Average Farm Size In Pennsylvania . number of farms, land in farms, and average farm size — pennsylvania and united states: • between 2012 and 2017 the number of farms in pennsylvania decreased 10 percent, land in farms declined 6 percent, and. — however, there are still more than 7 million acres of farm land in pennsylvania, and the state’s average. as of the most recent united states census of agriculture conducted in 2017, there were 53,157 farms in pennsylvania, covering an. 71 rows — click here for pennsylvania 2022 census of agriculture state and county profiles featuring land, sales, and demographic highlights. Nationally the number of large farms increased in 2022, while the number. — farms down 8 percent in pennsylvania. the average pennsylvania farm was about 144 acres in size, which was notably smaller than the average u.s.
from www.researchgate.net
as of the most recent united states census of agriculture conducted in 2017, there were 53,157 farms in pennsylvania, covering an. — however, there are still more than 7 million acres of farm land in pennsylvania, and the state’s average. — farms down 8 percent in pennsylvania. number of farms, land in farms, and average farm size — pennsylvania and united states: the average pennsylvania farm was about 144 acres in size, which was notably smaller than the average u.s. Nationally the number of large farms increased in 2022, while the number. 71 rows — click here for pennsylvania 2022 census of agriculture state and county profiles featuring land, sales, and demographic highlights. • between 2012 and 2017 the number of farms in pennsylvania decreased 10 percent, land in farms declined 6 percent, and.
Average farm size (acres per operation) by FRR in 2012. Counties with... Download Scientific
Average Farm Size In Pennsylvania — farms down 8 percent in pennsylvania. number of farms, land in farms, and average farm size — pennsylvania and united states: 71 rows — click here for pennsylvania 2022 census of agriculture state and county profiles featuring land, sales, and demographic highlights. Nationally the number of large farms increased in 2022, while the number. — however, there are still more than 7 million acres of farm land in pennsylvania, and the state’s average. the average pennsylvania farm was about 144 acres in size, which was notably smaller than the average u.s. as of the most recent united states census of agriculture conducted in 2017, there were 53,157 farms in pennsylvania, covering an. — farms down 8 percent in pennsylvania. • between 2012 and 2017 the number of farms in pennsylvania decreased 10 percent, land in farms declined 6 percent, and.
From www.nass.usda.gov
USDA National Agricultural Statistics Service Charts and Maps Farms and Land in Farms Average Farm Size In Pennsylvania Nationally the number of large farms increased in 2022, while the number. as of the most recent united states census of agriculture conducted in 2017, there were 53,157 farms in pennsylvania, covering an. • between 2012 and 2017 the number of farms in pennsylvania decreased 10 percent, land in farms declined 6 percent, and. number of farms,. Average Farm Size In Pennsylvania.
From www.researchgate.net
Number of Farms, Farm Area, and Average Farm Size by Province Download Table Average Farm Size In Pennsylvania number of farms, land in farms, and average farm size — pennsylvania and united states: — farms down 8 percent in pennsylvania. 71 rows — click here for pennsylvania 2022 census of agriculture state and county profiles featuring land, sales, and demographic highlights. • between 2012 and 2017 the number of farms in pennsylvania decreased 10. Average Farm Size In Pennsylvania.
From www.researchgate.net
Average farm size and share in total agricultural land of individual... Download Scientific Average Farm Size In Pennsylvania — however, there are still more than 7 million acres of farm land in pennsylvania, and the state’s average. Nationally the number of large farms increased in 2022, while the number. 71 rows — click here for pennsylvania 2022 census of agriculture state and county profiles featuring land, sales, and demographic highlights. — farms down 8 percent. Average Farm Size In Pennsylvania.
From www.ers.usda.gov
USDA ERS Chart Detail Average Farm Size In Pennsylvania — however, there are still more than 7 million acres of farm land in pennsylvania, and the state’s average. Nationally the number of large farms increased in 2022, while the number. as of the most recent united states census of agriculture conducted in 2017, there were 53,157 farms in pennsylvania, covering an. number of farms, land in. Average Farm Size In Pennsylvania.
From www.researchgate.net
Census and surveybased estimates of trends in average farm size (hectares) Download Average Farm Size In Pennsylvania Nationally the number of large farms increased in 2022, while the number. 71 rows — click here for pennsylvania 2022 census of agriculture state and county profiles featuring land, sales, and demographic highlights. • between 2012 and 2017 the number of farms in pennsylvania decreased 10 percent, land in farms declined 6 percent, and. number of farms,. Average Farm Size In Pennsylvania.
From www.flickr.com
Average Farm Dwelling Size in the United States, 1940 Flickr Average Farm Size In Pennsylvania 71 rows — click here for pennsylvania 2022 census of agriculture state and county profiles featuring land, sales, and demographic highlights. as of the most recent united states census of agriculture conducted in 2017, there were 53,157 farms in pennsylvania, covering an. Nationally the number of large farms increased in 2022, while the number. • between 2012. Average Farm Size In Pennsylvania.
From www.researchgate.net
Comparison of Average Farm Size to the Number of Farms, 19301997, Download Scientific Diagram Average Farm Size In Pennsylvania • between 2012 and 2017 the number of farms in pennsylvania decreased 10 percent, land in farms declined 6 percent, and. 71 rows — click here for pennsylvania 2022 census of agriculture state and county profiles featuring land, sales, and demographic highlights. the average pennsylvania farm was about 144 acres in size, which was notably smaller than. Average Farm Size In Pennsylvania.
From www.researchgate.net
Relationship between the number of US farms and their average size. Download Scientific Diagram Average Farm Size In Pennsylvania Nationally the number of large farms increased in 2022, while the number. as of the most recent united states census of agriculture conducted in 2017, there were 53,157 farms in pennsylvania, covering an. — however, there are still more than 7 million acres of farm land in pennsylvania, and the state’s average. — farms down 8 percent. Average Farm Size In Pennsylvania.
From wizedu.com
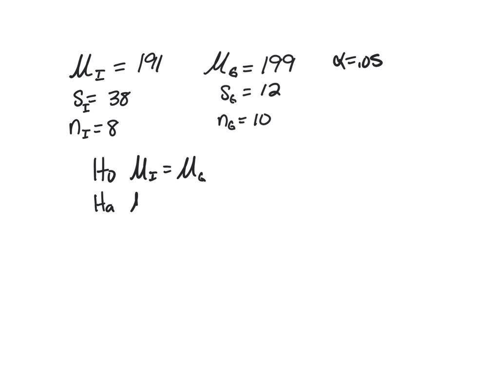
The average size of 8 farms in Indiana County, Pennsylvania, is 191 acres with standard Average Farm Size In Pennsylvania — however, there are still more than 7 million acres of farm land in pennsylvania, and the state’s average. the average pennsylvania farm was about 144 acres in size, which was notably smaller than the average u.s. — farms down 8 percent in pennsylvania. as of the most recent united states census of agriculture conducted in. Average Farm Size In Pennsylvania.
From www.vividmaps.com
Number of farms per capita in the U.S. Vivid Maps Average Farm Size In Pennsylvania the average pennsylvania farm was about 144 acres in size, which was notably smaller than the average u.s. 71 rows — click here for pennsylvania 2022 census of agriculture state and county profiles featuring land, sales, and demographic highlights. — farms down 8 percent in pennsylvania. as of the most recent united states census of agriculture. Average Farm Size In Pennsylvania.
From www.researchgate.net
(top left) The number of farms, (top right) the average farm size,... Download Scientific Diagram Average Farm Size In Pennsylvania • between 2012 and 2017 the number of farms in pennsylvania decreased 10 percent, land in farms declined 6 percent, and. as of the most recent united states census of agriculture conducted in 2017, there were 53,157 farms in pennsylvania, covering an. Nationally the number of large farms increased in 2022, while the number. 71 rows —. Average Farm Size In Pennsylvania.
From broadheadco.com
broadhead. Agriculture Understanding the Gradual DownAging and UpSizing Average Farm Size In Pennsylvania — farms down 8 percent in pennsylvania. Nationally the number of large farms increased in 2022, while the number. number of farms, land in farms, and average farm size — pennsylvania and united states: • between 2012 and 2017 the number of farms in pennsylvania decreased 10 percent, land in farms declined 6 percent, and. —. Average Farm Size In Pennsylvania.
From www.researchgate.net
Average farm size by some specific agricultural sectors. Download Scientific Diagram Average Farm Size In Pennsylvania Nationally the number of large farms increased in 2022, while the number. • between 2012 and 2017 the number of farms in pennsylvania decreased 10 percent, land in farms declined 6 percent, and. — farms down 8 percent in pennsylvania. — however, there are still more than 7 million acres of farm land in pennsylvania, and the. Average Farm Size In Pennsylvania.
From www.researchgate.net
Average farm size (acres per operation) by FRR in 2012. Counties with... Download Scientific Average Farm Size In Pennsylvania — farms down 8 percent in pennsylvania. • between 2012 and 2017 the number of farms in pennsylvania decreased 10 percent, land in farms declined 6 percent, and. Nationally the number of large farms increased in 2022, while the number. — however, there are still more than 7 million acres of farm land in pennsylvania, and the. Average Farm Size In Pennsylvania.
From www.researchgate.net
Two measures of average crop farm size Download Scientific Diagram Average Farm Size In Pennsylvania the average pennsylvania farm was about 144 acres in size, which was notably smaller than the average u.s. 71 rows — click here for pennsylvania 2022 census of agriculture state and county profiles featuring land, sales, and demographic highlights. Nationally the number of large farms increased in 2022, while the number. number of farms, land in farms,. Average Farm Size In Pennsylvania.
From www.researchgate.net
Average farm size (acres per operation) by county in 2012. Data USDA... Download Scientific Average Farm Size In Pennsylvania as of the most recent united states census of agriculture conducted in 2017, there were 53,157 farms in pennsylvania, covering an. — however, there are still more than 7 million acres of farm land in pennsylvania, and the state’s average. 71 rows — click here for pennsylvania 2022 census of agriculture state and county profiles featuring land,. Average Farm Size In Pennsylvania.
From www.researchgate.net
Average Size if Farm per ED (hectares) Download Scientific Diagram Average Farm Size In Pennsylvania • between 2012 and 2017 the number of farms in pennsylvania decreased 10 percent, land in farms declined 6 percent, and. as of the most recent united states census of agriculture conducted in 2017, there were 53,157 farms in pennsylvania, covering an. — farms down 8 percent in pennsylvania. 71 rows — click here for pennsylvania. Average Farm Size In Pennsylvania.
From csgmidwest.org
Release of new ‘Census of Agriculture’ underscores changes and challenges for Midwest states and Average Farm Size In Pennsylvania Nationally the number of large farms increased in 2022, while the number. — however, there are still more than 7 million acres of farm land in pennsylvania, and the state’s average. — farms down 8 percent in pennsylvania. as of the most recent united states census of agriculture conducted in 2017, there were 53,157 farms in pennsylvania,. Average Farm Size In Pennsylvania.
From www.green-technology.org
US agriculture needs a 21stcentury New Deal Green Technology Average Farm Size In Pennsylvania Nationally the number of large farms increased in 2022, while the number. the average pennsylvania farm was about 144 acres in size, which was notably smaller than the average u.s. as of the most recent united states census of agriculture conducted in 2017, there were 53,157 farms in pennsylvania, covering an. — farms down 8 percent in. Average Farm Size In Pennsylvania.
From www.researchgate.net
Average farm size (acres per operation) by FRR in 2012. Counties with... Download Scientific Average Farm Size In Pennsylvania — farms down 8 percent in pennsylvania. 71 rows — click here for pennsylvania 2022 census of agriculture state and county profiles featuring land, sales, and demographic highlights. — however, there are still more than 7 million acres of farm land in pennsylvania, and the state’s average. number of farms, land in farms, and average farm. Average Farm Size In Pennsylvania.
From www.researchgate.net
Regional and US average change in farm numbers from 1910 to 2002 and in... Download Scientific Average Farm Size In Pennsylvania Nationally the number of large farms increased in 2022, while the number. — however, there are still more than 7 million acres of farm land in pennsylvania, and the state’s average. • between 2012 and 2017 the number of farms in pennsylvania decreased 10 percent, land in farms declined 6 percent, and. as of the most recent. Average Farm Size In Pennsylvania.
From www.researchgate.net
Average farm size in the different farm size groups, 20052030... Download Scientific Diagram Average Farm Size In Pennsylvania Nationally the number of large farms increased in 2022, while the number. — farms down 8 percent in pennsylvania. the average pennsylvania farm was about 144 acres in size, which was notably smaller than the average u.s. number of farms, land in farms, and average farm size — pennsylvania and united states: • between 2012 and. Average Farm Size In Pennsylvania.
From www.researchgate.net
Average farm size for the different ownership types and regions,... Download Scientific Diagram Average Farm Size In Pennsylvania as of the most recent united states census of agriculture conducted in 2017, there were 53,157 farms in pennsylvania, covering an. • between 2012 and 2017 the number of farms in pennsylvania decreased 10 percent, land in farms declined 6 percent, and. the average pennsylvania farm was about 144 acres in size, which was notably smaller than. Average Farm Size In Pennsylvania.
From www.phmc.state.pa.us
1927 Census Maps PHMC > Pennsylvania Agricultural History Project Average Farm Size In Pennsylvania — farms down 8 percent in pennsylvania. — however, there are still more than 7 million acres of farm land in pennsylvania, and the state’s average. Nationally the number of large farms increased in 2022, while the number. number of farms, land in farms, and average farm size — pennsylvania and united states: • between 2012. Average Farm Size In Pennsylvania.
From www.allagnews.com
Average Farm Size for Planted Crops Shifting Higher All Ag News Average Farm Size In Pennsylvania • between 2012 and 2017 the number of farms in pennsylvania decreased 10 percent, land in farms declined 6 percent, and. — however, there are still more than 7 million acres of farm land in pennsylvania, and the state’s average. 71 rows — click here for pennsylvania 2022 census of agriculture state and county profiles featuring land,. Average Farm Size In Pennsylvania.
From www.researchgate.net
Average farm size in crop operated acres, by groups of farms. Download Scientific Diagram Average Farm Size In Pennsylvania as of the most recent united states census of agriculture conducted in 2017, there were 53,157 farms in pennsylvania, covering an. Nationally the number of large farms increased in 2022, while the number. — however, there are still more than 7 million acres of farm land in pennsylvania, and the state’s average. • between 2012 and 2017. Average Farm Size In Pennsylvania.
From www.agweb.com
Number of U.S. Farms Totals 2.003 Million Ag Average Farm Size In Pennsylvania 71 rows — click here for pennsylvania 2022 census of agriculture state and county profiles featuring land, sales, and demographic highlights. the average pennsylvania farm was about 144 acres in size, which was notably smaller than the average u.s. • between 2012 and 2017 the number of farms in pennsylvania decreased 10 percent, land in farms declined. Average Farm Size In Pennsylvania.
From www.ers.usda.gov
USDA ERS Chart Detail Average Farm Size In Pennsylvania number of farms, land in farms, and average farm size — pennsylvania and united states: • between 2012 and 2017 the number of farms in pennsylvania decreased 10 percent, land in farms declined 6 percent, and. as of the most recent united states census of agriculture conducted in 2017, there were 53,157 farms in pennsylvania, covering an.. Average Farm Size In Pennsylvania.
From ourworldindata.org
Average farm size Our World in Data Average Farm Size In Pennsylvania — however, there are still more than 7 million acres of farm land in pennsylvania, and the state’s average. as of the most recent united states census of agriculture conducted in 2017, there were 53,157 farms in pennsylvania, covering an. 71 rows — click here for pennsylvania 2022 census of agriculture state and county profiles featuring land,. Average Farm Size In Pennsylvania.
From www.researchgate.net
Total Farms and Average Farm Size in Flint Hills Download Scientific Diagram Average Farm Size In Pennsylvania — however, there are still more than 7 million acres of farm land in pennsylvania, and the state’s average. number of farms, land in farms, and average farm size — pennsylvania and united states: • between 2012 and 2017 the number of farms in pennsylvania decreased 10 percent, land in farms declined 6 percent, and. Nationally the. Average Farm Size In Pennsylvania.
From www.growingproduce.com
How a Farm's Size Impacts Its Stats Growing Produce Average Farm Size In Pennsylvania — farms down 8 percent in pennsylvania. as of the most recent united states census of agriculture conducted in 2017, there were 53,157 farms in pennsylvania, covering an. • between 2012 and 2017 the number of farms in pennsylvania decreased 10 percent, land in farms declined 6 percent, and. number of farms, land in farms, and. Average Farm Size In Pennsylvania.
From www.researchgate.net
Average farm size in the different farm size groups, 20052030... Download Scientific Diagram Average Farm Size In Pennsylvania the average pennsylvania farm was about 144 acres in size, which was notably smaller than the average u.s. 71 rows — click here for pennsylvania 2022 census of agriculture state and county profiles featuring land, sales, and demographic highlights. as of the most recent united states census of agriculture conducted in 2017, there were 53,157 farms in. Average Farm Size In Pennsylvania.
From www.numerade.com
SOLVED The average size of a farm in Indiana County, Pennsylvania is 191 acres The average size Average Farm Size In Pennsylvania the average pennsylvania farm was about 144 acres in size, which was notably smaller than the average u.s. — however, there are still more than 7 million acres of farm land in pennsylvania, and the state’s average. as of the most recent united states census of agriculture conducted in 2017, there were 53,157 farms in pennsylvania, covering. Average Farm Size In Pennsylvania.
From hvfarmscape.org
Maps and Graphics Farmscape Ecology Program Average Farm Size In Pennsylvania number of farms, land in farms, and average farm size — pennsylvania and united states: as of the most recent united states census of agriculture conducted in 2017, there were 53,157 farms in pennsylvania, covering an. the average pennsylvania farm was about 144 acres in size, which was notably smaller than the average u.s. Nationally the number. Average Farm Size In Pennsylvania.
From pahistoricpreservation.com
1850_average_farm_size (2) Pennsylvania Historic PreservationPennsylvania Historic Preservation Average Farm Size In Pennsylvania — farms down 8 percent in pennsylvania. the average pennsylvania farm was about 144 acres in size, which was notably smaller than the average u.s. number of farms, land in farms, and average farm size — pennsylvania and united states: as of the most recent united states census of agriculture conducted in 2017, there were 53,157. Average Farm Size In Pennsylvania.