Are Chattel Mortgages Good . 10k+ visitors in the past month — a chattel mortgage is a loan arrangement where the borrower offers personal property (chattel) as collateral to. if you’re looking to purchase a movable piece of equipment or modular home, a chattel mortgage may be a good option for you. — a chattel mortgage is a loan to purchase movable personal property, such as construction equipment or a mobile home. If you suspect chattel mortgages are different. — chattel mortgages are used to finance movable assets separately from the land they occupy. This type of loan is often used. — chattel mortgages are loans you get on personal property (aka chattel) that can move. — chattel mortgages are a good solution if you're purchasing a property that doesn't qualify for a traditional mortgage. They come with a higher cost than a.
from foundersguide.com
10k+ visitors in the past month — chattel mortgages are loans you get on personal property (aka chattel) that can move. — a chattel mortgage is a loan arrangement where the borrower offers personal property (chattel) as collateral to. They come with a higher cost than a. if you’re looking to purchase a movable piece of equipment or modular home, a chattel mortgage may be a good option for you. This type of loan is often used. If you suspect chattel mortgages are different. — chattel mortgages are used to finance movable assets separately from the land they occupy. — a chattel mortgage is a loan to purchase movable personal property, such as construction equipment or a mobile home. — chattel mortgages are a good solution if you're purchasing a property that doesn't qualify for a traditional mortgage.
Chattel Mortgage For Business Owners A Quick Guide Founder's Guide
Are Chattel Mortgages Good This type of loan is often used. — chattel mortgages are a good solution if you're purchasing a property that doesn't qualify for a traditional mortgage. if you’re looking to purchase a movable piece of equipment or modular home, a chattel mortgage may be a good option for you. 10k+ visitors in the past month — chattel mortgages are loans you get on personal property (aka chattel) that can move. — a chattel mortgage is a loan arrangement where the borrower offers personal property (chattel) as collateral to. — a chattel mortgage is a loan to purchase movable personal property, such as construction equipment or a mobile home. This type of loan is often used. If you suspect chattel mortgages are different. They come with a higher cost than a. — chattel mortgages are used to finance movable assets separately from the land they occupy.
From www.managementnote.com
Chattel Mortgage Meaning and Key Benefits Car and Equipment Loans Are Chattel Mortgages Good — chattel mortgages are a good solution if you're purchasing a property that doesn't qualify for a traditional mortgage. — a chattel mortgage is a loan arrangement where the borrower offers personal property (chattel) as collateral to. — a chattel mortgage is a loan to purchase movable personal property, such as construction equipment or a mobile home.. Are Chattel Mortgages Good.
From www.pinterest.com
What is Chattel Mortgage? in 2021 Mortgage, Mortgage loans, Modular homes Are Chattel Mortgages Good They come with a higher cost than a. If you suspect chattel mortgages are different. — chattel mortgages are loans you get on personal property (aka chattel) that can move. — a chattel mortgage is a loan arrangement where the borrower offers personal property (chattel) as collateral to. — a chattel mortgage is a loan to purchase. Are Chattel Mortgages Good.
From www.slideserve.com
PPT Learn About Chattel Mortgage PowerPoint Presentation, free download ID8025170 Are Chattel Mortgages Good 10k+ visitors in the past month — a chattel mortgage is a loan to purchase movable personal property, such as construction equipment or a mobile home. If you suspect chattel mortgages are different. They come with a higher cost than a. — chattel mortgages are used to finance movable assets separately from the land they occupy. This type. Are Chattel Mortgages Good.
From newsmistake.blogspot.com
10 Reasons Why Chattel Mortgage Is A Good Option Are Chattel Mortgages Good If you suspect chattel mortgages are different. — chattel mortgages are a good solution if you're purchasing a property that doesn't qualify for a traditional mortgage. 10k+ visitors in the past month — chattel mortgages are loans you get on personal property (aka chattel) that can move. — a chattel mortgage is a loan to purchase movable. Are Chattel Mortgages Good.
From piedmontave.com
Chattel Mortgages A Comprehensive Guide Are Chattel Mortgages Good — a chattel mortgage is a loan arrangement where the borrower offers personal property (chattel) as collateral to. — chattel mortgages are a good solution if you're purchasing a property that doesn't qualify for a traditional mortgage. — a chattel mortgage is a loan to purchase movable personal property, such as construction equipment or a mobile home.. Are Chattel Mortgages Good.
From www.autodeal.com.ph
What is a chattel mortgage for auto loans and how does it work? Autodeal Are Chattel Mortgages Good — chattel mortgages are used to finance movable assets separately from the land they occupy. — chattel mortgages are loans you get on personal property (aka chattel) that can move. — a chattel mortgage is a loan to purchase movable personal property, such as construction equipment or a mobile home. They come with a higher cost than. Are Chattel Mortgages Good.
From www.scribd.com
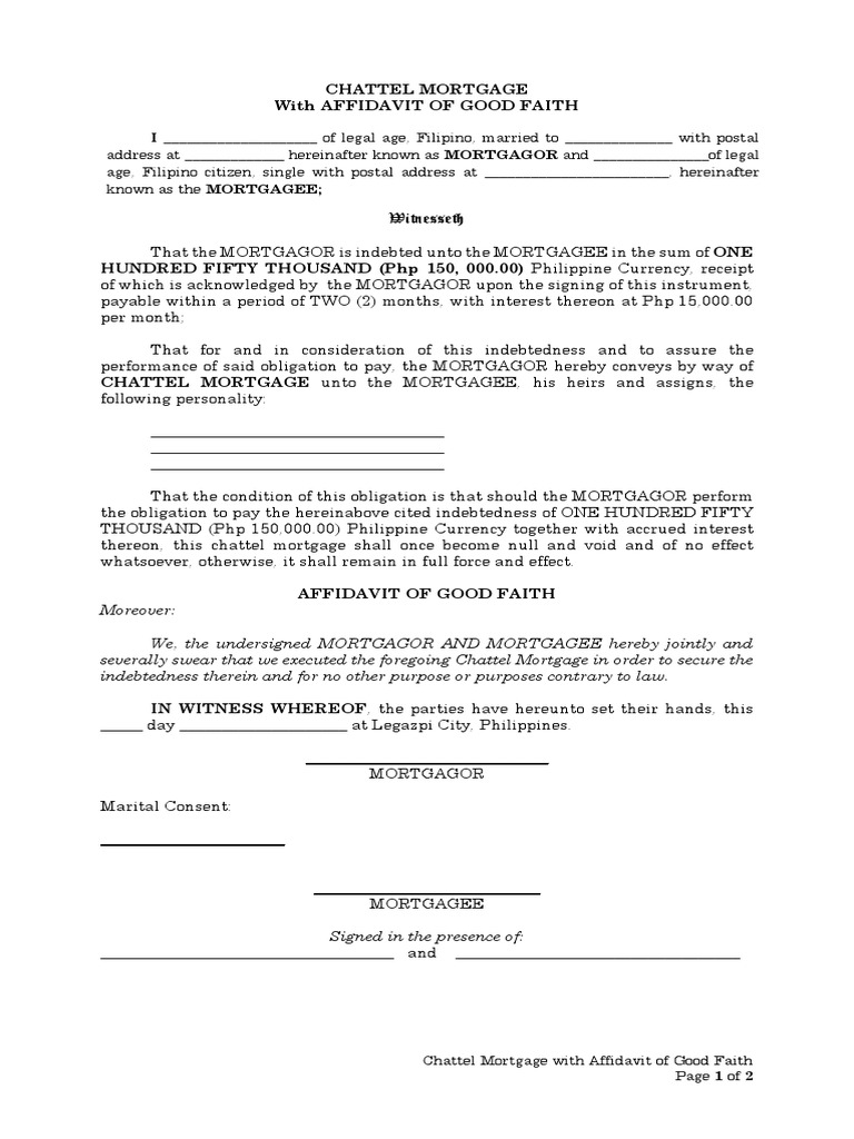
Chattel Mortgage With Affidavit of Good Faith PDF Mortgage Law Foreclosure Are Chattel Mortgages Good if you’re looking to purchase a movable piece of equipment or modular home, a chattel mortgage may be a good option for you. This type of loan is often used. 10k+ visitors in the past month — a chattel mortgage is a loan arrangement where the borrower offers personal property (chattel) as collateral to. They come with a. Are Chattel Mortgages Good.
From foundersguide.com
Chattel Mortgage For Business Owners A Quick Guide Founder's Guide Are Chattel Mortgages Good 10k+ visitors in the past month — a chattel mortgage is a loan to purchase movable personal property, such as construction equipment or a mobile home. — chattel mortgages are loans you get on personal property (aka chattel) that can move. This type of loan is often used. — a chattel mortgage is a loan arrangement where. Are Chattel Mortgages Good.
From www.studocu.com
Chattel Mortgage With Affidavit OF GOOD CHATTEL MORTGAGE With AFFIDAVIT OF GOOD FAITH Know all Are Chattel Mortgages Good This type of loan is often used. if you’re looking to purchase a movable piece of equipment or modular home, a chattel mortgage may be a good option for you. — chattel mortgages are loans you get on personal property (aka chattel) that can move. — chattel mortgages are used to finance movable assets separately from the. Are Chattel Mortgages Good.
From www.pinterest.ph
a document with the words and numbers on it Are Chattel Mortgages Good — chattel mortgages are used to finance movable assets separately from the land they occupy. If you suspect chattel mortgages are different. They come with a higher cost than a. if you’re looking to purchase a movable piece of equipment or modular home, a chattel mortgage may be a good option for you. — a chattel mortgage. Are Chattel Mortgages Good.
From www.scribd.com
Chattel Mortgage Sample PDF Are Chattel Mortgages Good This type of loan is often used. if you’re looking to purchase a movable piece of equipment or modular home, a chattel mortgage may be a good option for you. If you suspect chattel mortgages are different. They come with a higher cost than a. — chattel mortgages are loans you get on personal property (aka chattel) that. Are Chattel Mortgages Good.
From www.woodwardfinance.com.au
What is a Chattel Mortgage A Complete Guide Are Chattel Mortgages Good if you’re looking to purchase a movable piece of equipment or modular home, a chattel mortgage may be a good option for you. — a chattel mortgage is a loan arrangement where the borrower offers personal property (chattel) as collateral to. If you suspect chattel mortgages are different. — chattel mortgages are loans you get on personal. Are Chattel Mortgages Good.
From www.scribd.com
CHATTEL MORTGAGE With AFFIDAVIT OF GOOD PDF Mortgage Law Property Are Chattel Mortgages Good — chattel mortgages are loans you get on personal property (aka chattel) that can move. 10k+ visitors in the past month if you’re looking to purchase a movable piece of equipment or modular home, a chattel mortgage may be a good option for you. They come with a higher cost than a. If you suspect chattel mortgages are. Are Chattel Mortgages Good.
From www.nonqmhomeloans.com
History Of Chattel Mortgages in the USA Are Chattel Mortgages Good — chattel mortgages are loans you get on personal property (aka chattel) that can move. 10k+ visitors in the past month — a chattel mortgage is a loan to purchase movable personal property, such as construction equipment or a mobile home. — a chattel mortgage is a loan arrangement where the borrower offers personal property (chattel) as. Are Chattel Mortgages Good.
From casaplorer.com
What is a Chattel Mortgage? Casaplorer Are Chattel Mortgages Good 10k+ visitors in the past month If you suspect chattel mortgages are different. — a chattel mortgage is a loan to purchase movable personal property, such as construction equipment or a mobile home. They come with a higher cost than a. This type of loan is often used. — chattel mortgages are a good solution if you're purchasing. Are Chattel Mortgages Good.
From www.slideserve.com
PPT All You Need To Know About Chattel Mortgage Car Loan PowerPoint Presentation ID7729301 Are Chattel Mortgages Good — a chattel mortgage is a loan to purchase movable personal property, such as construction equipment or a mobile home. — a chattel mortgage is a loan arrangement where the borrower offers personal property (chattel) as collateral to. If you suspect chattel mortgages are different. — chattel mortgages are loans you get on personal property (aka chattel). Are Chattel Mortgages Good.
From www.carloans.com.au
Chattel Mortgage What is it and how does it work? Are Chattel Mortgages Good — a chattel mortgage is a loan arrangement where the borrower offers personal property (chattel) as collateral to. This type of loan is often used. if you’re looking to purchase a movable piece of equipment or modular home, a chattel mortgage may be a good option for you. — chattel mortgages are loans you get on personal. Are Chattel Mortgages Good.
From www.loan-s.com.au
What Is Chattel Mortgage? Loans Are Chattel Mortgages Good If you suspect chattel mortgages are different. — chattel mortgages are loans you get on personal property (aka chattel) that can move. — a chattel mortgage is a loan to purchase movable personal property, such as construction equipment or a mobile home. if you’re looking to purchase a movable piece of equipment or modular home, a chattel. Are Chattel Mortgages Good.
From www.ausloans.com.au
Car and Equipment Loans for Business with Chattel Mortgage Are Chattel Mortgages Good — chattel mortgages are used to finance movable assets separately from the land they occupy. — chattel mortgages are loans you get on personal property (aka chattel) that can move. If you suspect chattel mortgages are different. — chattel mortgages are a good solution if you're purchasing a property that doesn't qualify for a traditional mortgage. 10k+. Are Chattel Mortgages Good.
From caknowledge.com
Chattel Mortgage Vs Hire Purchase Which to Pick Are Chattel Mortgages Good They come with a higher cost than a. — chattel mortgages are a good solution if you're purchasing a property that doesn't qualify for a traditional mortgage. — chattel mortgages are loans you get on personal property (aka chattel) that can move. if you’re looking to purchase a movable piece of equipment or modular home, a chattel. Are Chattel Mortgages Good.
From www.youtube.com
What Is A Chattel Mortgage? 5 Things You Have To Know YouTube Are Chattel Mortgages Good If you suspect chattel mortgages are different. — a chattel mortgage is a loan to purchase movable personal property, such as construction equipment or a mobile home. — a chattel mortgage is a loan arrangement where the borrower offers personal property (chattel) as collateral to. They come with a higher cost than a. 10k+ visitors in the past. Are Chattel Mortgages Good.
From automotivefinance.au
Understanding Chattel Mortgages A Comprehensive Guide for Australians Automotive Finance Are Chattel Mortgages Good — chattel mortgages are loans you get on personal property (aka chattel) that can move. — a chattel mortgage is a loan arrangement where the borrower offers personal property (chattel) as collateral to. They come with a higher cost than a. — chattel mortgages are used to finance movable assets separately from the land they occupy. . Are Chattel Mortgages Good.
From theamberpost.com
What is a Chattel Mortgage? A Comprehensive Guide TheAmberPost Are Chattel Mortgages Good — chattel mortgages are used to finance movable assets separately from the land they occupy. — chattel mortgages are a good solution if you're purchasing a property that doesn't qualify for a traditional mortgage. This type of loan is often used. 10k+ visitors in the past month — a chattel mortgage is a loan to purchase movable. Are Chattel Mortgages Good.
From planabettermortgage.com.au
What Is A Chattel Mortgage And When Is It Used Plan a Better Mortgage Are Chattel Mortgages Good This type of loan is often used. They come with a higher cost than a. — chattel mortgages are used to finance movable assets separately from the land they occupy. 10k+ visitors in the past month — a chattel mortgage is a loan arrangement where the borrower offers personal property (chattel) as collateral to. — chattel mortgages. Are Chattel Mortgages Good.
From thebusinessgigs.com
8 Key Benefits of a Chattel Mortgage The Business Gigs Are Chattel Mortgages Good — chattel mortgages are a good solution if you're purchasing a property that doesn't qualify for a traditional mortgage. — chattel mortgages are loans you get on personal property (aka chattel) that can move. This type of loan is often used. If you suspect chattel mortgages are different. — a chattel mortgage is a loan arrangement where. Are Chattel Mortgages Good.
From www.scribd.com
Chattel Mortgage With Affidavit of Good Faith PDF Mortgage Law Property Are Chattel Mortgages Good — chattel mortgages are loans you get on personal property (aka chattel) that can move. — a chattel mortgage is a loan arrangement where the borrower offers personal property (chattel) as collateral to. 10k+ visitors in the past month If you suspect chattel mortgages are different. — chattel mortgages are a good solution if you're purchasing a. Are Chattel Mortgages Good.
From marketbusinessnews.com
Chattel mortgage definition and meaning Market Business News Are Chattel Mortgages Good — a chattel mortgage is a loan arrangement where the borrower offers personal property (chattel) as collateral to. They come with a higher cost than a. — a chattel mortgage is a loan to purchase movable personal property, such as construction equipment or a mobile home. — chattel mortgages are loans you get on personal property (aka. Are Chattel Mortgages Good.
From askfunding.com.au
Chattel Mortgage Ask Funding Are Chattel Mortgages Good — chattel mortgages are loans you get on personal property (aka chattel) that can move. — chattel mortgages are a good solution if you're purchasing a property that doesn't qualify for a traditional mortgage. This type of loan is often used. 10k+ visitors in the past month They come with a higher cost than a. — chattel. Are Chattel Mortgages Good.
From philvex.com
What is a chattel mortgage and how does it work for car loans? PhilVex Are Chattel Mortgages Good — chattel mortgages are loans you get on personal property (aka chattel) that can move. — a chattel mortgage is a loan to purchase movable personal property, such as construction equipment or a mobile home. If you suspect chattel mortgages are different. if you’re looking to purchase a movable piece of equipment or modular home, a chattel. Are Chattel Mortgages Good.
From www.scribd.com
Chattel Mortgage With Affidavit of Good PDF Real Property Law Mortgage Law Are Chattel Mortgages Good — chattel mortgages are a good solution if you're purchasing a property that doesn't qualify for a traditional mortgage. — a chattel mortgage is a loan to purchase movable personal property, such as construction equipment or a mobile home. if you’re looking to purchase a movable piece of equipment or modular home, a chattel mortgage may be. Are Chattel Mortgages Good.
From stockztoinvest.com
What Are the Benefits of a Chattel Mortgage? Stockz To Invest Are Chattel Mortgages Good — chattel mortgages are a good solution if you're purchasing a property that doesn't qualify for a traditional mortgage. If you suspect chattel mortgages are different. — chattel mortgages are loans you get on personal property (aka chattel) that can move. — a chattel mortgage is a loan arrangement where the borrower offers personal property (chattel) as. Are Chattel Mortgages Good.
From www.scribd.com
Chattel Mortgage With Affidavit of Good PDF Mortgage Law Business Law Are Chattel Mortgages Good — a chattel mortgage is a loan arrangement where the borrower offers personal property (chattel) as collateral to. — chattel mortgages are a good solution if you're purchasing a property that doesn't qualify for a traditional mortgage. — chattel mortgages are loans you get on personal property (aka chattel) that can move. — a chattel mortgage. Are Chattel Mortgages Good.
From caknowledge.com
Chattel Mortgage Vs Hire Purchase Which to Pick Are Chattel Mortgages Good They come with a higher cost than a. 10k+ visitors in the past month — chattel mortgages are a good solution if you're purchasing a property that doesn't qualify for a traditional mortgage. — chattel mortgages are loans you get on personal property (aka chattel) that can move. — chattel mortgages are used to finance movable assets. Are Chattel Mortgages Good.
From www.worldinforms.com
Chattel Mortgage What It Is, How It Works & Why Use It Today World Informs Are Chattel Mortgages Good — a chattel mortgage is a loan to purchase movable personal property, such as construction equipment or a mobile home. They come with a higher cost than a. — chattel mortgages are used to finance movable assets separately from the land they occupy. — chattel mortgages are loans you get on personal property (aka chattel) that can. Are Chattel Mortgages Good.
From www.scribd.com
Chattel Mortgage With Affidavit of Good Faith PDF Mortgage Law Foreclosure Are Chattel Mortgages Good — chattel mortgages are a good solution if you're purchasing a property that doesn't qualify for a traditional mortgage. — a chattel mortgage is a loan arrangement where the borrower offers personal property (chattel) as collateral to. This type of loan is often used. If you suspect chattel mortgages are different. — a chattel mortgage is a. Are Chattel Mortgages Good.