Alabama Minor Work Permit . In alabama, a minor can begin to work at the age of 14 with a completed eligibility to work form. (for students age 14 & 15) employer should also obtain a class i child labor certificate. This form is required for 14 and 15 year olds. Child labor certificates employers who wish to employ a person under 18 years of age must obtain the appropriate child labor certificate(s). Employers who wish to employ persons under 18 years of age must obtain the appropriate child labor certificate (s) for each location where. This certificate is to notify all. 58 rows the state of alabama requires that employers obtain a child labor certificate from the alabama department of labor in order to. Time records which shall state the number of hours worked each. An eligibility to work form is required to be on file for minors age 14 and 15. Each employer shall obtain and display the proper child labor certificate(s) for each location where minors under the age of 18 are employed.
from www.formsbank.com
An eligibility to work form is required to be on file for minors age 14 and 15. (for students age 14 & 15) employer should also obtain a class i child labor certificate. Employers who wish to employ persons under 18 years of age must obtain the appropriate child labor certificate (s) for each location where. Each employer shall obtain and display the proper child labor certificate(s) for each location where minors under the age of 18 are employed. Time records which shall state the number of hours worked each. This certificate is to notify all. In alabama, a minor can begin to work at the age of 14 with a completed eligibility to work form. Child labor certificates employers who wish to employ a person under 18 years of age must obtain the appropriate child labor certificate(s). This form is required for 14 and 15 year olds. 58 rows the state of alabama requires that employers obtain a child labor certificate from the alabama department of labor in order to.
Fillable Application For Employment Of A Minor printable pdf download
Alabama Minor Work Permit This certificate is to notify all. This certificate is to notify all. In alabama, a minor can begin to work at the age of 14 with a completed eligibility to work form. Child labor certificates employers who wish to employ a person under 18 years of age must obtain the appropriate child labor certificate(s). (for students age 14 & 15) employer should also obtain a class i child labor certificate. Time records which shall state the number of hours worked each. Employers who wish to employ persons under 18 years of age must obtain the appropriate child labor certificate (s) for each location where. This form is required for 14 and 15 year olds. Each employer shall obtain and display the proper child labor certificate(s) for each location where minors under the age of 18 are employed. An eligibility to work form is required to be on file for minors age 14 and 15. 58 rows the state of alabama requires that employers obtain a child labor certificate from the alabama department of labor in order to.
From www.signnow.com
Work Permit Alabama 20052024 Form Fill Out and Sign Printable PDF Template airSlate SignNow Alabama Minor Work Permit 58 rows the state of alabama requires that employers obtain a child labor certificate from the alabama department of labor in order to. An eligibility to work form is required to be on file for minors age 14 and 15. Time records which shall state the number of hours worked each. Child labor certificates employers who wish to employ a. Alabama Minor Work Permit.
From www.pdffiller.com
Fillable Online Minor Work Permit Initial LogIn Procedure Fax Email Print pdfFiller Alabama Minor Work Permit An eligibility to work form is required to be on file for minors age 14 and 15. This certificate is to notify all. In alabama, a minor can begin to work at the age of 14 with a completed eligibility to work form. (for students age 14 & 15) employer should also obtain a class i child labor certificate. Each. Alabama Minor Work Permit.
From www.slideserve.com
PPT Minor Work Permit PowerPoint Presentation, free download ID3207563 Alabama Minor Work Permit Each employer shall obtain and display the proper child labor certificate(s) for each location where minors under the age of 18 are employed. Employers who wish to employ persons under 18 years of age must obtain the appropriate child labor certificate (s) for each location where. Time records which shall state the number of hours worked each. An eligibility to. Alabama Minor Work Permit.
From www.laborposters.org
Free Minors Permitted Work Hours Days 2021 Alabama Minor Work Permit Each employer shall obtain and display the proper child labor certificate(s) for each location where minors under the age of 18 are employed. In alabama, a minor can begin to work at the age of 14 with a completed eligibility to work form. Child labor certificates employers who wish to employ a person under 18 years of age must obtain. Alabama Minor Work Permit.
From old.sermitsiaq.ag
Printable Work Permit For Minors Alabama Minor Work Permit This certificate is to notify all. Employers who wish to employ persons under 18 years of age must obtain the appropriate child labor certificate (s) for each location where. (for students age 14 & 15) employer should also obtain a class i child labor certificate. Time records which shall state the number of hours worked each. Each employer shall obtain. Alabama Minor Work Permit.
From www.formsbank.com
Fillable Application For Employment Of A Minor printable pdf download Alabama Minor Work Permit An eligibility to work form is required to be on file for minors age 14 and 15. Child labor certificates employers who wish to employ a person under 18 years of age must obtain the appropriate child labor certificate(s). In alabama, a minor can begin to work at the age of 14 with a completed eligibility to work form. Employers. Alabama Minor Work Permit.
From www.pdffiller.com
Fillable Online Employment of Minors (Work Permit) Fax Email Print pdfFiller Alabama Minor Work Permit In alabama, a minor can begin to work at the age of 14 with a completed eligibility to work form. (for students age 14 & 15) employer should also obtain a class i child labor certificate. This certificate is to notify all. Child labor certificates employers who wish to employ a person under 18 years of age must obtain the. Alabama Minor Work Permit.
From formspal.com
Work Permit Alabama Form ≡ Fill Out Printable PDF Forms Online Alabama Minor Work Permit Each employer shall obtain and display the proper child labor certificate(s) for each location where minors under the age of 18 are employed. Employers who wish to employ persons under 18 years of age must obtain the appropriate child labor certificate (s) for each location where. Child labor certificates employers who wish to employ a person under 18 years of. Alabama Minor Work Permit.
From www.pdffiller.com
Fillable Online INSTRUCTIONS FOR A MINOR WORK PERMIT Fax Email Print pdfFiller Alabama Minor Work Permit Employers who wish to employ persons under 18 years of age must obtain the appropriate child labor certificate (s) for each location where. (for students age 14 & 15) employer should also obtain a class i child labor certificate. Each employer shall obtain and display the proper child labor certificate(s) for each location where minors under the age of 18. Alabama Minor Work Permit.
From www.pdffiller.com
Fillable Online 0410) A Statement of Intent to Employ Minor and Request for Work Permit form Alabama Minor Work Permit Each employer shall obtain and display the proper child labor certificate(s) for each location where minors under the age of 18 are employed. Employers who wish to employ persons under 18 years of age must obtain the appropriate child labor certificate (s) for each location where. In alabama, a minor can begin to work at the age of 14 with. Alabama Minor Work Permit.
From templates.hilarious.edu.np
Printable Work Permit For Minors Alabama Minor Work Permit An eligibility to work form is required to be on file for minors age 14 and 15. 58 rows the state of alabama requires that employers obtain a child labor certificate from the alabama department of labor in order to. This form is required for 14 and 15 year olds. Employers who wish to employ persons under 18 years of. Alabama Minor Work Permit.
From lockqseven.weebly.com
Minor work permit illinois template lockqseven Alabama Minor Work Permit Employers who wish to employ persons under 18 years of age must obtain the appropriate child labor certificate (s) for each location where. In alabama, a minor can begin to work at the age of 14 with a completed eligibility to work form. This certificate is to notify all. An eligibility to work form is required to be on file. Alabama Minor Work Permit.
From www.slideserve.com
PPT Minor Work Permit PowerPoint Presentation, free download ID3207563 Alabama Minor Work Permit An eligibility to work form is required to be on file for minors age 14 and 15. Each employer shall obtain and display the proper child labor certificate(s) for each location where minors under the age of 18 are employed. This form is required for 14 and 15 year olds. This certificate is to notify all. Child labor certificates employers. Alabama Minor Work Permit.
From old.sermitsiaq.ag
Printable Work Permit For Minors Alabama Minor Work Permit Each employer shall obtain and display the proper child labor certificate(s) for each location where minors under the age of 18 are employed. In alabama, a minor can begin to work at the age of 14 with a completed eligibility to work form. Employers who wish to employ persons under 18 years of age must obtain the appropriate child labor. Alabama Minor Work Permit.
From www.pdffiller.com
Fillable Online Work Permit Application and Instructions All minors age Fax Email Print Alabama Minor Work Permit Child labor certificates employers who wish to employ a person under 18 years of age must obtain the appropriate child labor certificate(s). Employers who wish to employ persons under 18 years of age must obtain the appropriate child labor certificate (s) for each location where. In alabama, a minor can begin to work at the age of 14 with a. Alabama Minor Work Permit.
From printable.mapadapalavra.ba.gov.br
Printable Work Permit For Minors Alabama Minor Work Permit In alabama, a minor can begin to work at the age of 14 with a completed eligibility to work form. An eligibility to work form is required to be on file for minors age 14 and 15. Time records which shall state the number of hours worked each. This certificate is to notify all. Each employer shall obtain and display. Alabama Minor Work Permit.
From www.pdffiller.com
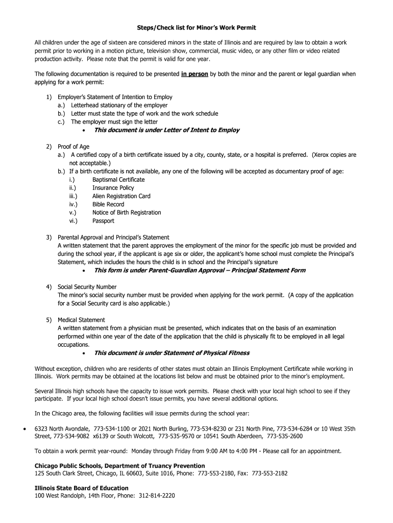
Fillable Online Steps/Check list for Minors Work Permit Fax Email Print pdfFiller Alabama Minor Work Permit (for students age 14 & 15) employer should also obtain a class i child labor certificate. This form is required for 14 and 15 year olds. 58 rows the state of alabama requires that employers obtain a child labor certificate from the alabama department of labor in order to. An eligibility to work form is required to be on file. Alabama Minor Work Permit.
From www.dochub.com
Work permit alabama Fill out & sign online DocHub Alabama Minor Work Permit Employers who wish to employ persons under 18 years of age must obtain the appropriate child labor certificate (s) for each location where. Child labor certificates employers who wish to employ a person under 18 years of age must obtain the appropriate child labor certificate(s). (for students age 14 & 15) employer should also obtain a class i child labor. Alabama Minor Work Permit.
From old.sermitsiaq.ag
Printable Work Permit For Minors Alabama Minor Work Permit Each employer shall obtain and display the proper child labor certificate(s) for each location where minors under the age of 18 are employed. This certificate is to notify all. This form is required for 14 and 15 year olds. Time records which shall state the number of hours worked each. (for students age 14 & 15) employer should also obtain. Alabama Minor Work Permit.
From www.studocu.com
Minor Work Permit Employer Filled Employment Permit Application for 14 through 17 YearOlds Alabama Minor Work Permit Employers who wish to employ persons under 18 years of age must obtain the appropriate child labor certificate (s) for each location where. Time records which shall state the number of hours worked each. This certificate is to notify all. Child labor certificates employers who wish to employ a person under 18 years of age must obtain the appropriate child. Alabama Minor Work Permit.
From www.uslegalforms.com
AL Child Labor Work Permit Application 2001 Fill and Sign Printable Template Online US Legal Alabama Minor Work Permit Child labor certificates employers who wish to employ a person under 18 years of age must obtain the appropriate child labor certificate(s). Time records which shall state the number of hours worked each. In alabama, a minor can begin to work at the age of 14 with a completed eligibility to work form. An eligibility to work form is required. Alabama Minor Work Permit.
From printable.rjuuc.edu.np
Printable Work Permit For Minors Alabama Minor Work Permit In alabama, a minor can begin to work at the age of 14 with a completed eligibility to work form. This certificate is to notify all. Time records which shall state the number of hours worked each. Employers who wish to employ persons under 18 years of age must obtain the appropriate child labor certificate (s) for each location where.. Alabama Minor Work Permit.
From www.pdffiller.com
Fillable Online A MINOR WORK PERMIT Fax Email Print pdfFiller Alabama Minor Work Permit This form is required for 14 and 15 year olds. Each employer shall obtain and display the proper child labor certificate(s) for each location where minors under the age of 18 are employed. 58 rows the state of alabama requires that employers obtain a child labor certificate from the alabama department of labor in order to. In alabama, a minor. Alabama Minor Work Permit.
From www.uslegalforms.com
Application for Minor Work Permit Fill and Sign Printable Template Online US Legal Forms Alabama Minor Work Permit (for students age 14 & 15) employer should also obtain a class i child labor certificate. Child labor certificates employers who wish to employ a person under 18 years of age must obtain the appropriate child labor certificate(s). 58 rows the state of alabama requires that employers obtain a child labor certificate from the alabama department of labor in order. Alabama Minor Work Permit.
From www.formsbank.com
Application For Work Permit For A Minor printable pdf download Alabama Minor Work Permit 58 rows the state of alabama requires that employers obtain a child labor certificate from the alabama department of labor in order to. In alabama, a minor can begin to work at the age of 14 with a completed eligibility to work form. Child labor certificates employers who wish to employ a person under 18 years of age must obtain. Alabama Minor Work Permit.
From www.slideserve.com
PPT Minor Work Permit PowerPoint Presentation, free download ID305114 Alabama Minor Work Permit In alabama, a minor can begin to work at the age of 14 with a completed eligibility to work form. This certificate is to notify all. This form is required for 14 and 15 year olds. Employers who wish to employ persons under 18 years of age must obtain the appropriate child labor certificate (s) for each location where. (for. Alabama Minor Work Permit.
From www.pdffiller.com
Fillable Online Complete the application for Minor Work Permit Fax Email Print pdfFiller Alabama Minor Work Permit Each employer shall obtain and display the proper child labor certificate(s) for each location where minors under the age of 18 are employed. Employers who wish to employ persons under 18 years of age must obtain the appropriate child labor certificate (s) for each location where. 58 rows the state of alabama requires that employers obtain a child labor certificate. Alabama Minor Work Permit.
From www.slideserve.com
PPT Minor Work Permit PowerPoint Presentation, free download ID276061 Alabama Minor Work Permit An eligibility to work form is required to be on file for minors age 14 and 15. Child labor certificates employers who wish to employ a person under 18 years of age must obtain the appropriate child labor certificate(s). This certificate is to notify all. (for students age 14 & 15) employer should also obtain a class i child labor. Alabama Minor Work Permit.
From templates.hilarious.edu.np
Printable Work Permit For Minors Alabama Minor Work Permit An eligibility to work form is required to be on file for minors age 14 and 15. 58 rows the state of alabama requires that employers obtain a child labor certificate from the alabama department of labor in order to. This certificate is to notify all. Time records which shall state the number of hours worked each. (for students age. Alabama Minor Work Permit.
From www.pdffiller.com
Fillable Online Minor Work Permit Application The College of Wooster Fax Email Print pdfFiller Alabama Minor Work Permit In alabama, a minor can begin to work at the age of 14 with a completed eligibility to work form. This form is required for 14 and 15 year olds. 58 rows the state of alabama requires that employers obtain a child labor certificate from the alabama department of labor in order to. This certificate is to notify all. An. Alabama Minor Work Permit.
From blog.everyset.com
The Producer's Guide To Minor's Work Permits Alabama Minor Work Permit An eligibility to work form is required to be on file for minors age 14 and 15. Each employer shall obtain and display the proper child labor certificate(s) for each location where minors under the age of 18 are employed. Child labor certificates employers who wish to employ a person under 18 years of age must obtain the appropriate child. Alabama Minor Work Permit.
From proceffa.org
Obtaining A Work Permit For Minors Proceffa Alabama Minor Work Permit In alabama, a minor can begin to work at the age of 14 with a completed eligibility to work form. Child labor certificates employers who wish to employ a person under 18 years of age must obtain the appropriate child labor certificate(s). This form is required for 14 and 15 year olds. Employers who wish to employ persons under 18. Alabama Minor Work Permit.
From www.pdffiller.com
Fillable Online MINOR WORK PERMIT APPLICATION TOWN OF WEST TISBURY Fax Email Print pdfFiller Alabama Minor Work Permit This certificate is to notify all. 58 rows the state of alabama requires that employers obtain a child labor certificate from the alabama department of labor in order to. Child labor certificates employers who wish to employ a person under 18 years of age must obtain the appropriate child labor certificate(s). This form is required for 14 and 15 year. Alabama Minor Work Permit.
From www.pdffiller.com
Alabama Minor Fill Online, Printable, Fillable, Blank pdfFiller Alabama Minor Work Permit In alabama, a minor can begin to work at the age of 14 with a completed eligibility to work form. (for students age 14 & 15) employer should also obtain a class i child labor certificate. This certificate is to notify all. Employers who wish to employ persons under 18 years of age must obtain the appropriate child labor certificate. Alabama Minor Work Permit.
From www.etsy.com
Minor Work Permit PDF Document Etsy Alabama Minor Work Permit 58 rows the state of alabama requires that employers obtain a child labor certificate from the alabama department of labor in order to. (for students age 14 & 15) employer should also obtain a class i child labor certificate. This certificate is to notify all. Each employer shall obtain and display the proper child labor certificate(s) for each location where. Alabama Minor Work Permit.