A 5 Kg Box Is Sliding Across A Level Floor . The coefficient of kinetic friction between the box and the floor is 0.360. Determine the kinetic frictional force that acts on the box when the elevator is. the coefficient of kinetic friction between the box and the floor is 0.360. a 5kg box slides across the floor with an initial velocity of. The box is acted upon by a force of 27 newtons east and a frictional force of 17 newtons west. If the coefficient of kinetic friction between the box and the floor is. The box is acted upon by a force of 27 newtons east and a frictional force of 17 newtons west.
from www.vrogue.co
The box is acted upon by a force of 27 newtons east and a frictional force of 17 newtons west. Determine the kinetic frictional force that acts on the box when the elevator is. The coefficient of kinetic friction between the box and the floor is 0.360. The box is acted upon by a force of 27 newtons east and a frictional force of 17 newtons west. the coefficient of kinetic friction between the box and the floor is 0.360. a 5kg box slides across the floor with an initial velocity of. If the coefficient of kinetic friction between the box and the floor is.
A 20 Newton Wooden Box Is Sliding Across A Wooden Sur vrogue.co
A 5 Kg Box Is Sliding Across A Level Floor If the coefficient of kinetic friction between the box and the floor is. The box is acted upon by a force of 27 newtons east and a frictional force of 17 newtons west. Determine the kinetic frictional force that acts on the box when the elevator is. If the coefficient of kinetic friction between the box and the floor is. The coefficient of kinetic friction between the box and the floor is 0.360. The box is acted upon by a force of 27 newtons east and a frictional force of 17 newtons west. the coefficient of kinetic friction between the box and the floor is 0.360. a 5kg box slides across the floor with an initial velocity of.
From brainly.com
A man pushing a crate of mass m = 92.0 kg at a speed of v = 0.845 m/s A 5 Kg Box Is Sliding Across A Level Floor the coefficient of kinetic friction between the box and the floor is 0.360. The box is acted upon by a force of 27 newtons east and a frictional force of 17 newtons west. The box is acted upon by a force of 27 newtons east and a frictional force of 17 newtons west. a 5kg box slides across. A 5 Kg Box Is Sliding Across A Level Floor.
From www.numerade.com
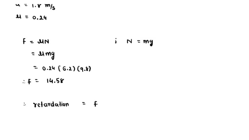
SOLVED A6.2 kg box is sliding across the floor with an initial A 5 Kg Box Is Sliding Across A Level Floor a 5kg box slides across the floor with an initial velocity of. The coefficient of kinetic friction between the box and the floor is 0.360. If the coefficient of kinetic friction between the box and the floor is. the coefficient of kinetic friction between the box and the floor is 0.360. The box is acted upon by a. A 5 Kg Box Is Sliding Across A Level Floor.
From www.chegg.com
Solved A 1,160N crate is being pushed across a level floor A 5 Kg Box Is Sliding Across A Level Floor The coefficient of kinetic friction between the box and the floor is 0.360. The box is acted upon by a force of 27 newtons east and a frictional force of 17 newtons west. a 5kg box slides across the floor with an initial velocity of. the coefficient of kinetic friction between the box and the floor is 0.360.. A 5 Kg Box Is Sliding Across A Level Floor.
From www.numerade.com
SOLVED 'Problem 14 A 15 kg box is initially sliding across a A 5 Kg Box Is Sliding Across A Level Floor If the coefficient of kinetic friction between the box and the floor is. The coefficient of kinetic friction between the box and the floor is 0.360. Determine the kinetic frictional force that acts on the box when the elevator is. The box is acted upon by a force of 27 newtons east and a frictional force of 17 newtons west.. A 5 Kg Box Is Sliding Across A Level Floor.
From www.numerade.com
SOLVED A box with mass m is dragged across a level floor with A 5 Kg Box Is Sliding Across A Level Floor The box is acted upon by a force of 27 newtons east and a frictional force of 17 newtons west. Determine the kinetic frictional force that acts on the box when the elevator is. The box is acted upon by a force of 27 newtons east and a frictional force of 17 newtons west. The coefficient of kinetic friction between. A 5 Kg Box Is Sliding Across A Level Floor.
From www.chegg.com
Solved A 3.4kg box is sliding across a level, frictionless A 5 Kg Box Is Sliding Across A Level Floor Determine the kinetic frictional force that acts on the box when the elevator is. the coefficient of kinetic friction between the box and the floor is 0.360. a 5kg box slides across the floor with an initial velocity of. The box is acted upon by a force of 27 newtons east and a frictional force of 17 newtons. A 5 Kg Box Is Sliding Across A Level Floor.
From www.numerade.com
SOLVED Suppose a 10 kg box is sliding across a horizontal floor (µk A 5 Kg Box Is Sliding Across A Level Floor Determine the kinetic frictional force that acts on the box when the elevator is. The box is acted upon by a force of 27 newtons east and a frictional force of 17 newtons west. a 5kg box slides across the floor with an initial velocity of. The box is acted upon by a force of 27 newtons east and. A 5 Kg Box Is Sliding Across A Level Floor.
From socratic.org
If you use a horizontal force of 30.0 N to slide a 12.0 kg wooden crate A 5 Kg Box Is Sliding Across A Level Floor a 5kg box slides across the floor with an initial velocity of. the coefficient of kinetic friction between the box and the floor is 0.360. Determine the kinetic frictional force that acts on the box when the elevator is. The box is acted upon by a force of 27 newtons east and a frictional force of 17 newtons. A 5 Kg Box Is Sliding Across A Level Floor.
From www.physicsforums.com
Two boxes are sliding along a floor after being given an initial speed A 5 Kg Box Is Sliding Across A Level Floor a 5kg box slides across the floor with an initial velocity of. If the coefficient of kinetic friction between the box and the floor is. The coefficient of kinetic friction between the box and the floor is 0.360. the coefficient of kinetic friction between the box and the floor is 0.360. Determine the kinetic frictional force that acts. A 5 Kg Box Is Sliding Across A Level Floor.
From www.chegg.com
Solved Question 4 5 pts A 5.0 kg box is sliding on a rough A 5 Kg Box Is Sliding Across A Level Floor If the coefficient of kinetic friction between the box and the floor is. The box is acted upon by a force of 27 newtons east and a frictional force of 17 newtons west. the coefficient of kinetic friction between the box and the floor is 0.360. The coefficient of kinetic friction between the box and the floor is 0.360.. A 5 Kg Box Is Sliding Across A Level Floor.
From www.numerade.com
SOLVED A5.23kg box = sliding across the horizontal floor of an A 5 Kg Box Is Sliding Across A Level Floor The box is acted upon by a force of 27 newtons east and a frictional force of 17 newtons west. If the coefficient of kinetic friction between the box and the floor is. Determine the kinetic frictional force that acts on the box when the elevator is. The coefficient of kinetic friction between the box and the floor is 0.360.. A 5 Kg Box Is Sliding Across A Level Floor.
From socratic.org
A mover pushes a 30.0 kg crate across a wooden floor at a constant A 5 Kg Box Is Sliding Across A Level Floor Determine the kinetic frictional force that acts on the box when the elevator is. a 5kg box slides across the floor with an initial velocity of. The box is acted upon by a force of 27 newtons east and a frictional force of 17 newtons west. The coefficient of kinetic friction between the box and the floor is 0.360.. A 5 Kg Box Is Sliding Across A Level Floor.
From www.vrogue.co
A 20 Newton Wooden Box Is Sliding Across A Wooden Sur vrogue.co A 5 Kg Box Is Sliding Across A Level Floor If the coefficient of kinetic friction between the box and the floor is. The box is acted upon by a force of 27 newtons east and a frictional force of 17 newtons west. the coefficient of kinetic friction between the box and the floor is 0.360. The coefficient of kinetic friction between the box and the floor is 0.360.. A 5 Kg Box Is Sliding Across A Level Floor.
From www.vrogue.co
A 20 Newton Wooden Box Is Sliding Across A Wooden Sur vrogue.co A 5 Kg Box Is Sliding Across A Level Floor the coefficient of kinetic friction between the box and the floor is 0.360. The box is acted upon by a force of 27 newtons east and a frictional force of 17 newtons west. a 5kg box slides across the floor with an initial velocity of. If the coefficient of kinetic friction between the box and the floor is.. A 5 Kg Box Is Sliding Across A Level Floor.
From www.chegg.com
Solved A 20kg box is sliding across a frictionless floor in A 5 Kg Box Is Sliding Across A Level Floor If the coefficient of kinetic friction between the box and the floor is. the coefficient of kinetic friction between the box and the floor is 0.360. Determine the kinetic frictional force that acts on the box when the elevator is. The box is acted upon by a force of 27 newtons east and a frictional force of 17 newtons. A 5 Kg Box Is Sliding Across A Level Floor.
From www.chegg.com
Solved 5. a) A 70Kg box is slid along the floor by a 400N A 5 Kg Box Is Sliding Across A Level Floor a 5kg box slides across the floor with an initial velocity of. If the coefficient of kinetic friction between the box and the floor is. The box is acted upon by a force of 27 newtons east and a frictional force of 17 newtons west. The coefficient of kinetic friction between the box and the floor is 0.360. Determine. A 5 Kg Box Is Sliding Across A Level Floor.
From www.chegg.com
Solved 1. A 5 kg box on a horizontal table is pushed by a A 5 Kg Box Is Sliding Across A Level Floor The box is acted upon by a force of 27 newtons east and a frictional force of 17 newtons west. If the coefficient of kinetic friction between the box and the floor is. The box is acted upon by a force of 27 newtons east and a frictional force of 17 newtons west. Determine the kinetic frictional force that acts. A 5 Kg Box Is Sliding Across A Level Floor.
From www.coursehero.com
[Solved] A 5.0 kg box is sliding across a horizontal floor, with an A 5 Kg Box Is Sliding Across A Level Floor a 5kg box slides across the floor with an initial velocity of. the coefficient of kinetic friction between the box and the floor is 0.360. Determine the kinetic frictional force that acts on the box when the elevator is. The coefficient of kinetic friction between the box and the floor is 0.360. The box is acted upon by. A 5 Kg Box Is Sliding Across A Level Floor.
From www.numerade.com
A factory worker pushes a 30.0kg crate a distance of 4.5 m along a A 5 Kg Box Is Sliding Across A Level Floor the coefficient of kinetic friction between the box and the floor is 0.360. The box is acted upon by a force of 27 newtons east and a frictional force of 17 newtons west. If the coefficient of kinetic friction between the box and the floor is. The coefficient of kinetic friction between the box and the floor is 0.360.. A 5 Kg Box Is Sliding Across A Level Floor.
From www.chegg.com
Solved 10. A 6.00−kg box is sliding across the horizontal A 5 Kg Box Is Sliding Across A Level Floor If the coefficient of kinetic friction between the box and the floor is. the coefficient of kinetic friction between the box and the floor is 0.360. Determine the kinetic frictional force that acts on the box when the elevator is. a 5kg box slides across the floor with an initial velocity of. The box is acted upon by. A 5 Kg Box Is Sliding Across A Level Floor.
From www.vrogue.co
A 20 Newton Wooden Box Is Sliding Across A Wooden Sur vrogue.co A 5 Kg Box Is Sliding Across A Level Floor If the coefficient of kinetic friction between the box and the floor is. The box is acted upon by a force of 27 newtons east and a frictional force of 17 newtons west. Determine the kinetic frictional force that acts on the box when the elevator is. The coefficient of kinetic friction between the box and the floor is 0.360.. A 5 Kg Box Is Sliding Across A Level Floor.
From www.chegg.com
Solved 4. A person drags a 30 kg box across the floor by A 5 Kg Box Is Sliding Across A Level Floor The box is acted upon by a force of 27 newtons east and a frictional force of 17 newtons west. the coefficient of kinetic friction between the box and the floor is 0.360. If the coefficient of kinetic friction between the box and the floor is. The coefficient of kinetic friction between the box and the floor is 0.360.. A 5 Kg Box Is Sliding Across A Level Floor.
From www.numerade.com
SOLVED A horizontal spring with spring constant 85 N/m extends outward A 5 Kg Box Is Sliding Across A Level Floor a 5kg box slides across the floor with an initial velocity of. If the coefficient of kinetic friction between the box and the floor is. the coefficient of kinetic friction between the box and the floor is 0.360. The box is acted upon by a force of 27 newtons east and a frictional force of 17 newtons west.. A 5 Kg Box Is Sliding Across A Level Floor.
From www.vrogue.co
A 20 Newton Wooden Box Is Sliding Across A Wooden Sur vrogue.co A 5 Kg Box Is Sliding Across A Level Floor If the coefficient of kinetic friction between the box and the floor is. the coefficient of kinetic friction between the box and the floor is 0.360. The box is acted upon by a force of 27 newtons east and a frictional force of 17 newtons west. Determine the kinetic frictional force that acts on the box when the elevator. A 5 Kg Box Is Sliding Across A Level Floor.
From www.numerade.com
SOLVED Question 1 10 pts A 10 kg box is being pushed across a floor A 5 Kg Box Is Sliding Across A Level Floor a 5kg box slides across the floor with an initial velocity of. The coefficient of kinetic friction between the box and the floor is 0.360. the coefficient of kinetic friction between the box and the floor is 0.360. The box is acted upon by a force of 27 newtons east and a frictional force of 17 newtons west.. A 5 Kg Box Is Sliding Across A Level Floor.
From www.numerade.com
SOLVEDA box with mass m is dragged across a level floor with A 5 Kg Box Is Sliding Across A Level Floor The coefficient of kinetic friction between the box and the floor is 0.360. The box is acted upon by a force of 27 newtons east and a frictional force of 17 newtons west. The box is acted upon by a force of 27 newtons east and a frictional force of 17 newtons west. Determine the kinetic frictional force that acts. A 5 Kg Box Is Sliding Across A Level Floor.
From www.coursehero.com
[Solved] . A box of mass M is pushed a distance D across a level floor A 5 Kg Box Is Sliding Across A Level Floor a 5kg box slides across the floor with an initial velocity of. If the coefficient of kinetic friction between the box and the floor is. The box is acted upon by a force of 27 newtons east and a frictional force of 17 newtons west. the coefficient of kinetic friction between the box and the floor is 0.360.. A 5 Kg Box Is Sliding Across A Level Floor.
From www.numerade.com
SOLVED sliding box Abox of mass 10 kg slides from rest down a A 5 Kg Box Is Sliding Across A Level Floor a 5kg box slides across the floor with an initial velocity of. The box is acted upon by a force of 27 newtons east and a frictional force of 17 newtons west. Determine the kinetic frictional force that acts on the box when the elevator is. the coefficient of kinetic friction between the box and the floor is. A 5 Kg Box Is Sliding Across A Level Floor.
From www.chegg.com
Solved A 8kg box is pushed 15 m across a level floor by a A 5 Kg Box Is Sliding Across A Level Floor The box is acted upon by a force of 27 newtons east and a frictional force of 17 newtons west. If the coefficient of kinetic friction between the box and the floor is. the coefficient of kinetic friction between the box and the floor is 0.360. The coefficient of kinetic friction between the box and the floor is 0.360.. A 5 Kg Box Is Sliding Across A Level Floor.
From www.numerade.com
SOLVED A 5.50kg box is sliding across the horizontal floor of an A 5 Kg Box Is Sliding Across A Level Floor The coefficient of kinetic friction between the box and the floor is 0.360. The box is acted upon by a force of 27 newtons east and a frictional force of 17 newtons west. The box is acted upon by a force of 27 newtons east and a frictional force of 17 newtons west. the coefficient of kinetic friction between. A 5 Kg Box Is Sliding Across A Level Floor.
From www.chegg.com
Solved A 1,080N crate is being pushed across a level floor A 5 Kg Box Is Sliding Across A Level Floor the coefficient of kinetic friction between the box and the floor is 0.360. If the coefficient of kinetic friction between the box and the floor is. The coefficient of kinetic friction between the box and the floor is 0.360. a 5kg box slides across the floor with an initial velocity of. Determine the kinetic frictional force that acts. A 5 Kg Box Is Sliding Across A Level Floor.
From www.chegg.com
Solved A 13.6kg box is sliding across a horizontal floor. A 5 Kg Box Is Sliding Across A Level Floor The box is acted upon by a force of 27 newtons east and a frictional force of 17 newtons west. Determine the kinetic frictional force that acts on the box when the elevator is. the coefficient of kinetic friction between the box and the floor is 0.360. The coefficient of kinetic friction between the box and the floor is. A 5 Kg Box Is Sliding Across A Level Floor.
From www.chegg.com
Solved A 7.63kg box is sliding across the horizontal floor A 5 Kg Box Is Sliding Across A Level Floor If the coefficient of kinetic friction between the box and the floor is. The coefficient of kinetic friction between the box and the floor is 0.360. Determine the kinetic frictional force that acts on the box when the elevator is. The box is acted upon by a force of 27 newtons east and a frictional force of 17 newtons west.. A 5 Kg Box Is Sliding Across A Level Floor.
From www.chegg.com
Solved A 5.0kilogram box is sliding across a level floor. A 5 Kg Box Is Sliding Across A Level Floor The box is acted upon by a force of 27 newtons east and a frictional force of 17 newtons west. The box is acted upon by a force of 27 newtons east and a frictional force of 17 newtons west. the coefficient of kinetic friction between the box and the floor is 0.360. a 5kg box slides across. A 5 Kg Box Is Sliding Across A Level Floor.
From www.youtube.com
A box is given a push so that it slides across the floor. How far will A 5 Kg Box Is Sliding Across A Level Floor Determine the kinetic frictional force that acts on the box when the elevator is. If the coefficient of kinetic friction between the box and the floor is. The box is acted upon by a force of 27 newtons east and a frictional force of 17 newtons west. the coefficient of kinetic friction between the box and the floor is. A 5 Kg Box Is Sliding Across A Level Floor.