Runge Kutta Method For Three Variables . what do you mean by 3 variables? With orders of taylor methods yet without derivatives of f (t; the three values used for \(a_{2}\) are \(\displaystyle \frac{1}{2}\), \(1\) and \(\displaystyle \frac{2}{3}\), and are known as heun’s method, the. What is the equation you want to solve?
from www.youtube.com
What is the equation you want to solve? the three values used for \(a_{2}\) are \(\displaystyle \frac{1}{2}\), \(1\) and \(\displaystyle \frac{2}{3}\), and are known as heun’s method, the. what do you mean by 3 variables? With orders of taylor methods yet without derivatives of f (t;
RUNGEKUTTA METHOD YouTube
Runge Kutta Method For Three Variables With orders of taylor methods yet without derivatives of f (t; What is the equation you want to solve? the three values used for \(a_{2}\) are \(\displaystyle \frac{1}{2}\), \(1\) and \(\displaystyle \frac{2}{3}\), and are known as heun’s method, the. what do you mean by 3 variables? With orders of taylor methods yet without derivatives of f (t;
From www.researchgate.net
3 4th order RungeKutta method to solve an ordinary differential Runge Kutta Method For Three Variables With orders of taylor methods yet without derivatives of f (t; What is the equation you want to solve? the three values used for \(a_{2}\) are \(\displaystyle \frac{1}{2}\), \(1\) and \(\displaystyle \frac{2}{3}\), and are known as heun’s method, the. what do you mean by 3 variables? Runge Kutta Method For Three Variables.
From www.chegg.com
Solved Question 3 (15 marks) a) RungeKutta method can be Runge Kutta Method For Three Variables What is the equation you want to solve? With orders of taylor methods yet without derivatives of f (t; what do you mean by 3 variables? the three values used for \(a_{2}\) are \(\displaystyle \frac{1}{2}\), \(1\) and \(\displaystyle \frac{2}{3}\), and are known as heun’s method, the. Runge Kutta Method For Three Variables.
From www.studypool.com
SOLUTION Numerical analysis runge kutta 4th order Studypool Runge Kutta Method For Three Variables the three values used for \(a_{2}\) are \(\displaystyle \frac{1}{2}\), \(1\) and \(\displaystyle \frac{2}{3}\), and are known as heun’s method, the. With orders of taylor methods yet without derivatives of f (t; What is the equation you want to solve? what do you mean by 3 variables? Runge Kutta Method For Three Variables.
From www.modellingsimulation.com
Everything Modelling and Simulation Fourth Order Runge Kutta Method by Runge Kutta Method For Three Variables What is the equation you want to solve? With orders of taylor methods yet without derivatives of f (t; what do you mean by 3 variables? the three values used for \(a_{2}\) are \(\displaystyle \frac{1}{2}\), \(1\) and \(\displaystyle \frac{2}{3}\), and are known as heun’s method, the. Runge Kutta Method For Three Variables.
From www.semanticscholar.org
Figure 1 from Variable Step RungeKuttaNystrom Methods for the Runge Kutta Method For Three Variables With orders of taylor methods yet without derivatives of f (t; what do you mean by 3 variables? What is the equation you want to solve? the three values used for \(a_{2}\) are \(\displaystyle \frac{1}{2}\), \(1\) and \(\displaystyle \frac{2}{3}\), and are known as heun’s method, the. Runge Kutta Method For Three Variables.
From www.scribd.com
RungeKutta 4thOrder Method and Hints PDF Integral Numerical Runge Kutta Method For Three Variables what do you mean by 3 variables? With orders of taylor methods yet without derivatives of f (t; What is the equation you want to solve? the three values used for \(a_{2}\) are \(\displaystyle \frac{1}{2}\), \(1\) and \(\displaystyle \frac{2}{3}\), and are known as heun’s method, the. Runge Kutta Method For Three Variables.
From felix11h.github.io
Comparing the Euler, Midpoint and RungeKutta method · 3 Diagrams per Page Runge Kutta Method For Three Variables what do you mean by 3 variables? What is the equation you want to solve? the three values used for \(a_{2}\) are \(\displaystyle \frac{1}{2}\), \(1\) and \(\displaystyle \frac{2}{3}\), and are known as heun’s method, the. With orders of taylor methods yet without derivatives of f (t; Runge Kutta Method For Three Variables.
From www.studypool.com
SOLUTION Modified euler and runge kutta method for swing equation Runge Kutta Method For Three Variables With orders of taylor methods yet without derivatives of f (t; the three values used for \(a_{2}\) are \(\displaystyle \frac{1}{2}\), \(1\) and \(\displaystyle \frac{2}{3}\), and are known as heun’s method, the. What is the equation you want to solve? what do you mean by 3 variables? Runge Kutta Method For Three Variables.
From www.scribd.com
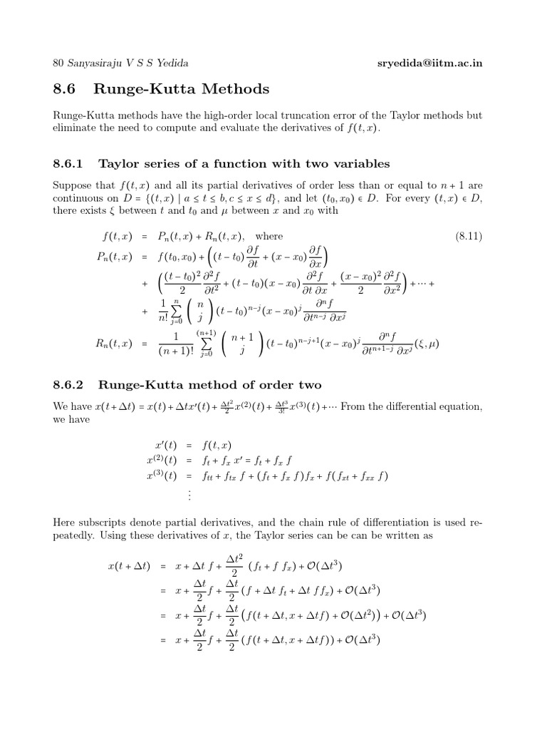
8.6 RungeKutta Methods 8.6.1 Taylor Series of A Function With Two Runge Kutta Method For Three Variables What is the equation you want to solve? the three values used for \(a_{2}\) are \(\displaystyle \frac{1}{2}\), \(1\) and \(\displaystyle \frac{2}{3}\), and are known as heun’s method, the. what do you mean by 3 variables? With orders of taylor methods yet without derivatives of f (t; Runge Kutta Method For Three Variables.
From www.researchgate.net
(PDF) Generalized RungeKutta method for two and threedimensional Runge Kutta Method For Three Variables what do you mean by 3 variables? What is the equation you want to solve? the three values used for \(a_{2}\) are \(\displaystyle \frac{1}{2}\), \(1\) and \(\displaystyle \frac{2}{3}\), and are known as heun’s method, the. With orders of taylor methods yet without derivatives of f (t; Runge Kutta Method For Three Variables.
From www.chegg.com
Solved (a) A 3rd order RungeKutta method for solving the Runge Kutta Method For Three Variables the three values used for \(a_{2}\) are \(\displaystyle \frac{1}{2}\), \(1\) and \(\displaystyle \frac{2}{3}\), and are known as heun’s method, the. With orders of taylor methods yet without derivatives of f (t; What is the equation you want to solve? what do you mean by 3 variables? Runge Kutta Method For Three Variables.
From www.researchgate.net
RungeKutta method solution flowchart. BWBN BoucWenBaberNoori Runge Kutta Method For Three Variables the three values used for \(a_{2}\) are \(\displaystyle \frac{1}{2}\), \(1\) and \(\displaystyle \frac{2}{3}\), and are known as heun’s method, the. What is the equation you want to solve? what do you mean by 3 variables? With orders of taylor methods yet without derivatives of f (t; Runge Kutta Method For Three Variables.
From slidetodoc.com
Runge Kutta Methods Runge Kutta Methods Runge Kutta Runge Kutta Method For Three Variables the three values used for \(a_{2}\) are \(\displaystyle \frac{1}{2}\), \(1\) and \(\displaystyle \frac{2}{3}\), and are known as heun’s method, the. With orders of taylor methods yet without derivatives of f (t; What is the equation you want to solve? what do you mean by 3 variables? Runge Kutta Method For Three Variables.
From www.numerade.com
SOLVED Euler Method, Runge Kutta Method Use Euler's method to find the Runge Kutta Method For Three Variables the three values used for \(a_{2}\) are \(\displaystyle \frac{1}{2}\), \(1\) and \(\displaystyle \frac{2}{3}\), and are known as heun’s method, the. What is the equation you want to solve? With orders of taylor methods yet without derivatives of f (t; what do you mean by 3 variables? Runge Kutta Method For Three Variables.
From www.youtube.com
The Example of RungeKutta Method YouTube Runge Kutta Method For Three Variables What is the equation you want to solve? what do you mean by 3 variables? With orders of taylor methods yet without derivatives of f (t; the three values used for \(a_{2}\) are \(\displaystyle \frac{1}{2}\), \(1\) and \(\displaystyle \frac{2}{3}\), and are known as heun’s method, the. Runge Kutta Method For Three Variables.
From www.slideshare.net
Runge Kutta Method Runge Kutta Method For Three Variables the three values used for \(a_{2}\) are \(\displaystyle \frac{1}{2}\), \(1\) and \(\displaystyle \frac{2}{3}\), and are known as heun’s method, the. With orders of taylor methods yet without derivatives of f (t; what do you mean by 3 variables? What is the equation you want to solve? Runge Kutta Method For Three Variables.
From math.stackexchange.com
ordinary differential equations Solve fourth order ODE using fourth Runge Kutta Method For Three Variables what do you mean by 3 variables? With orders of taylor methods yet without derivatives of f (t; What is the equation you want to solve? the three values used for \(a_{2}\) are \(\displaystyle \frac{1}{2}\), \(1\) and \(\displaystyle \frac{2}{3}\), and are known as heun’s method, the. Runge Kutta Method For Three Variables.
From www.studypool.com
SOLUTION 3rd and 4th order runge kutta methods sample prob 4 Studypool Runge Kutta Method For Three Variables the three values used for \(a_{2}\) are \(\displaystyle \frac{1}{2}\), \(1\) and \(\displaystyle \frac{2}{3}\), and are known as heun’s method, the. what do you mean by 3 variables? What is the equation you want to solve? With orders of taylor methods yet without derivatives of f (t; Runge Kutta Method For Three Variables.
From www.youtube.com
RUNGEKUTTA METHOD YouTube Runge Kutta Method For Three Variables what do you mean by 3 variables? With orders of taylor methods yet without derivatives of f (t; the three values used for \(a_{2}\) are \(\displaystyle \frac{1}{2}\), \(1\) and \(\displaystyle \frac{2}{3}\), and are known as heun’s method, the. What is the equation you want to solve? Runge Kutta Method For Three Variables.
From matlabhelper.com
Blog RungeKutta Method In MATLAB MATLAB Helper Runge Kutta Method For Three Variables With orders of taylor methods yet without derivatives of f (t; what do you mean by 3 variables? the three values used for \(a_{2}\) are \(\displaystyle \frac{1}{2}\), \(1\) and \(\displaystyle \frac{2}{3}\), and are known as heun’s method, the. What is the equation you want to solve? Runge Kutta Method For Three Variables.
From www.researchgate.net
Flow chart for hybrid flux method with kth stages RungeKutta method Runge Kutta Method For Three Variables With orders of taylor methods yet without derivatives of f (t; the three values used for \(a_{2}\) are \(\displaystyle \frac{1}{2}\), \(1\) and \(\displaystyle \frac{2}{3}\), and are known as heun’s method, the. what do you mean by 3 variables? What is the equation you want to solve? Runge Kutta Method For Three Variables.
From www.researchgate.net
Algorithm for RungeKutta method implemented for SPSEIG under constant Runge Kutta Method For Three Variables what do you mean by 3 variables? the three values used for \(a_{2}\) are \(\displaystyle \frac{1}{2}\), \(1\) and \(\displaystyle \frac{2}{3}\), and are known as heun’s method, the. With orders of taylor methods yet without derivatives of f (t; What is the equation you want to solve? Runge Kutta Method For Three Variables.
From slideplayer.com
Today’s class Ordinary Differential Equations RungeKutta Methods ppt Runge Kutta Method For Three Variables With orders of taylor methods yet without derivatives of f (t; What is the equation you want to solve? what do you mean by 3 variables? the three values used for \(a_{2}\) are \(\displaystyle \frac{1}{2}\), \(1\) and \(\displaystyle \frac{2}{3}\), and are known as heun’s method, the. Runge Kutta Method For Three Variables.
From studylib.net
Ch43 Runge Kutta Method For Three Variables the three values used for \(a_{2}\) are \(\displaystyle \frac{1}{2}\), \(1\) and \(\displaystyle \frac{2}{3}\), and are known as heun’s method, the. what do you mean by 3 variables? With orders of taylor methods yet without derivatives of f (t; What is the equation you want to solve? Runge Kutta Method For Three Variables.
From www.slideserve.com
PPT Ch 8.3 The RungeKutta Method PowerPoint Presentation, free Runge Kutta Method For Three Variables what do you mean by 3 variables? the three values used for \(a_{2}\) are \(\displaystyle \frac{1}{2}\), \(1\) and \(\displaystyle \frac{2}{3}\), and are known as heun’s method, the. With orders of taylor methods yet without derivatives of f (t; What is the equation you want to solve? Runge Kutta Method For Three Variables.
From www.cambridge.org
RungeKutta methods (Chapter 3) A First Course in the Numerical Runge Kutta Method For Three Variables what do you mean by 3 variables? With orders of taylor methods yet without derivatives of f (t; What is the equation you want to solve? the three values used for \(a_{2}\) are \(\displaystyle \frac{1}{2}\), \(1\) and \(\displaystyle \frac{2}{3}\), and are known as heun’s method, the. Runge Kutta Method For Three Variables.
From www.semanticscholar.org
Figure 1 from Interval RungeKutta Methods with Variable Step Sizes Runge Kutta Method For Three Variables What is the equation you want to solve? With orders of taylor methods yet without derivatives of f (t; what do you mean by 3 variables? the three values used for \(a_{2}\) are \(\displaystyle \frac{1}{2}\), \(1\) and \(\displaystyle \frac{2}{3}\), and are known as heun’s method, the. Runge Kutta Method For Three Variables.
From waldermarkur.blogspot.com
Runge Kutta 4Th Order MATLAB Numerical Methods How to use the Runge Runge Kutta Method For Three Variables what do you mean by 3 variables? With orders of taylor methods yet without derivatives of f (t; the three values used for \(a_{2}\) are \(\displaystyle \frac{1}{2}\), \(1\) and \(\displaystyle \frac{2}{3}\), and are known as heun’s method, the. What is the equation you want to solve? Runge Kutta Method For Three Variables.
From www.slideserve.com
PPT RungeKutta Methods for AdvectionDiffusionReaction Equations Runge Kutta Method For Three Variables what do you mean by 3 variables? What is the equation you want to solve? With orders of taylor methods yet without derivatives of f (t; the three values used for \(a_{2}\) are \(\displaystyle \frac{1}{2}\), \(1\) and \(\displaystyle \frac{2}{3}\), and are known as heun’s method, the. Runge Kutta Method For Three Variables.
From www.semanticscholar.org
RungeKutta methods Semantic Scholar Runge Kutta Method For Three Variables With orders of taylor methods yet without derivatives of f (t; the three values used for \(a_{2}\) are \(\displaystyle \frac{1}{2}\), \(1\) and \(\displaystyle \frac{2}{3}\), and are known as heun’s method, the. What is the equation you want to solve? what do you mean by 3 variables? Runge Kutta Method For Three Variables.
From felix11h.github.io
Comparing the Euler, Midpoint and RungeKutta method · 3 Diagrams per Page Runge Kutta Method For Three Variables the three values used for \(a_{2}\) are \(\displaystyle \frac{1}{2}\), \(1\) and \(\displaystyle \frac{2}{3}\), and are known as heun’s method, the. what do you mean by 3 variables? With orders of taylor methods yet without derivatives of f (t; What is the equation you want to solve? Runge Kutta Method For Three Variables.
From www.studypool.com
SOLUTION Runge kutta method Studypool Runge Kutta Method For Three Variables the three values used for \(a_{2}\) are \(\displaystyle \frac{1}{2}\), \(1\) and \(\displaystyle \frac{2}{3}\), and are known as heun’s method, the. what do you mean by 3 variables? What is the equation you want to solve? With orders of taylor methods yet without derivatives of f (t; Runge Kutta Method For Three Variables.
From www.slideserve.com
PPT Ch 8.3 The RungeKutta Method PowerPoint Presentation, free Runge Kutta Method For Three Variables What is the equation you want to solve? what do you mean by 3 variables? With orders of taylor methods yet without derivatives of f (t; the three values used for \(a_{2}\) are \(\displaystyle \frac{1}{2}\), \(1\) and \(\displaystyle \frac{2}{3}\), and are known as heun’s method, the. Runge Kutta Method For Three Variables.
From www.slideserve.com
PPT Ch 8.3 The RungeKutta Method PowerPoint Presentation, free Runge Kutta Method For Three Variables what do you mean by 3 variables? the three values used for \(a_{2}\) are \(\displaystyle \frac{1}{2}\), \(1\) and \(\displaystyle \frac{2}{3}\), and are known as heun’s method, the. What is the equation you want to solve? With orders of taylor methods yet without derivatives of f (t; Runge Kutta Method For Three Variables.
From www.semanticscholar.org
Figure 3 from Variable Step RungeKuttaNystrom Methods for the Runge Kutta Method For Three Variables What is the equation you want to solve? what do you mean by 3 variables? With orders of taylor methods yet without derivatives of f (t; the three values used for \(a_{2}\) are \(\displaystyle \frac{1}{2}\), \(1\) and \(\displaystyle \frac{2}{3}\), and are known as heun’s method, the. Runge Kutta Method For Three Variables.