Guardianship Hearing Questions . In this article, we have compiled a comprehensive list of sample questions for a guardianship hearing to help you prepare. It is aimed at people who have lost. Remember that the specific questions asked during a guardianship hearing can vary depending on the circumstances and the court. After filing and serving the guardianship papers, the proposed guardians and the adult over whom the. Here are answers to common questions about guardianships and conservatorships, such as how long it takes to. Be prepared to answer questions during the hearing. The court may examine the person who is to be appointed a guardian, and they may question you based on your relationship to the protected person, your background, and your willingness and qualifications to be the guardian. Guardianship aims to protect an adult when they can no longer look after their own interests. Find who can answer your questions in your region. A contested guardianship hearing is a legal proceeding where an individual must prove to the court why their guardianship of another person or property should be recognized. It’s often necessary for people who are seeking to become guardians—either by filing for it themselves or being appointed by someone else—to demonstrate.
from www.raisingautism.net
It’s often necessary for people who are seeking to become guardians—either by filing for it themselves or being appointed by someone else—to demonstrate. A contested guardianship hearing is a legal proceeding where an individual must prove to the court why their guardianship of another person or property should be recognized. Find who can answer your questions in your region. Remember that the specific questions asked during a guardianship hearing can vary depending on the circumstances and the court. Be prepared to answer questions during the hearing. It is aimed at people who have lost. The court may examine the person who is to be appointed a guardian, and they may question you based on your relationship to the protected person, your background, and your willingness and qualifications to be the guardian. After filing and serving the guardianship papers, the proposed guardians and the adult over whom the. In this article, we have compiled a comprehensive list of sample questions for a guardianship hearing to help you prepare. Here are answers to common questions about guardianships and conservatorships, such as how long it takes to.
Raising Autism GC020 Notice of Hearing Guardianship or Conservatorship
Guardianship Hearing Questions Here are answers to common questions about guardianships and conservatorships, such as how long it takes to. Find who can answer your questions in your region. Be prepared to answer questions during the hearing. The court may examine the person who is to be appointed a guardian, and they may question you based on your relationship to the protected person, your background, and your willingness and qualifications to be the guardian. It is aimed at people who have lost. Guardianship aims to protect an adult when they can no longer look after their own interests. A contested guardianship hearing is a legal proceeding where an individual must prove to the court why their guardianship of another person or property should be recognized. In this article, we have compiled a comprehensive list of sample questions for a guardianship hearing to help you prepare. After filing and serving the guardianship papers, the proposed guardians and the adult over whom the. Here are answers to common questions about guardianships and conservatorships, such as how long it takes to. It’s often necessary for people who are seeking to become guardians—either by filing for it themselves or being appointed by someone else—to demonstrate. Remember that the specific questions asked during a guardianship hearing can vary depending on the circumstances and the court.
From www.uslegalforms.com
Guardianship Questionnaire Guardianship US Legal Forms Guardianship Hearing Questions Remember that the specific questions asked during a guardianship hearing can vary depending on the circumstances and the court. A contested guardianship hearing is a legal proceeding where an individual must prove to the court why their guardianship of another person or property should be recognized. The court may examine the person who is to be appointed a guardian, and. Guardianship Hearing Questions.
From www.signnow.com
Notice of Petition and Hearing Infant Guardianship Form Fill Out and Guardianship Hearing Questions After filing and serving the guardianship papers, the proposed guardians and the adult over whom the. It is aimed at people who have lost. Here are answers to common questions about guardianships and conservatorships, such as how long it takes to. Remember that the specific questions asked during a guardianship hearing can vary depending on the circumstances and the court.. Guardianship Hearing Questions.
From www.youtube.com
Question of the Day What is the difference between a Guardianship and Guardianship Hearing Questions Here are answers to common questions about guardianships and conservatorships, such as how long it takes to. In this article, we have compiled a comprehensive list of sample questions for a guardianship hearing to help you prepare. After filing and serving the guardianship papers, the proposed guardians and the adult over whom the. A contested guardianship hearing is a legal. Guardianship Hearing Questions.
From www.linkedin.com
The Guardianship Hearing In The Room Where it Happens Guardianship Hearing Questions Be prepared to answer questions during the hearing. In this article, we have compiled a comprehensive list of sample questions for a guardianship hearing to help you prepare. A contested guardianship hearing is a legal proceeding where an individual must prove to the court why their guardianship of another person or property should be recognized. It’s often necessary for people. Guardianship Hearing Questions.
From www.templateroller.com
Form PG624 Download Fillable PDF or Fill Online Notice of Guardianship Guardianship Hearing Questions Be prepared to answer questions during the hearing. The court may examine the person who is to be appointed a guardian, and they may question you based on your relationship to the protected person, your background, and your willingness and qualifications to be the guardian. Guardianship aims to protect an adult when they can no longer look after their own. Guardianship Hearing Questions.
From www.raisingautism.net
Raising Autism GC020 Notice of Hearing Guardianship or Conservatorship Guardianship Hearing Questions Guardianship aims to protect an adult when they can no longer look after their own interests. It’s often necessary for people who are seeking to become guardians—either by filing for it themselves or being appointed by someone else—to demonstrate. It is aimed at people who have lost. A contested guardianship hearing is a legal proceeding where an individual must prove. Guardianship Hearing Questions.
From www.scribd.com
305872_Tutorial 9Questions for Guardianship, Custody PDF Guardianship Hearing Questions Find who can answer your questions in your region. A contested guardianship hearing is a legal proceeding where an individual must prove to the court why their guardianship of another person or property should be recognized. Remember that the specific questions asked during a guardianship hearing can vary depending on the circumstances and the court. In this article, we have. Guardianship Hearing Questions.
From www.doaneanddoane.com
Navigating a Contested Guardianship Hearings What You Need to Know Guardianship Hearing Questions Remember that the specific questions asked during a guardianship hearing can vary depending on the circumstances and the court. Find who can answer your questions in your region. After filing and serving the guardianship papers, the proposed guardians and the adult over whom the. Here are answers to common questions about guardianships and conservatorships, such as how long it takes. Guardianship Hearing Questions.
From www.uslegalforms.com
Alaska Notice of Guardianship Hearing For Indian Child by Petitioner Guardianship Hearing Questions The court may examine the person who is to be appointed a guardian, and they may question you based on your relationship to the protected person, your background, and your willingness and qualifications to be the guardian. Here are answers to common questions about guardianships and conservatorships, such as how long it takes to. Guardianship aims to protect an adult. Guardianship Hearing Questions.
From www.uslegalforms.com
Alaska Notice of Guardianship Hearing For Indian Child by Petitioner Guardianship Hearing Questions Be prepared to answer questions during the hearing. It is aimed at people who have lost. After filing and serving the guardianship papers, the proposed guardians and the adult over whom the. Here are answers to common questions about guardianships and conservatorships, such as how long it takes to. The court may examine the person who is to be appointed. Guardianship Hearing Questions.
From www.pdffiller.com
Fillable Online Guardianship Setting Request and Order Setting Hearing Guardianship Hearing Questions It is aimed at people who have lost. Be prepared to answer questions during the hearing. Here are answers to common questions about guardianships and conservatorships, such as how long it takes to. In this article, we have compiled a comprehensive list of sample questions for a guardianship hearing to help you prepare. After filing and serving the guardianship papers,. Guardianship Hearing Questions.
From www.uslegalforms.com
Alaska Notice of Guardianship Hearing to Interested Persons US Guardianship Hearing Questions After filing and serving the guardianship papers, the proposed guardians and the adult over whom the. The court may examine the person who is to be appointed a guardian, and they may question you based on your relationship to the protected person, your background, and your willingness and qualifications to be the guardian. It’s often necessary for people who are. Guardianship Hearing Questions.
From www.youtube.com
How would you prepare for a guardianship hearing? YouTube Guardianship Hearing Questions After filing and serving the guardianship papers, the proposed guardians and the adult over whom the. The court may examine the person who is to be appointed a guardian, and they may question you based on your relationship to the protected person, your background, and your willingness and qualifications to be the guardian. In this article, we have compiled a. Guardianship Hearing Questions.
From www.templateroller.com
Form PG621 Download Fillable PDF or Fill Online Notice of Guardianship Guardianship Hearing Questions Be prepared to answer questions during the hearing. It is aimed at people who have lost. Find who can answer your questions in your region. A contested guardianship hearing is a legal proceeding where an individual must prove to the court why their guardianship of another person or property should be recognized. It’s often necessary for people who are seeking. Guardianship Hearing Questions.
From www.youtube.com
Guardianship Hearing YouTube Guardianship Hearing Questions Be prepared to answer questions during the hearing. The court may examine the person who is to be appointed a guardian, and they may question you based on your relationship to the protected person, your background, and your willingness and qualifications to be the guardian. Guardianship aims to protect an adult when they can no longer look after their own. Guardianship Hearing Questions.
From www.templateroller.com
Form CAO GCM15 Fill Out, Sign Online and Download Printable PDF Guardianship Hearing Questions Be prepared to answer questions during the hearing. The court may examine the person who is to be appointed a guardian, and they may question you based on your relationship to the protected person, your background, and your willingness and qualifications to be the guardian. Remember that the specific questions asked during a guardianship hearing can vary depending on the. Guardianship Hearing Questions.
From www.thenarratologist.com
Best guardianship hearing questions Guardianship Hearing Questions It is aimed at people who have lost. A contested guardianship hearing is a legal proceeding where an individual must prove to the court why their guardianship of another person or property should be recognized. Remember that the specific questions asked during a guardianship hearing can vary depending on the circumstances and the court. It’s often necessary for people who. Guardianship Hearing Questions.
From www.formsbank.com
Fillable Notice Of Guardianship Hearing For Non Indian Child printable Guardianship Hearing Questions Be prepared to answer questions during the hearing. A contested guardianship hearing is a legal proceeding where an individual must prove to the court why their guardianship of another person or property should be recognized. Here are answers to common questions about guardianships and conservatorships, such as how long it takes to. Remember that the specific questions asked during a. Guardianship Hearing Questions.
From www.countyforms.com
Fillable Notice Of Hearing For Appointment Of Guardian Of Minor Guardianship Hearing Questions The court may examine the person who is to be appointed a guardian, and they may question you based on your relationship to the protected person, your background, and your willingness and qualifications to be the guardian. It’s often necessary for people who are seeking to become guardians—either by filing for it themselves or being appointed by someone else—to demonstrate.. Guardianship Hearing Questions.
From www.templateroller.com
Wyoming Order Setting Hearing Guardianship (Minor) Download Printable Guardianship Hearing Questions Here are answers to common questions about guardianships and conservatorships, such as how long it takes to. It is aimed at people who have lost. Guardianship aims to protect an adult when they can no longer look after their own interests. Remember that the specific questions asked during a guardianship hearing can vary depending on the circumstances and the court.. Guardianship Hearing Questions.
From www.signnow.com
PG 620 Notice of Guardianship Hearing for Non Indian Child by Guardianship Hearing Questions Find who can answer your questions in your region. A contested guardianship hearing is a legal proceeding where an individual must prove to the court why their guardianship of another person or property should be recognized. Remember that the specific questions asked during a guardianship hearing can vary depending on the circumstances and the court. After filing and serving the. Guardianship Hearing Questions.
From studylib.net
Guardianship Frequently Asked Questions Guardianship Hearing Questions In this article, we have compiled a comprehensive list of sample questions for a guardianship hearing to help you prepare. Guardianship aims to protect an adult when they can no longer look after their own interests. Find who can answer your questions in your region. After filing and serving the guardianship papers, the proposed guardians and the adult over whom. Guardianship Hearing Questions.
From www.youtube.com
What Happens at Adult Guardianship Hearings? Learn About Law YouTube Guardianship Hearing Questions A contested guardianship hearing is a legal proceeding where an individual must prove to the court why their guardianship of another person or property should be recognized. Be prepared to answer questions during the hearing. Remember that the specific questions asked during a guardianship hearing can vary depending on the circumstances and the court. The court may examine the person. Guardianship Hearing Questions.
From www.pdffiller.com
Fillable Online Notice of Hearing about Minor Guardianship Fax Email Guardianship Hearing Questions Remember that the specific questions asked during a guardianship hearing can vary depending on the circumstances and the court. It is aimed at people who have lost. The court may examine the person who is to be appointed a guardian, and they may question you based on your relationship to the protected person, your background, and your willingness and qualifications. Guardianship Hearing Questions.
From www.slideserve.com
PPT GUARDIANSHIP PowerPoint Presentation, free download ID1653924 Guardianship Hearing Questions Find who can answer your questions in your region. The court may examine the person who is to be appointed a guardian, and they may question you based on your relationship to the protected person, your background, and your willingness and qualifications to be the guardian. It is aimed at people who have lost. In this article, we have compiled. Guardianship Hearing Questions.
From www.formsbank.com
Fillable Notice Of Guardianship Hearing printable pdf download Guardianship Hearing Questions It’s often necessary for people who are seeking to become guardians—either by filing for it themselves or being appointed by someone else—to demonstrate. Find who can answer your questions in your region. Here are answers to common questions about guardianships and conservatorships, such as how long it takes to. Remember that the specific questions asked during a guardianship hearing can. Guardianship Hearing Questions.
From www.formsbirds.com
GC020 Notice of Hearing Guardianship or Conservatorship Free Download Guardianship Hearing Questions The court may examine the person who is to be appointed a guardian, and they may question you based on your relationship to the protected person, your background, and your willingness and qualifications to be the guardian. It’s often necessary for people who are seeking to become guardians—either by filing for it themselves or being appointed by someone else—to demonstrate.. Guardianship Hearing Questions.
From www.youtube.com
How to prepare for a Guardianship and Administration Order hearing Guardianship Hearing Questions It’s often necessary for people who are seeking to become guardians—either by filing for it themselves or being appointed by someone else—to demonstrate. Be prepared to answer questions during the hearing. Remember that the specific questions asked during a guardianship hearing can vary depending on the circumstances and the court. After filing and serving the guardianship papers, the proposed guardians. Guardianship Hearing Questions.
From www.autismparentingmagazine.com
FAQs About Guardianship Autism Parenting Magazine Guardianship Hearing Questions It is aimed at people who have lost. Find who can answer your questions in your region. In this article, we have compiled a comprehensive list of sample questions for a guardianship hearing to help you prepare. Be prepared to answer questions during the hearing. After filing and serving the guardianship papers, the proposed guardians and the adult over whom. Guardianship Hearing Questions.
From www.templateroller.com
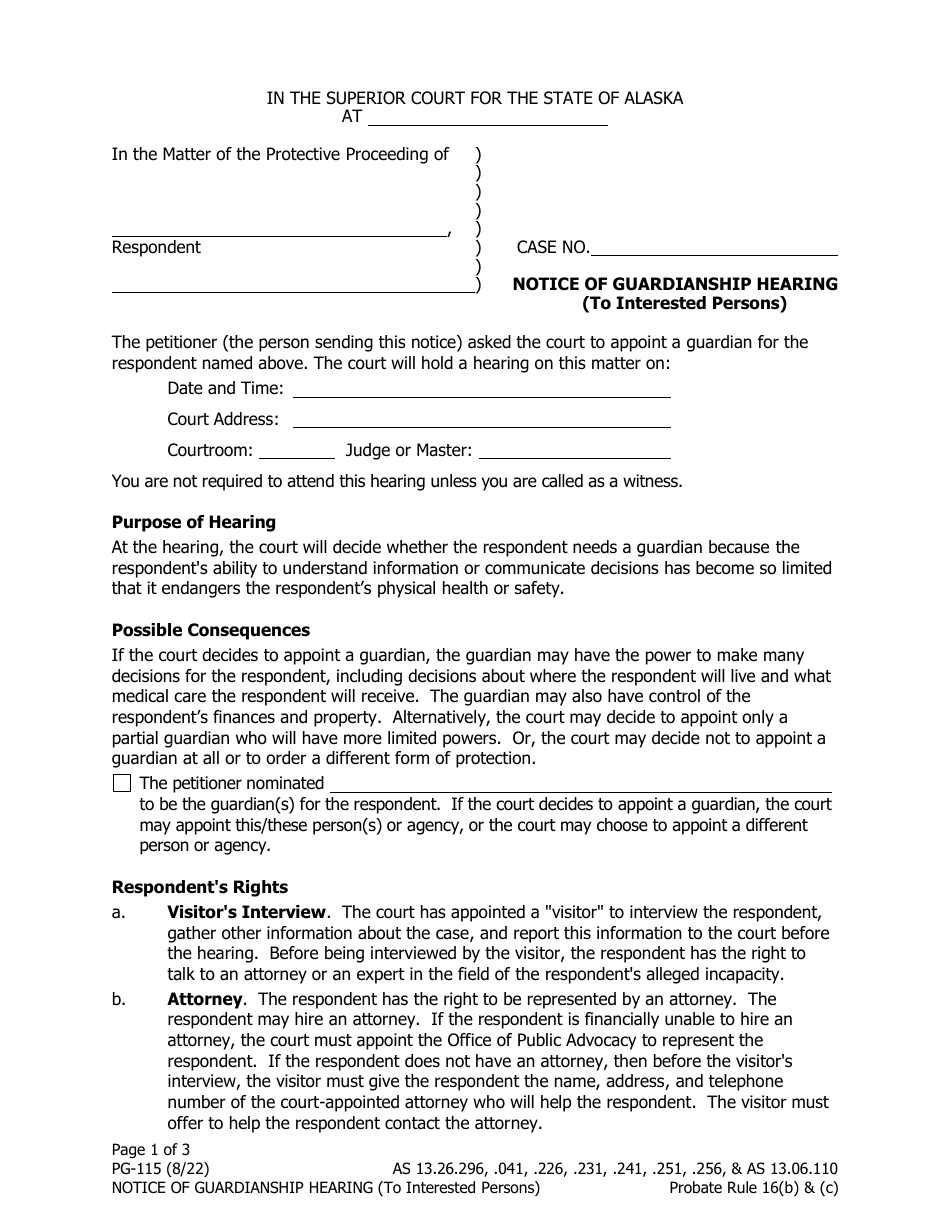
Form PG115 Download Fillable PDF or Fill Online Notice of Guardianship Guardianship Hearing Questions It is aimed at people who have lost. It’s often necessary for people who are seeking to become guardians—either by filing for it themselves or being appointed by someone else—to demonstrate. After filing and serving the guardianship papers, the proposed guardians and the adult over whom the. A contested guardianship hearing is a legal proceeding where an individual must prove. Guardianship Hearing Questions.
From www.youtube.com
5. What to Expect at the Guardianship Hearing YouTube Guardianship Hearing Questions Find who can answer your questions in your region. The court may examine the person who is to be appointed a guardian, and they may question you based on your relationship to the protected person, your background, and your willingness and qualifications to be the guardian. In this article, we have compiled a comprehensive list of sample questions for a. Guardianship Hearing Questions.
From www.uslegalforms.com
Guardianship Questionnaire Guardianship US Legal Forms Guardianship Hearing Questions A contested guardianship hearing is a legal proceeding where an individual must prove to the court why their guardianship of another person or property should be recognized. Be prepared to answer questions during the hearing. In this article, we have compiled a comprehensive list of sample questions for a guardianship hearing to help you prepare. Remember that the specific questions. Guardianship Hearing Questions.
From www.youtube.com
Guardianship Hearing YouTube Guardianship Hearing Questions The court may examine the person who is to be appointed a guardian, and they may question you based on your relationship to the protected person, your background, and your willingness and qualifications to be the guardian. Here are answers to common questions about guardianships and conservatorships, such as how long it takes to. It’s often necessary for people who. Guardianship Hearing Questions.
From www.thenarratologist.com
Best sample questions for guardianship hearing Guardianship Hearing Questions Be prepared to answer questions during the hearing. After filing and serving the guardianship papers, the proposed guardians and the adult over whom the. Guardianship aims to protect an adult when they can no longer look after their own interests. A contested guardianship hearing is a legal proceeding where an individual must prove to the court why their guardianship of. Guardianship Hearing Questions.
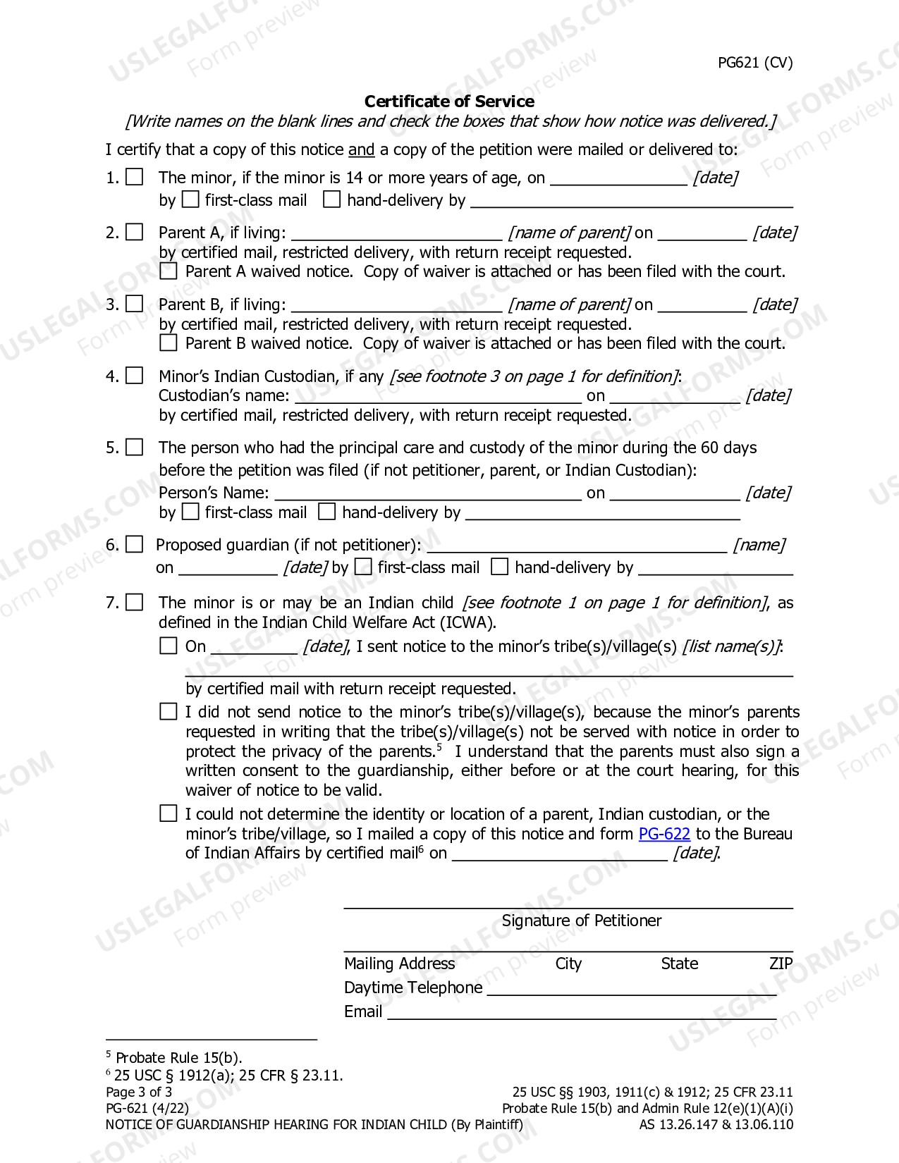
From www.templateroller.com
Form PG621 Download Fillable PDF or Fill Online Notice of Guardianship Guardianship Hearing Questions A contested guardianship hearing is a legal proceeding where an individual must prove to the court why their guardianship of another person or property should be recognized. Guardianship aims to protect an adult when they can no longer look after their own interests. Remember that the specific questions asked during a guardianship hearing can vary depending on the circumstances and. Guardianship Hearing Questions.