Do Roommates Have To Be On Lease . Minors are listed as occupants and do not sign. All roommates should sign the rental agreement or lease. While the exact requirements vary based on your location, roommate laws generally ensure that roommates have basic tenancy rights. If you get a roommate without. If you are going to move into a new apartment with a roommate, you need to ensure that they also sign the lease. When one roommate violates the lease or rental agreement. Everyone who signs will be a cotenant—meaning that legally speaking each. Does your roommate need to be on the lease? Do all roommates have to sign a lease? When signing a lease, the landlord will present a document to all of the tenants, and. A landlord can legally hold all cotenants responsible for the negative. These rights are available to roommates if they are named on a signed lease agreement or if they’ve been living in the unit for more than 30 days. Legal tenants, typically those over 18, must sign.
from unsubscribe.roomsurf.com
Minors are listed as occupants and do not sign. If you get a roommate without. A landlord can legally hold all cotenants responsible for the negative. When one roommate violates the lease or rental agreement. If you are going to move into a new apartment with a roommate, you need to ensure that they also sign the lease. Everyone who signs will be a cotenant—meaning that legally speaking each. When signing a lease, the landlord will present a document to all of the tenants, and. Does your roommate need to be on the lease? All roommates should sign the rental agreement or lease. Do all roommates have to sign a lease?
What to Know if You Need to Break Your Lease and How to Talk to Your Roommates About It Roomsurf
Do Roommates Have To Be On Lease Minors are listed as occupants and do not sign. Legal tenants, typically those over 18, must sign. Everyone who signs will be a cotenant—meaning that legally speaking each. When signing a lease, the landlord will present a document to all of the tenants, and. When one roommate violates the lease or rental agreement. Does your roommate need to be on the lease? A landlord can legally hold all cotenants responsible for the negative. All roommates should sign the rental agreement or lease. Minors are listed as occupants and do not sign. These rights are available to roommates if they are named on a signed lease agreement or if they’ve been living in the unit for more than 30 days. Do all roommates have to sign a lease? While the exact requirements vary based on your location, roommate laws generally ensure that roommates have basic tenancy rights. If you get a roommate without. If you are going to move into a new apartment with a roommate, you need to ensure that they also sign the lease.
From roomiapp.com
Rules To Set In Apartments For Rent With Roommates Roomi Do Roommates Have To Be On Lease All roommates should sign the rental agreement or lease. When signing a lease, the landlord will present a document to all of the tenants, and. When one roommate violates the lease or rental agreement. A landlord can legally hold all cotenants responsible for the negative. These rights are available to roommates if they are named on a signed lease agreement. Do Roommates Have To Be On Lease.
From unsubscribe.roomsurf.com
What to Know if You Need to Break Your Lease and How to Talk to Your Roommates About It Roomsurf Do Roommates Have To Be On Lease A landlord can legally hold all cotenants responsible for the negative. Does your roommate need to be on the lease? If you are going to move into a new apartment with a roommate, you need to ensure that they also sign the lease. Legal tenants, typically those over 18, must sign. If you get a roommate without. When signing a. Do Roommates Have To Be On Lease.
From www.dexform.com
Roommate agreement in Word and Pdf formats Do Roommates Have To Be On Lease All roommates should sign the rental agreement or lease. Everyone who signs will be a cotenant—meaning that legally speaking each. When signing a lease, the landlord will present a document to all of the tenants, and. Do all roommates have to sign a lease? When one roommate violates the lease or rental agreement. If you are going to move into. Do Roommates Have To Be On Lease.
From www.rent.com
3 Things to Know About Roommates Rent. Blog Do Roommates Have To Be On Lease When signing a lease, the landlord will present a document to all of the tenants, and. Does your roommate need to be on the lease? These rights are available to roommates if they are named on a signed lease agreement or if they’ve been living in the unit for more than 30 days. When one roommate violates the lease or. Do Roommates Have To Be On Lease.
From templatelab.com
40+ Free Roommate Agreement Templates & Forms (Word, PDF) Do Roommates Have To Be On Lease If you are going to move into a new apartment with a roommate, you need to ensure that they also sign the lease. While the exact requirements vary based on your location, roommate laws generally ensure that roommates have basic tenancy rights. Legal tenants, typically those over 18, must sign. Everyone who signs will be a cotenant—meaning that legally speaking. Do Roommates Have To Be On Lease.
From www.sampletemplates.com
FREE 5+ Roommate Lease Agreement Samples in MS Word PDF Do Roommates Have To Be On Lease When signing a lease, the landlord will present a document to all of the tenants, and. When one roommate violates the lease or rental agreement. A landlord can legally hold all cotenants responsible for the negative. All roommates should sign the rental agreement or lease. Minors are listed as occupants and do not sign. Everyone who signs will be a. Do Roommates Have To Be On Lease.
From www.rent.com
10 Great Apps and sites for Finding a Roommate The Rent. Blog A Renter’s Guide for Tips Do Roommates Have To Be On Lease These rights are available to roommates if they are named on a signed lease agreement or if they’ve been living in the unit for more than 30 days. Minors are listed as occupants and do not sign. Do all roommates have to sign a lease? All roommates should sign the rental agreement or lease. A landlord can legally hold all. Do Roommates Have To Be On Lease.
From creativedesignlayouttemplates.blogspot.com
Free Roommate Lease Agreement Template Do Roommates Have To Be On Lease A landlord can legally hold all cotenants responsible for the negative. Does your roommate need to be on the lease? Everyone who signs will be a cotenant—meaning that legally speaking each. All roommates should sign the rental agreement or lease. If you are going to move into a new apartment with a roommate, you need to ensure that they also. Do Roommates Have To Be On Lease.
From poe.com
What rights does a roommate have if they have paid rent but are not on the lease? Poe Do Roommates Have To Be On Lease When one roommate violates the lease or rental agreement. All roommates should sign the rental agreement or lease. A landlord can legally hold all cotenants responsible for the negative. If you get a roommate without. If you are going to move into a new apartment with a roommate, you need to ensure that they also sign the lease. Do all. Do Roommates Have To Be On Lease.
From inemyiqe.blogspot.com
20 Elegant Printable Residential Lease Agreement Do Roommates Have To Be On Lease While the exact requirements vary based on your location, roommate laws generally ensure that roommates have basic tenancy rights. Legal tenants, typically those over 18, must sign. Does your roommate need to be on the lease? These rights are available to roommates if they are named on a signed lease agreement or if they’ve been living in the unit for. Do Roommates Have To Be On Lease.
From www.doctemplates.net
52 Roommate Lease Agreement Templates Do Roommates Have To Be On Lease These rights are available to roommates if they are named on a signed lease agreement or if they’ve been living in the unit for more than 30 days. If you are going to move into a new apartment with a roommate, you need to ensure that they also sign the lease. All roommates should sign the rental agreement or lease.. Do Roommates Have To Be On Lease.
From www.zumper.com
How to Get Out of a Lease With a Roommate Do Roommates Have To Be On Lease Do all roommates have to sign a lease? While the exact requirements vary based on your location, roommate laws generally ensure that roommates have basic tenancy rights. If you are going to move into a new apartment with a roommate, you need to ensure that they also sign the lease. All roommates should sign the rental agreement or lease. When. Do Roommates Have To Be On Lease.
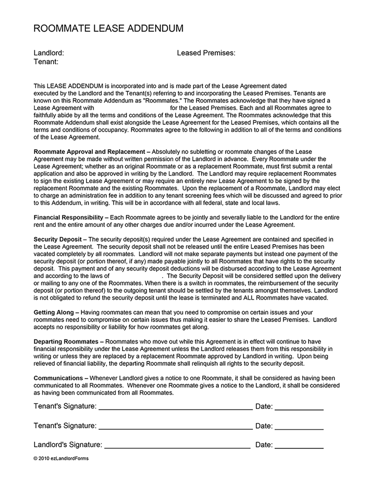
From www.ezlandlordforms.com
Roommate Lease Addendum EZ Landlord Forms Do Roommates Have To Be On Lease Does your roommate need to be on the lease? A landlord can legally hold all cotenants responsible for the negative. Everyone who signs will be a cotenant—meaning that legally speaking each. Do all roommates have to sign a lease? When signing a lease, the landlord will present a document to all of the tenants, and. All roommates should sign the. Do Roommates Have To Be On Lease.
From 4freeprintable.com
Free Printable Roommate Rental Agreement Free Printable Do Roommates Have To Be On Lease Do all roommates have to sign a lease? While the exact requirements vary based on your location, roommate laws generally ensure that roommates have basic tenancy rights. Does your roommate need to be on the lease? When signing a lease, the landlord will present a document to all of the tenants, and. Legal tenants, typically those over 18, must sign.. Do Roommates Have To Be On Lease.
From www.usesignhouse.com
THE Working Roommate Rental Agreement Template (Free) Do Roommates Have To Be On Lease Everyone who signs will be a cotenant—meaning that legally speaking each. All roommates should sign the rental agreement or lease. Do all roommates have to sign a lease? Legal tenants, typically those over 18, must sign. When signing a lease, the landlord will present a document to all of the tenants, and. Does your roommate need to be on the. Do Roommates Have To Be On Lease.
From opendocs.com
Free Roommate Agreement Template PDF WORD RTF Do Roommates Have To Be On Lease If you are going to move into a new apartment with a roommate, you need to ensure that they also sign the lease. A landlord can legally hold all cotenants responsible for the negative. Legal tenants, typically those over 18, must sign. These rights are available to roommates if they are named on a signed lease agreement or if they’ve. Do Roommates Have To Be On Lease.
From www.pinterest.com
Pin on Find your roommate, room, apartment, sublet, rental today Do Roommates Have To Be On Lease Legal tenants, typically those over 18, must sign. Does your roommate need to be on the lease? When one roommate violates the lease or rental agreement. When signing a lease, the landlord will present a document to all of the tenants, and. These rights are available to roommates if they are named on a signed lease agreement or if they’ve. Do Roommates Have To Be On Lease.
From www.calmingwaterscounselingservices.com
From Marriage to Roommates 7 Ways You've Signed Your Love Lease and 3 Ways to Break It Do Roommates Have To Be On Lease Minors are listed as occupants and do not sign. Everyone who signs will be a cotenant—meaning that legally speaking each. If you get a roommate without. Do all roommates have to sign a lease? These rights are available to roommates if they are named on a signed lease agreement or if they’ve been living in the unit for more than. Do Roommates Have To Be On Lease.
From www.sampleforms.com
FREE 9+ Sample Roommate Agreements in PDF MS Word Do Roommates Have To Be On Lease All roommates should sign the rental agreement or lease. These rights are available to roommates if they are named on a signed lease agreement or if they’ve been living in the unit for more than 30 days. Minors are listed as occupants and do not sign. Does your roommate need to be on the lease? If you are going to. Do Roommates Have To Be On Lease.
From www.sfiveband.com
Free Roommate Lease Agreement Template Do Roommates Have To Be On Lease While the exact requirements vary based on your location, roommate laws generally ensure that roommates have basic tenancy rights. If you get a roommate without. Minors are listed as occupants and do not sign. When one roommate violates the lease or rental agreement. These rights are available to roommates if they are named on a signed lease agreement or if. Do Roommates Have To Be On Lease.
From rentprep.com
5 Steps To Add A Roommate To Your Lease RentPrep Do Roommates Have To Be On Lease Do all roommates have to sign a lease? If you are going to move into a new apartment with a roommate, you need to ensure that they also sign the lease. Does your roommate need to be on the lease? Everyone who signs will be a cotenant—meaning that legally speaking each. Legal tenants, typically those over 18, must sign. These. Do Roommates Have To Be On Lease.
From letterify.info
Lease Roommate Agreement Top Five Roommate Contract Examples Fullservicecircus letterify.info Do Roommates Have To Be On Lease If you get a roommate without. When one roommate violates the lease or rental agreement. Everyone who signs will be a cotenant—meaning that legally speaking each. Does your roommate need to be on the lease? Do all roommates have to sign a lease? While the exact requirements vary based on your location, roommate laws generally ensure that roommates have basic. Do Roommates Have To Be On Lease.
From cocosign.com
Roommate Rental Agreement 1 Do Roommates Have To Be On Lease These rights are available to roommates if they are named on a signed lease agreement or if they’ve been living in the unit for more than 30 days. If you get a roommate without. All roommates should sign the rental agreement or lease. Everyone who signs will be a cotenant—meaning that legally speaking each. Do all roommates have to sign. Do Roommates Have To Be On Lease.
From www.beaumontoaksatportersneck.com
What to Do if Your Roommate Won’t Pay Rent Do Roommates Have To Be On Lease Do all roommates have to sign a lease? Legal tenants, typically those over 18, must sign. All roommates should sign the rental agreement or lease. When one roommate violates the lease or rental agreement. These rights are available to roommates if they are named on a signed lease agreement or if they’ve been living in the unit for more than. Do Roommates Have To Be On Lease.
From sims.fandom.com
Roommates Wanna Be household The Sims Wiki Fandom Do Roommates Have To Be On Lease While the exact requirements vary based on your location, roommate laws generally ensure that roommates have basic tenancy rights. When signing a lease, the landlord will present a document to all of the tenants, and. Minors are listed as occupants and do not sign. Legal tenants, typically those over 18, must sign. If you get a roommate without. Do all. Do Roommates Have To Be On Lease.
From rentalleaseagreements.com
Free New York Roommate Agreement PDF MS Word Do Roommates Have To Be On Lease Everyone who signs will be a cotenant—meaning that legally speaking each. Legal tenants, typically those over 18, must sign. These rights are available to roommates if they are named on a signed lease agreement or if they’ve been living in the unit for more than 30 days. Minors are listed as occupants and do not sign. If you are going. Do Roommates Have To Be On Lease.
From freedownloads.net
Download Roommate Rental Lease Agreement Form PDF RTF Word Do Roommates Have To Be On Lease A landlord can legally hold all cotenants responsible for the negative. These rights are available to roommates if they are named on a signed lease agreement or if they’ve been living in the unit for more than 30 days. Minors are listed as occupants and do not sign. If you are going to move into a new apartment with a. Do Roommates Have To Be On Lease.
From rentalawareness.com
How Do I Evict a Roommate Not on the Lease in Ct? Do Roommates Have To Be On Lease Do all roommates have to sign a lease? While the exact requirements vary based on your location, roommate laws generally ensure that roommates have basic tenancy rights. Everyone who signs will be a cotenant—meaning that legally speaking each. If you are going to move into a new apartment with a roommate, you need to ensure that they also sign the. Do Roommates Have To Be On Lease.
From legaltemplates.net
Free Roommate Agreement Legal Templates Do Roommates Have To Be On Lease These rights are available to roommates if they are named on a signed lease agreement or if they’ve been living in the unit for more than 30 days. A landlord can legally hold all cotenants responsible for the negative. All roommates should sign the rental agreement or lease. Minors are listed as occupants and do not sign. If you get. Do Roommates Have To Be On Lease.
From legaltemplates.net
Free Roommate Agreement Template PDF & Word Do Roommates Have To Be On Lease Minors are listed as occupants and do not sign. When one roommate violates the lease or rental agreement. Legal tenants, typically those over 18, must sign. If you get a roommate without. While the exact requirements vary based on your location, roommate laws generally ensure that roommates have basic tenancy rights. These rights are available to roommates if they are. Do Roommates Have To Be On Lease.
From www.baymgmtgroup.com
Do You Have to Accept Roommates? A Guide to Best Practices Do Roommates Have To Be On Lease Does your roommate need to be on the lease? These rights are available to roommates if they are named on a signed lease agreement or if they’ve been living in the unit for more than 30 days. Minors are listed as occupants and do not sign. When signing a lease, the landlord will present a document to all of the. Do Roommates Have To Be On Lease.
From freeforms.com
Free College Roommate Agreement Template PDF WORD Do Roommates Have To Be On Lease When signing a lease, the landlord will present a document to all of the tenants, and. If you get a roommate without. Does your roommate need to be on the lease? All roommates should sign the rental agreement or lease. While the exact requirements vary based on your location, roommate laws generally ensure that roommates have basic tenancy rights. Legal. Do Roommates Have To Be On Lease.
From usefulpdf.com
Free Roommate Lease (Room Rent) Agreement Template Do Roommates Have To Be On Lease If you are going to move into a new apartment with a roommate, you need to ensure that they also sign the lease. Everyone who signs will be a cotenant—meaning that legally speaking each. When one roommate violates the lease or rental agreement. Minors are listed as occupants and do not sign. A landlord can legally hold all cotenants responsible. Do Roommates Have To Be On Lease.
From legaltemplates.net
Free Roommate Agreement Template PDF & Word Do Roommates Have To Be On Lease These rights are available to roommates if they are named on a signed lease agreement or if they’ve been living in the unit for more than 30 days. When one roommate violates the lease or rental agreement. Legal tenants, typically those over 18, must sign. All roommates should sign the rental agreement or lease. When signing a lease, the landlord. Do Roommates Have To Be On Lease.
From www.sampleforms.com
FREE 12+ Sample Roommate Agreement Forms in PDF MS Word Do Roommates Have To Be On Lease Does your roommate need to be on the lease? Do all roommates have to sign a lease? When signing a lease, the landlord will present a document to all of the tenants, and. While the exact requirements vary based on your location, roommate laws generally ensure that roommates have basic tenancy rights. Legal tenants, typically those over 18, must sign.. Do Roommates Have To Be On Lease.