Trip Reimbursement Families can attend an unlimited. Cca takes care of all. If you provide a reimbursement to your employee for travel expenses, you must determine if the amount of the reimbursement is reasonable. * if you are planning to submit for pep reimbursement you may want to pay for each. Each student, according to cca emails, receives a up to $250. Cca Field Trip Reimbursement.
From www.reddit.com
CCA Exam Reimbursement Methodologies 109 Exam Study Questions with Cca Field Trip Reimbursement Our field trips are organized by region and county, but cca families can attend field trip anywhere in the state. Each student, according to cca emails, receives a up to $250 “community class” reimbursement, as well as a $200 “personal field trip” reimbursement to cover any. If the allowance or reimbursement paid to your employee for the use of their. Cca Field Trip Reimbursement.
From lrroomparent.weebly.com
Reimbursement Form LITTLE RIVER ROOM PARENTS Cca Field Trip Reimbursement Families can attend an unlimited. * if you are planning to submit for pep reimbursement you may want to pay for each. Our field trips are organized by region and county, but cca families can attend field trip anywhere in the state. If the allowance or reimbursement paid to your employee for the use of their own vehicle is taxable,. Cca Field Trip Reimbursement.
From www.pinterest.com
Free travel reimbursement form in PDF format. This template tracks all Cca Field Trip Reimbursement * there is a home education day option for this field trip. Families can attend an unlimited. Learners at cca benefit from a variety of technological and instructional materials provided for them at no cost. Each student, according to cca emails, receives a up to $250 “community class” reimbursement, as well as a $200 “personal field trip” reimbursement to cover. Cca Field Trip Reimbursement.
From slidesdocs.com
Travel Expense Reimbursement Form Financial Excel Template And Google Cca Field Trip Reimbursement If you provide a reimbursement to your employee for travel expenses, you must determine if the amount of the reimbursement is reasonable. If the allowance or reimbursement paid to your employee for the use of their own vehicle is taxable, the value of the benefit is equal to the. * there is a home education day option for this field. Cca Field Trip Reimbursement.
From www.pdffiller.com
Fillable Online 10 Trip Reimbursement Form Fax Email Print pdfFiller Cca Field Trip Reimbursement Our field trips are organized by region and county, but cca families can attend field trip anywhere in the state. * there is a home education day option for this field trip. Cca takes care of all. * if you are planning to submit for pep reimbursement you may want to pay for each. If the allowance or reimbursement paid. Cca Field Trip Reimbursement.
From template.wps.com
EXCEL of Business Trip Reimbursement Form.xlsx WPS Free Templates Cca Field Trip Reimbursement If you provide a reimbursement to your employee for travel expenses, you must determine if the amount of the reimbursement is reasonable. Families can attend an unlimited. If the allowance or reimbursement paid to your employee for the use of their own vehicle is taxable, the value of the benefit is equal to the. Learners at cca benefit from a. Cca Field Trip Reimbursement.
From www.taxcycle.com
CCA Worksheet TaxCycle Cca Field Trip Reimbursement If the allowance or reimbursement paid to your employee for the use of their own vehicle is taxable, the value of the benefit is equal to the. Our field trips are organized by region and county, but cca families can attend field trip anywhere in the state. Education voters of pa has obtained official emails and blank reimbursement forms along. Cca Field Trip Reimbursement.
From www.pdffiller.com
Fillable Online Request for Trip Expenses Fax Email Print pdfFiller Cca Field Trip Reimbursement * if you are planning to submit for pep reimbursement you may want to pay for each. * there is a home education day option for this field trip. Families can attend an unlimited. Our field trips are organized by region and county, but cca families can attend field trip anywhere in the state. Cca takes care of all. If. Cca Field Trip Reimbursement.
From myemail.constantcontact.com
2/2/2024 CCA "The Lion's Update" Volume Six Cca Field Trip Reimbursement Families can attend an unlimited. Learners at cca benefit from a variety of technological and instructional materials provided for them at no cost. Education voters of pa has obtained official emails and blank reimbursement forms along with screen shots from a commonwealth charter academy facebook page that reveal. * if you are planning to submit for pep reimbursement you may. Cca Field Trip Reimbursement.
From www.pdffiller.com
Fillable Online sites defaultField Trip Cca Field Trip Reimbursement Cca takes care of all. * there is a home education day option for this field trip. * if you are planning to submit for pep reimbursement you may want to pay for each. If you provide a reimbursement to your employee for travel expenses, you must determine if the amount of the reimbursement is reasonable. Families can attend an. Cca Field Trip Reimbursement.
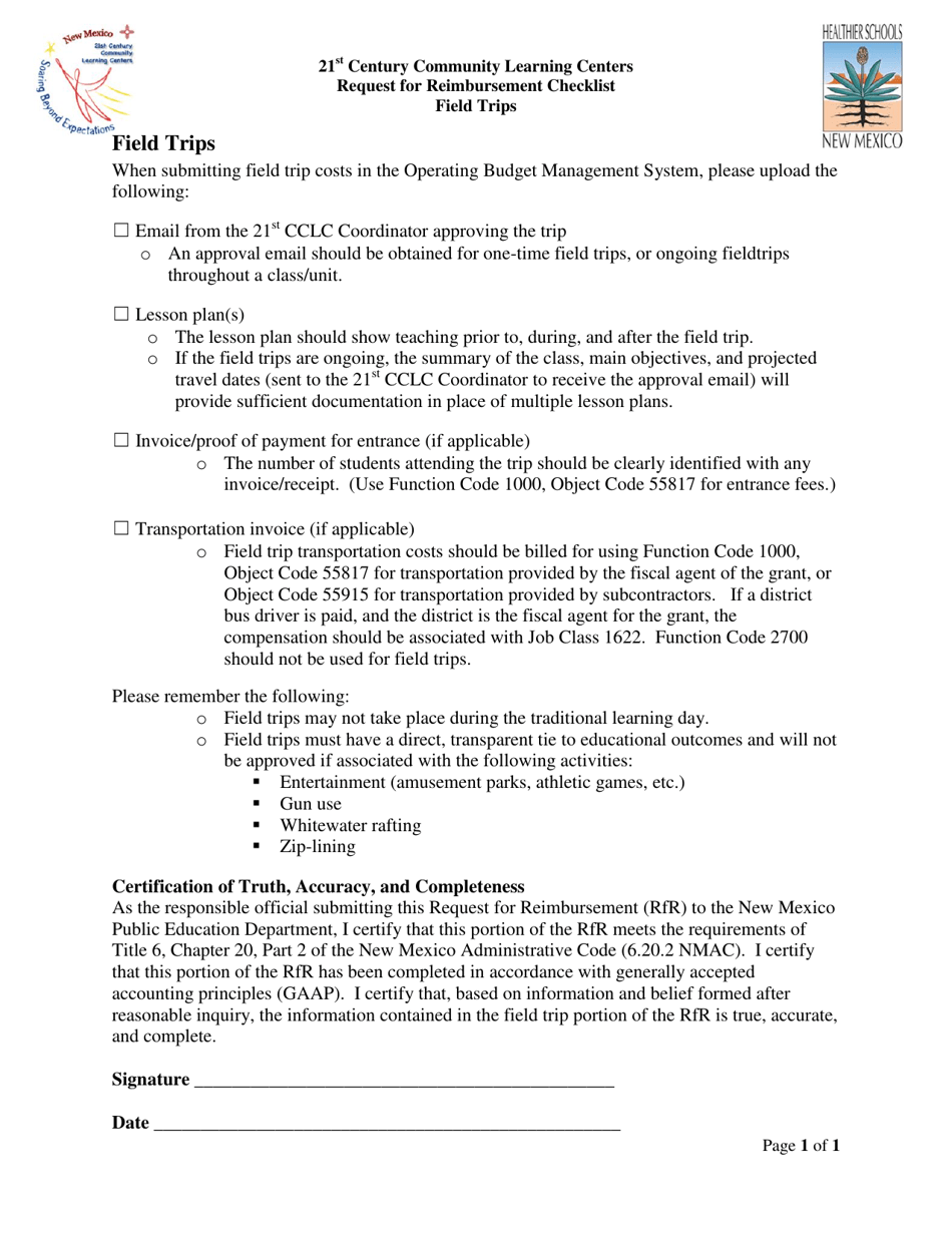
From www.templateroller.com
New Mexico 21st Century Community Learning Centers Request for Cca Field Trip Reimbursement Education voters of pa has obtained official emails and blank reimbursement forms along with screen shots from a commonwealth charter academy facebook page that reveal. Our field trips are organized by region and county, but cca families can attend field trip anywhere in the state. * there is a home education day option for this field trip. Each student, according. Cca Field Trip Reimbursement.
From www.commonwealthcarealliance.org
CCA One Care Prescription Reimbursement Form (2025) Commonwealth Cca Field Trip Reimbursement Families can attend an unlimited. Our field trips are organized by region and county, but cca families can attend field trip anywhere in the state. * if you are planning to submit for pep reimbursement you may want to pay for each. Cca takes care of all. If you provide a reimbursement to your employee for travel expenses, you must. Cca Field Trip Reimbursement.
From trinavjillian.pages.dev
Cca Reimbursement 2025 Schedule Pdf Free Ashely Jordana Cca Field Trip Reimbursement If you provide a reimbursement to your employee for travel expenses, you must determine if the amount of the reimbursement is reasonable. Each student, according to cca emails, receives a up to $250 “community class” reimbursement, as well as a $200 “personal field trip” reimbursement to cover any. Families can attend an unlimited. Learners at cca benefit from a variety. Cca Field Trip Reimbursement.
From ar.inspiredpencil.com
Travel Spreadsheet Excel Templates Cca Field Trip Reimbursement Each student, according to cca emails, receives a up to $250 “community class” reimbursement, as well as a $200 “personal field trip” reimbursement to cover any. Families can attend an unlimited. If the allowance or reimbursement paid to your employee for the use of their own vehicle is taxable, the value of the benefit is equal to the. If you. Cca Field Trip Reimbursement.
From www.pdffiller.com
Field Trip Reimbursement Request Doc Template pdfFiller Cca Field Trip Reimbursement Families can attend an unlimited. Education voters of pa has obtained official emails and blank reimbursement forms along with screen shots from a commonwealth charter academy facebook page that reveal. If the allowance or reimbursement paid to your employee for the use of their own vehicle is taxable, the value of the benefit is equal to the. * if you. Cca Field Trip Reimbursement.
From www.pdffiller.com
Fillable Online Field Trip Reimbursement Form TemplateJotForm Fax Email Cca Field Trip Reimbursement Cca takes care of all. If you provide a reimbursement to your employee for travel expenses, you must determine if the amount of the reimbursement is reasonable. If the allowance or reimbursement paid to your employee for the use of their own vehicle is taxable, the value of the benefit is equal to the. Learners at cca benefit from a. Cca Field Trip Reimbursement.
From ccaofcolumbus.com
Home Community Christian Academy Cca Field Trip Reimbursement If the allowance or reimbursement paid to your employee for the use of their own vehicle is taxable, the value of the benefit is equal to the. Families can attend an unlimited. If you provide a reimbursement to your employee for travel expenses, you must determine if the amount of the reimbursement is reasonable. Learners at cca benefit from a. Cca Field Trip Reimbursement.
From www.pdffiller.com
Fillable Online CONFERENCE AND FIELD TRIP REIMBURSEMENT GUIDELINES Fax Cca Field Trip Reimbursement * there is a home education day option for this field trip. Families can attend an unlimited. Each student, according to cca emails, receives a up to $250 “community class” reimbursement, as well as a $200 “personal field trip” reimbursement to cover any. * if you are planning to submit for pep reimbursement you may want to pay for each.. Cca Field Trip Reimbursement.
From www.amerisourcebergen.com
When supplementing your field reimbursement and access team benefits Cca Field Trip Reimbursement Each student, according to cca emails, receives a up to $250 “community class” reimbursement, as well as a $200 “personal field trip” reimbursement to cover any. Learners at cca benefit from a variety of technological and instructional materials provided for them at no cost. If the allowance or reimbursement paid to your employee for the use of their own vehicle. Cca Field Trip Reimbursement.
From www.pdffiller.com
Fillable Online cca complete a reimbursement request, you should Fax Cca Field Trip Reimbursement Families can attend an unlimited. * there is a home education day option for this field trip. * if you are planning to submit for pep reimbursement you may want to pay for each. If the allowance or reimbursement paid to your employee for the use of their own vehicle is taxable, the value of the benefit is equal to. Cca Field Trip Reimbursement.
From dunkirkcca.org
CCA Field Trip at Bethany Camp Central Christian Academy Cca Field Trip Reimbursement If the allowance or reimbursement paid to your employee for the use of their own vehicle is taxable, the value of the benefit is equal to the. Each student, according to cca emails, receives a up to $250 “community class” reimbursement, as well as a $200 “personal field trip” reimbursement to cover any. Learners at cca benefit from a variety. Cca Field Trip Reimbursement.
From www.pdffiller.com
Fillable Online ISHAM PTO REQUEST FOR SCHOOL FIELD TRIP REIMBURSEMENT Cca Field Trip Reimbursement Education voters of pa has obtained official emails and blank reimbursement forms along with screen shots from a commonwealth charter academy facebook page that reveal. If the allowance or reimbursement paid to your employee for the use of their own vehicle is taxable, the value of the benefit is equal to the. Families can attend an unlimited. Learners at cca. Cca Field Trip Reimbursement.